当前位置:首页>文档>第六章 第1讲 课时36 整体性_9.2025地理总复习_2025年新高考资料_一轮复习_2025高考大一轮复习讲义+练习(完结)_2025高考大一轮复习地理(人教版)

第六章 第1讲 课时36 整体性_9.2025地理总复习_2025年新高考资料_一轮复习_2025高考大一轮复习讲义+练习(完结)_2025高考大一轮复习地理(人教版)

  • 2026-03-17 23:40:01 2026-03-14 03:44:55

文档预览

第六章 第1讲 课时36 整体性_9.2025地理总复习_2025年新高考资料_一轮复习_2025高考大一轮复习讲义+练习(完结)_2025高考大一轮复习地理(人教版)
第六章 第1讲 课时36 整体性_9.2025地理总复习_2025年新高考资料_一轮复习_2025高考大一轮复习讲义+练习(完结)_2025高考大一轮复习地理(人教版)
第六章 第1讲 课时36 整体性_9.2025地理总复习_2025年新高考资料_一轮复习_2025高考大一轮复习讲义+练习(完结)_2025高考大一轮复习地理(人教版)
第六章 第1讲 课时36 整体性_9.2025地理总复习_2025年新高考资料_一轮复习_2025高考大一轮复习讲义+练习(完结)_2025高考大一轮复习地理(人教版)
第六章 第1讲 课时36 整体性_9.2025地理总复习_2025年新高考资料_一轮复习_2025高考大一轮复习讲义+练习(完结)_2025高考大一轮复习地理(人教版)
第六章 第1讲 课时36 整体性_9.2025地理总复习_2025年新高考资料_一轮复习_2025高考大一轮复习讲义+练习(完结)_2025高考大一轮复习地理(人教版)
第六章 第1讲 课时36 整体性_9.2025地理总复习_2025年新高考资料_一轮复习_2025高考大一轮复习讲义+练习(完结)_2025高考大一轮复习地理(人教版)
第六章 第1讲 课时36 整体性_9.2025地理总复习_2025年新高考资料_一轮复习_2025高考大一轮复习讲义+练习(完结)_2025高考大一轮复习地理(人教版)
第六章 第1讲 课时36 整体性_9.2025地理总复习_2025年新高考资料_一轮复习_2025高考大一轮复习讲义+练习(完结)_2025高考大一轮复习地理(人教版)
第六章 第1讲 课时36 整体性_9.2025地理总复习_2025年新高考资料_一轮复习_2025高考大一轮复习讲义+练习(完结)_2025高考大一轮复习地理(人教版)
第六章 第1讲 课时36 整体性_9.2025地理总复习_2025年新高考资料_一轮复习_2025高考大一轮复习讲义+练习(完结)_2025高考大一轮复习地理(人教版)
第六章 第1讲 课时36 整体性_9.2025地理总复习_2025年新高考资料_一轮复习_2025高考大一轮复习讲义+练习(完结)_2025高考大一轮复习地理(人教版)
第六章 第1讲 课时36 整体性_9.2025地理总复习_2025年新高考资料_一轮复习_2025高考大一轮复习讲义+练习(完结)_2025高考大一轮复习地理(人教版)

文档信息

文档格式
docx
文档大小
1.916 MB
文档页数
13 页
上传时间
2026-03-14 03:44:55

