当前位置:首页>文档>第四部分第一章课时67 自然资源与人类活动_9.2025地理总复习_2025年新高考资料_一轮复习_2025高考大一轮复习讲义+练习(完结)_2025高考大一轮复习地理(湘教版)

第四部分第一章课时67 自然资源与人类活动_9.2025地理总复习_2025年新高考资料_一轮复习_2025高考大一轮复习讲义+练习(完结)_2025高考大一轮复习地理(湘教版)

  • 2026-03-22 12:08:07 2026-03-14 04:02:27

文档预览

第四部分第一章课时67 自然资源与人类活动_9.2025地理总复习_2025年新高考资料_一轮复习_2025高考大一轮复习讲义+练习(完结)_2025高考大一轮复习地理(湘教版)
第四部分第一章课时67 自然资源与人类活动_9.2025地理总复习_2025年新高考资料_一轮复习_2025高考大一轮复习讲义+练习(完结)_2025高考大一轮复习地理(湘教版)
第四部分第一章课时67 自然资源与人类活动_9.2025地理总复习_2025年新高考资料_一轮复习_2025高考大一轮复习讲义+练习(完结)_2025高考大一轮复习地理(湘教版)
第四部分第一章课时67 自然资源与人类活动_9.2025地理总复习_2025年新高考资料_一轮复习_2025高考大一轮复习讲义+练习(完结)_2025高考大一轮复习地理(湘教版)
第四部分第一章课时67 自然资源与人类活动_9.2025地理总复习_2025年新高考资料_一轮复习_2025高考大一轮复习讲义+练习(完结)_2025高考大一轮复习地理(湘教版)
第四部分第一章课时67 自然资源与人类活动_9.2025地理总复习_2025年新高考资料_一轮复习_2025高考大一轮复习讲义+练习(完结)_2025高考大一轮复习地理(湘教版)
第四部分第一章课时67 自然资源与人类活动_9.2025地理总复习_2025年新高考资料_一轮复习_2025高考大一轮复习讲义+练习(完结)_2025高考大一轮复习地理(湘教版)
第四部分第一章课时67 自然资源与人类活动_9.2025地理总复习_2025年新高考资料_一轮复习_2025高考大一轮复习讲义+练习(完结)_2025高考大一轮复习地理(湘教版)
第四部分第一章课时67 自然资源与人类活动_9.2025地理总复习_2025年新高考资料_一轮复习_2025高考大一轮复习讲义+练习(完结)_2025高考大一轮复习地理(湘教版)

文档信息

文档格式
docx
文档大小
5.007 MB
文档页数
9 页
上传时间
2026-03-14 04:02:27

文档内容

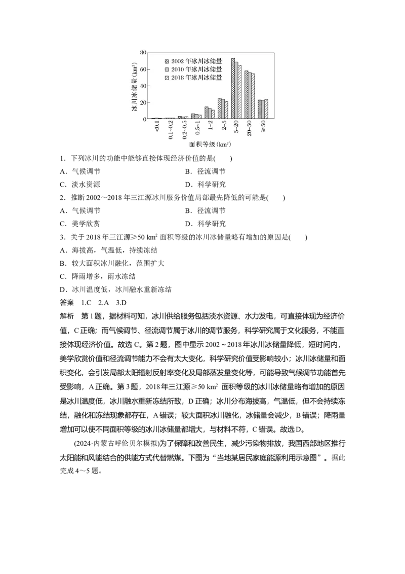
[课程标准] 1.结合实例,说明自然资源的数 [基本概念] 自然资源、可再生资源、非可 量、质量、空间分布与人类活动的关系。2. 再生资源;环境问题、环境污染、生态破 运用资料,归纳人类面临的主要环境问题。 坏。 [基本原理] 不同历史阶段,自然资源对人 类经济社会发展的影响;环境问题产生的原 因、危害及治理措施。 [体系架构] 课时 67 自然资源与人类活动 1.自然资源概述 (1)自然资源的概念 ①概念:指存在于自然界,在一定的条件下,能够产生经济价值,以提高人类当前和未来福 利的自然环境因素和条件。 ②从属性来看,自然资源有哪些重要特点? 答案 有限性、整体性、地域性、多用性、社会性等。 (2)自然资源的分类 依据 类型 自然属性 矿产资源、气候资源、水资源、土地资源、生物资源等 增殖性能 可再生资源和非可再生资源用途 农业资源、工业资源、服务业资源 思考 可再生资源就是“取之不尽,用之不竭”,是否正确,说明你的理由。 答案 不正确。可再生资源与非可再生资源的分类是相对的。多数可再生资源只有在合理开 发利用的前提下,才能再生;当开发利用不合理时,再生周期会延长,甚至会变成非可再生 资源。 (3)自然资源的分布 ①特点:分布广泛,但很不