文档内容

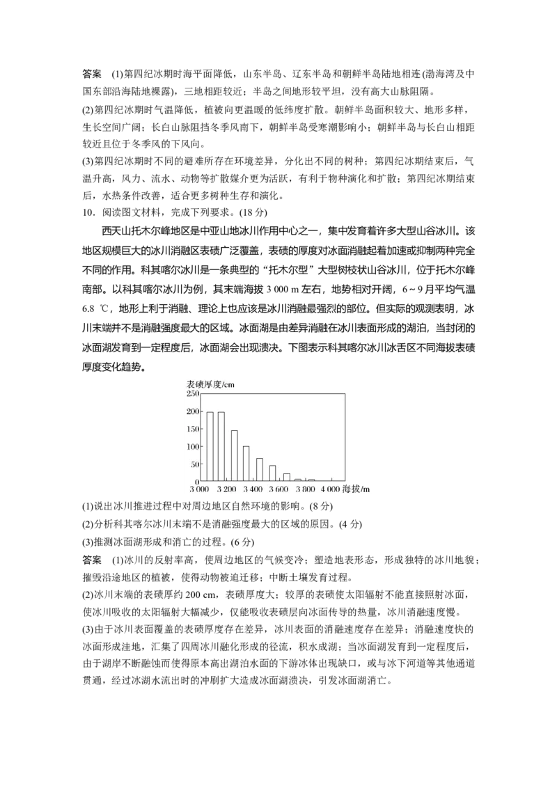
课时 36 整体性 1.自然环境要素间的物质迁移和能量交换 (1)自然环境组成要素:大气、水、土壤、生物、岩石及地貌等。 (2)物质迁移和能量交换 ①类型:水循环、生物循环、岩石圈物质循环。 ②意义:进行物质迁移和能量交换,形成一个相互渗透、相互制约和相互联系的整体。 回归教材 读选择性必修1教材第80页图5.2“自然环境要素间的物质迁移示意”,说一 说自然环境要素间的物质迁移和能量交换是如何实现的? 答案 通过水循环、生物循环和岩石圈物质循环等过程实现的。 2.自然环境的整体功能 生产功能 稳定功能 自然环境要素通过物质迁移和能量交 内容 自然环境具有合成有机物的生产功能 换,使自然环境具有能够自我调节、保 持性质稳定的功能 人类活动增加了大气中的二氧化碳含 生产功能主要依赖于光合作用。植物提 量,通过植物光合作用、海—气相互作 举例 供叶绿素,大气提供热量和二氧化碳, 用的削减,部分实现了大气中二氧化碳 土壤及水圈、岩石圈提供水分和营养盐 含量的相对稳定 保证了人类的生存和发展。协调人地关系,必须充分考虑不同区域自然环境生产 意义 功能和稳定功能的差异 3.自然环境的统一演化和要素组合 变化性 统一性 一个要素的演化必然伴随着其他各个 自然环境要素每时每刻都在演化。自然 内容 要素的演化,各个要素的演化是统一 环境的演化,是要素间物质迁移的结果 的 意义 保证了自然环境要素之间的协调,形成了阶段性的自然环境要素组合 思考 以山地演化为丘陵的过程为例,说明自然环境处于统一的动态演化中。 答案 在山地演化为丘陵的过程中,坡面逐渐变缓,土壤中滞留的水分增多,地表径流减少, 水土流失减弱,在成土过程作用下土壤逐渐变厚、肥力增加,植被更为发育,大气湿度有所 增加。 4.自然环境对干扰的整体响应(1)整体响应:某一自然环境要素受到外部干扰发生变化,进而改变了该要素与其他要素间 的物质迁移和能量交换,使其他要素发生连锁变化,最终导致整个自然环境发生改变。 (2)响应特点 ①干扰下的环境变化多为快速的,各要素变化也不同步。 ②人类对自然环境的干扰不断增强。 1.自然环境整体性的要素分析法 (1)环境特征的一致性 自然环境各要素与环境整体特征是协调一致的。自然环境的总体特征一般由地貌和气候(特 别是气候)决定并体现,如我国西北地区干旱、半干旱和青藏地区高寒的特征。 第一步,根据区域的地理位置和地貌确定气候类型和特征。 第二步,概括出自然环境的总体特征。 第三步,与环境总体特征相联系,逐一分析其他要素的特征。以我国西北地区的环境要素与 环境总体特征的关系为例: (2)要素的内在关联性 自然环境要素间相互联系、相互影响,构成了一个有机整体。任何一个要素的变化,都可能 导致其他要素甚至整个环境状况的变化,即“牵一发而动全身”。以滥伐森林引起的生态环 境破坏为例: (3)发生发展的统一性 不同区域自然环境之间是相互联系的,一个区域的变化会影响到其他区域。 案例①:在河流上、中游地区滥伐森林,导致水土流失,会对下游地区的自然环境产生影响。案例②:青藏高原隆起对东亚、南亚、中亚、西亚的自然环境产生巨大影响。 2.自然环境整体性的分析思路 分析角度 解题方法 分析区域自然地理 主要从地理位置入手,抓住区域内的地貌、气候、水文、植被、土壤 环境特征 等环境要素进行分析,点明每一要素呈现的主要特点即可 区域地理现象往往是不同地理要素间的因果联系导致的,其中气候、 解释区域内某种地 地貌是许多地理现象形成的基础因素,分析时应理清要素间的因果联 理现象的形成原因 系链,由因到果步步推进,完整呈现因果关系 分析区域环境的变 区域内某要素的变化不可避免地会影响区域其他要素的变化,乃至整 化过程及特点 个区域环境的整体变化 主要从自然地理环境的物质循环和能量交换的角度分析不同区域间存 分析区域间的环境 在的因果联系,组织成思路清晰的因果链条,规范学科语言的使用。 联系 如青藏高原的隆升,有效阻挡了海洋水汽的深入,使得我国西北地区 的气候更加干旱 (2023·新课标全国文综) 青藏高原常见的草毡层 ( 下 图 ) ,由交织缠结的植物活、死根系 与细颗粒物混杂而成。草毡层的厚度约20~30厘米,随地表起伏无明显变化。草毡层中的 细 颗粒物与下伏物质 ( 粗碎屑或基岩 ) 的矿物、化学成分显著不同 。草毡层对青藏高原生态安 全 具有重要意义。据此完成1~3题。1.青藏高原草毡层中的细颗粒物主要来自( ) A.基岩风化 B.流水搬运 C.冰川搬运 D.风力搬运 2.草毡层中植物死根分解缓慢的主要原因是( ) A.气温低 B.大气含氧量低 C.蒸发弱 D.太阳辐射强烈 3.青藏高原多年冻土区的草毡层可( ) ①增加大气与地下的热量交换 ②减少大气与地下的热量交换 ③增加地表对地下的水分补 给 ④减少地表对地下的水分补给 A.①③ B.①④ C.②③ D.②④ [关键信息点拨] 青藏高原海拔高,气温低,微生物分解作用弱,草毡层中植物死根分解缓慢。 由交织缠结的植物活、死根系与细颗粒物混杂而成的草毡层是联结成片的毡状草皮层,可 以起到隔热作用,减少大气与地下的热量交换;同时,草毡层具有水分保蓄及调节地表径流 的作用,可增加下渗量,增加地表对地下的水分补给。 草毡层随地表起伏无明显变化,草毡层中物质颗粒细,且与下伏物质矿物、化学成分不 同, 所以草毡层中的细颗粒物多来自风力输入,其来源可能是附近的冰川与河流沉积物,也可能 是外部的干旱区。 [地理原理再现] 自然环境的整体性原理 简述自然环境整体性的表现。 答案 自然环境要素间的物质迁移和能量交换;自然环境的整体功能;自然环境的统一演化 和要素组合;自然环境对干扰的整体响应。 答案 1.D 2.A 3.C 解析 第1题,由材料可知,草毡层中的细颗粒物与下伏物质(粗碎屑或基岩)的矿物、化学 成分显著不同,说明其来源不是基岩风化,A错误;流水搬运来的沉积物主要分布于海拔较 低的河谷地区,而草毡层随地表起伏无明显变化,B错误;冰川搬运的物质不具有分选性, 冰川沉积物的粒径大小杂乱无章,C错误;风力搬运范围广,不受地表起伏影响,所以草毡 层中的细颗粒物主要来自风力搬运,D正确。第2题,青藏高原地区海拔高,气温低,微生 物数量少,对植物死根的分解作用弱,A正确。第3题,草毡层可对大气与地下起到物理阻 隔作用,减少大气与地下的热量交换,①错误,②正确;草毡层可涵养水分,增加下渗,增 加地表对地下的水分补给,③正确,④错误。选C。考向1 通过“要素的内在关联性”考查“综合思维” (2023·广东肇庆模拟)湖沼沉积物中汞含量的垂直分布能够反映古气候演变过程。大气中 的汞主要随降水沉降到陆地生态系统,后随径流进入湖泊,并被有机质吸附并沉积。某科研 团队对南岭东部大湖沼泽进行钻孔取样,发现沉积物中有机质含量与湖岸植被、湖泊水位具 有显著相关性,同时湖沼相沉积序列中汞含量具有指示流域气候变化的作用。下图为“湖泊 沉积物采样点示意图”。根据材料,完成1~2题。 1.科研团队通过对所采样品进行分析,发现某一段沉积岩层自下向上汞含量具有减少的趋 势,这说明该沉积岩层形成时期( ) A.湖盆地壳下沉 B.大气降水偏少 C.湖泊面积扩大 D.河流侵蚀减弱 2.湖泊沉积物样品中某一沉积层内出现深黑色有机质层,可推测该沉积层形成时期可能出 现( ) A.东南季风减弱 B.东北季风减弱 C.西南季风增强 D.西北季风增强 答案 1.C 2.A 解析 第1题,根据材料可知,进入湖泊的汞主要是被有机质吸附后沉积,而沉积岩层自下 向上汞含量具有减少的趋势,说明沉积岩层下部有机质含量多,上部有机质含量少。由材料 可知,沉积岩层中的有机质主要来自湖岸植被,而其多少则与湖泊水位对湖岸植被的影响有 关,当湖泊水位升高时,淹没湖岸低地,导致湖岸植被的生长空间变小,湖岸植被数量变少, 提供的有机质变少,吸附和沉积的汞也相应减少,由此可知随着湖泊面积扩大,水位上升, 湖岸植被数量减少,湖中有机质含量逐渐下降,汞含量自下向上减少,C正确。第2题,湖 泊沉积物样品中某一沉积层内出现深黑色有机质层,说明该沉积层形成时期有较多有机质沉 积,由此可推测当时植被数量较多,湖岸植被生长空间较大,湖泊水位较低。而南岭东部湖 泊的水源补给类型主要是大气降水,进而可推测由于东南季风减弱,南岭地区降水变少,湖 泊水位降低,湖岸植被生长空间增大,植被覆盖率增加,提供的有机质增加,最终在湖底沉 积形成深黑色有机质层,A正确。 考向2 通过“自然环境要素间的物质迁移和能量交换”考查“区域认知” (2024·山西运城模拟)种子雨是指在特定的时间和空间从母株上散落的种子量,对群落更 新有着重要影响。如成熟的油松在合适的条件下果鳞开裂,种子脱落。下图为“某年秦岭子 午岭林场油松林林内和林缘种子雨强度的时间变化示意图”。读图,完成3~4题。3.林内种子雨强度的峰值滞后于林缘,主要是因为林缘( ) A.对流较强 B.光照较强 C.降温较慢 D.风速较大 4.相比于林内,林缘种子雨强度更大,主要得益于林缘( ) A.种内竞争较弱 B.昼夜温差较大 C.人类活动影响较小 D.降水强度较大 答案 3.B 4.A 解析 第3题,由材料可知,成熟的油松在合适的条件下果鳞开裂,种子脱落,种子或果实 从母树向地表扩散,林内种子雨强度的峰值比林缘滞后,主要是因为林缘光照较强,果鳞开 裂提前,种子脱落较早,对流、降温、风速对其影响较小,故选B。第4题,总体上看,林 缘种子雨强度更大,主要得益于林缘树木较林内稀疏,种内竞争较弱,树木得到的光照、营 养物质多,种子或果实数量多、成熟较好,A正确。林内和林缘昼夜温差和降水强度差异不 大,林缘受人类活动影响较大,B、C、D错误。故选A。 答题指导 7 生物多样性 1.生物多样性(物种)丰富的原因 思考方向 规范答题术语 水热条件 地处低纬度(热带),热量丰富,繁衍生长速度快,生物多样性丰富 ①跨纬度广,热量差异大,物种丰富; ②跨海陆(经度)广,水分差异大,物种丰富; 水热差异 ③地形起伏大,气候的垂直差异显著,物种丰富; ④面积广大,地域辽阔,气候类型复杂多样,物种丰富 ①面积广大,地域辽阔,生物生存空间(如森林、湿地)广,物种丰富;②处于自 生存空间 然地理环境的过渡区域,物种丰富 天敌 地形较封闭(远离大陆),天敌少,物种丰富 人类活动 地形较封闭(远离大陆),人烟稀少,经济落后,开发程度低,受人类活动干扰少,物种丰富 注:同一山体,高差相同范围内,越往山顶,面积越小,物种丰富度一般会降低;另外,越 往山顶,水热交换作用越强,水热差异减小,生物多样性差异减小。 2.古老珍稀动物多的原因 思考方向 规范答题术语 远离大陆,长期孤立存在,缺乏基因交流 自然原因 大型食肉动物少,缺乏生存竞争,动物进化缓慢 地质历史以来,自然环境变化小,不利于生物的进化 人为原因 人类发现较晚(人迹罕至),受人类活动影响小 3.物种灭绝的原因 (1)自然原因——物种灭绝是一个自然过程 ①火山喷发、陨石撞击地球、地壳运动、气候变化等自然事件。 ②自然条件的变化,野生生物无法适应环境。 ③生物之间竞争激烈,影响某些物种的繁衍和生存。 ④近亲繁殖,使物种退化。 (2)人为原因——人类活动加速了物种灭绝 ①乱砍滥伐,破坏生态系统,动物失去栖息地和食物,种类减少乃至濒临灭绝。 ②人类对植物的过度采伐或对动物的过度捕杀。 ③环境污染加剧,生物的生存条件遭到破坏。 ④外来物种入侵。 1.(2023·山西太原模拟)阅读图文材料,完成下列要求。(20分) 大马哈鱼是一种溯河洄游鱼类,每年秋季,成群的大马哈鱼抵达我国黑龙江、松花江等 水域产卵。幼鱼在海中生长3~5年,成年后可达4.4~10 kg,一生只繁殖一次。汤旺河是 松花江北岸的一级支流,横跨伊春市和佳木斯市,为冷水性山溪。汤旺河下游河段水质清澈, 河道由卵石、砾石和砂砾组成,是大马哈鱼产卵、孵化和幼鱼索饵的场所。大马哈鱼幼鱼在 淡水河流生活期间,主要摄食水生昆虫幼虫。20世纪90年代,汤旺河大马哈鱼近乎绝迹。(1)指出大马哈鱼的生活习性。(6分) (2)说明汤旺河曾为大马哈鱼产卵、孵化和幼鱼索饵场所的有利自然条件。(6分) (3)分析20世纪90年代汤旺河大马哈鱼近乎绝迹的原因。(8分) 答案 (1)生活在中高纬度水域,喜冷水;为溯河洄游鱼类,具有固定的洄游季节和洄游路 径;能适应淡水和海水水域环境。 (2)汤旺河为冷水性山溪,水温适宜;河道由卵石、砾石、砂砾组成,淤积物少,水质较好, 饵料丰富;河流流经平原地区,水流缓慢,有利于鱼卵发育。 (3)下游渔民对大马哈鱼的过度捕捞,导致洄游成鱼大量减少;大马哈鱼洄游所经的水域污 染严重,栖息环境质量下降;河流生态系统失衡,鱼类饵料减少;河流水利工程建设,阻断 了大马哈鱼的洄游路径。 2.(新课标全国文综Ⅰ)阅读图文材料,完成下列要求。(22分) 某科考队于8月考察堪察加半岛,考察中发现,堪察加半岛北部发育苔原,南部生长森 林;东西向气候区域差异显著;大型植食性和肉食性野生动物数量较少,但冬眠、杂食性且 善捕鱼的熊的数量较多;大量来自海洋的鲑鱼溯河流而上,成为熊的重要食物。下图示意堪 察加半岛的地形。 (1)说明堪察加半岛地形对气候区域差异的影响。(6分) (2)分析堪察加半岛大型植食性和肉食性野生动物数量较少的原因。(10分) (3)某科考队员欲近距离拍摄熊,推测他在甲地选择拍摄点的理由。(6分) 答案 (1)山脉大致呈南北向,阻挡季风,形成多雨区和雨影区;地形高差大,形成气候垂直差异。 (2)纬度高,植物生长缓慢,食物供应量少;环境空间差别大,适宜生存的空间小;冬季寒 冷漫长,生存条件恶劣。 (3)河流附近,熊出没的几率大;山地地形,且有森林,便于隐蔽;降水较少,晴天较多, 利于拍摄。 解析 (1)由图可知,堪察加半岛的地形以山地为主。大致呈南北向的山脉贯穿半岛,阻挡 了来自海洋的夏季风,使半岛东侧多雨,西侧少雨;山地海拔高,相对高度大,气候的垂直 差异显著。(2)堪察加半岛大致呈南北向延伸,太阳辐射差异显著。加之受地形、海陆位置 等因素影响,导致堪察加半岛内部区域差异非常大,难以有大面积、性质基本一致的区域, 生境破碎。这一地理特征的地理意义是多方面的,对动物而言,适宜小型动物生存,不利于 大型动物特别是大型集群动物生存。加之纬度高,植物生长缓慢,供应植食性动物的食物少, 植食性野生动物生物量小,肉食性野生动物食物供应量低,肉食性野生动物生物量就更小, 且冬季寒冷漫长,也不利于野生动物越冬。(3)根据等高线的弯曲特征和“鲑鱼溯河流而上, 成为熊的重要食物”可知,甲地位于河流附近,熊出没的几率大;根据“堪察加半岛北部发 育苔原,南部生长森林”可知,位于半岛南部的甲地有森林,且地形较为复杂,便于隐蔽, 避免来自熊的威胁;地处来自海洋的夏季风的山地背风坡,降水少,晴天多,便于拍摄。 3.(2023·河北“五个一”名校联盟联考)阅读材料,完成下列要求。(10分) 各种形式的发展用地给自然生境(一个种群居住和生活的区域)留下一些很小的孤岛(生态 岛)。这种生境破碎化,使野生动植物种群减小,易于灭绝。在美国东部一些小而分散的落 叶林斑块孤岛,都是由原来茂盛的大面积分布的原始森林残留下来的。这些孤岛所支持的物 种数量,远远少于那些大片未受人类干扰的土地。 (1)分析美国东部生态岛的形成原因。(4分) (2)分析生态岛中物种多样性减少易于灭绝的原因。(6分) 答案 (1)农田、牧场等农业用地扩大;城镇、工业、道路交通等建设用地扩大,破坏(占用) 大量的森林。 (2)生态岛生存空间小,不能提供充足的食物;种群数量少,繁殖能力弱;大量近亲繁殖, (后代不健康),导致种群慢慢灭绝。 课时精练 (2023·河北邢台模拟)2022年夏季为我国自1961年以来最热的夏季,极端高温天气频发。 塔克拉玛干沙漠出现了众多湖泊,但只是暂时性积水,沙漠湖泊演变为永久性绿洲的概率并 不大,却会影响区域自然地理环境。下图为“塔克拉玛干沙漠中的湖泊景观图”。据此完成 1~3题。1.塔克拉玛干沙漠出现众多湖泊的原因是( ) A.冰雪融水和降水均增加 B.地下水出露量大 C.冻土加速融化 D.植被覆盖率提高 2.沙漠湖泊演变为永久性绿洲的概率小的原因可能有( ) ①农业需水量大 ②蒸发旺盛 ③下渗量大 ④生活用水量大 A.②③ B.①③ C.①④ D.②④ 3.塔克拉玛干沙漠出现众多湖泊后,湖区周边( ) A.地下水位下降 B.物种减少 C.气候彻底湿润化 D.土地盐碱化加剧 答案 1.A 2.A 3.D 解析 第1题,由材料可知,该地2022年夏季气温异常升高,冰雪融水增加,同时降水增 加,使得沙漠出现暂时性湖泊。A正确。由材料可知,湖泊是暂时性积水,而不是永久性湖 泊,地下水出露、冻土融化与植被覆盖率提高对塔克拉玛干沙漠暂时性湖泊的出现影响较小, 不是主要原因,B、C、D错误。第2题,当地降水量极少,多晴天,蒸发旺盛,且沙漠土 壤颗粒空隙较大,土壤含水量小,会导致沙漠中的湖泊水量不断减少,最终将消失,所以沙 漠湖泊演变为永久性绿洲的概率小与蒸发旺盛、下渗量大有关,②③正确;塔克拉玛干沙漠 人类活动少,生活和生产用水量少,①④错误,选A。第3题,干旱的沙漠中出现地表积水 并形成湖泊,会导致地下水位上升,A错误;蒸发增强,空气湿度增大,土壤水分条件有所 改善,利于植被生长,物种增加,B错误;沙漠湖泊演变为永久性绿洲的概率不大,该地区 气候不可能彻底湿润化,C错误;沙漠地区气候干旱,蒸发旺盛,地下水位升高,容易导致 土地盐碱化,D正确。 (2023·福建厦门第六中学期末)下图示意长江口部分沙岛群演变过程。读图完成4~6题。4.1880~1945年,①②③④四处侵蚀速率大于堆积速率的是( ) A.① B.② C.③ D.④ 5.据河口沙岛群的空间演变趋势,推测长江河口地区近百年来( ) A.北航道航行条件好于南航道 B.河口不断拓宽,河道不断淤浅 C.海水侵蚀作用大于河流堆积作用 D.海平面上升速率小于泥沙沉积速率 6.近年来,长江口水下沙洲淤积速度明显变慢,其原因可能是( ) A.流域内围湖造田 B.流域内降水强度减小 C.流域内植被覆盖率提高 D.流量增大,输沙力增强 答案 4.A 5.D 6.C 解析 第4题,结合图中①②③④四处1880年和1945年的沙洲0米线的变化可知,②③④ 处的沙洲或从无到有或由小变大,唯有①处沙洲消失,说明①处受侵蚀速率大于堆积速率。 A正确。第5题,由图可知北航道泥沙淤积多,航道淤浅,故北航道航行条件比南航道差, A错。据河口沙岛群的空间演变过程,长江河口地区,一百多年来河口沙洲面积不断拓宽, 河口变窄,河流下蚀增强河道可能变深,B错。沙洲向海洋推进,海水侵蚀作用小于河流堆 积作用,C错。由图可知,沙洲的面积在增大,说明海平面上升速率小于泥沙沉积速率,D 对。第6题,近年来长江口水下沙洲淤积速度变慢,其原因可能是流域内植被覆盖率提高, 水土流失减少,河流含沙量减少,输沙量少,C对;围湖造田,湖泊调蓄能力下降,输送到 河口泥沙增多,利于淤积,A错;流域内降水强度不会持续减小,B错;径流增大,输沙能 力增强 ,输送到河口泥沙增多,淤积会加快,D错。 (2024·江西南昌模拟)1960年以来,青海湖水位变化明显,对该区域的生态环境影响较 大,下面图甲为“青海湖水系分布示意图”,图乙为“1961~2021年青海湖年平均水位变 化趋势图”。完成7~8题。7.据图可知,青海湖( ) A.水位逐年降低 B.面积逐渐缩小 C.水深超过3 000米 D.面积波动变化 8.随着水位的变化,推测2025年布哈河( ) A.入湖口西退 B.凌汛更加严重 C.径流量减少 D.下游流速加快 答案 7.D 8.A 解析 第7题,根据图中信息可知,青海湖年平均水位随着时间的推移先下降后上升,水位 变化明显,面积出现波动变化,D正确。第8题,根据图中信息可知,预计2025年青海湖 湖泊水位上升,湖泊面积有所扩大,布哈河入湖口西退,A正确;水位变化对凌汛影响较小, 排除B;湖泊水位上涨说明补给来源增多,河流径流量增加,排除C;对下游流速影响较小, 排除D。故选A。 9.(2023·山东青岛模拟)阅读图文资料,完成下列要求。(16分) 生物避难所通常是指在气候变恶劣的条件下动植物能够存活的区域。生物避难所能在冰 期保护原有及迁入物种免遭劫难,受保护物种在冰期后以此为起点,借风力、流水、动物等 媒介扩散并演化出亚种和新物种。第四纪冰期长白山和朝鲜半岛是温带针阔叶混交林最重要 的两个避难所。下图示意我国东北温带针阔叶混交林植物的避难所与扩张路线。 (1)简述第四纪冰期温带针阔叶混交林树种可以在山东半岛、辽东半岛和朝鲜半岛之间扩散 的有利条件。(4分) (2)分析温带针阔叶混交林在第四纪冰期由长白山大规模向朝鲜半岛扩散的原因。(6分) (3)第四纪冰期结束后,温带针阔叶混交林树种多样性显著提高,对此作出合理解释。(6分)答案 (1)第四纪冰期时海平面降低,山东半岛、辽东半岛和朝鲜半岛陆地相连(渤海湾及中 国东部沿海陆地裸露),三地相距较近;半岛之间地形较平坦,没有高大山脉阻隔。 (2)第四纪冰期时气温降低,植被向更温暖的低纬度扩散。朝鲜半岛面积较大、地形多样, 生长空间广阔;长白山脉阻挡冬季风南下,朝鲜半岛受寒潮影响小;朝鲜半岛与长白山相距 较近且位于冬季风的下风向。 (3)第四纪冰期时不同的避难所存在环境差异,分化出不同的树种;第四纪冰期结束后,气 温升高,风力、流水、动物等扩散媒介更为活跃,有利于物种演化和扩散;第四纪冰期结束 后,水热条件改善,适合更多树种生存和演化。 10.阅读图文材料,完成下列要求。(18分) 西天山托木尔峰地区是中亚山地冰川作用中心之一,集中发育着许多大型山谷冰川。该 地区规模巨大的冰川消融区表碛广泛覆盖,表碛的厚度对冰面消融起着加速或抑制两种完全 不同的作用。科其喀尔冰川是一条典型的“托木尔型”大型树枝状山谷冰川,位于托木尔峰 南部。以科其喀尔冰川为例,其末端海拔3 000 m左右,地势相对开阔,6~9月平均气温 6.8 ℃,地形上利于消融、理论上也应该是冰川消融最强烈的部位。但实际的观测表明,冰 川末端并不是消融强度最大的区域。冰面湖是由差异消融在冰川表面形成的湖泊,当封闭的 冰面湖发育到一定程度后,冰面湖会出现溃决。下图表示科其喀尔冰川冰舌区不同海拔表碛 厚度变化趋势。 (1)说出冰川推进过程中对周边地区自然环境的影响。(8分) (2)分析科其喀尔冰川末端不是消融强度最大的区域的原因。(4分) (3)推测冰面湖形成和消亡的过程。(6分) 答案 (1)冰川的反射率高,使周边地区的气候变冷;塑造地表形态,形成独特的冰川地貌; 摧毁沿途地区的植被,使得动物被迫迁移;中断土壤发育过程。 (2)冰川末端的表碛厚约200 cm,表碛厚度大;较厚的表碛使太阳辐射不能直接照射冰面, 使冰川吸收的太阳辐射大幅减少,仅能吸收表碛层向冰面传导的热量,冰川消融速度慢。 (3)由于冰川表面覆盖的表碛厚度存在差异,冰川表面的消融速度存在差异;消融速度快的 冰面形成洼地,汇集了四周冰川融化形成的径流,积水成湖;当冰面湖发育到一定程度后, 由于湖岸不断融蚀而使得原本高出湖泊水面的下游冰体出现缺口,或与冰下河道等其他通道 贯通,经过冰湖水流出时的冲刷扩大造成冰面湖溃决,引发冰面湖消亡。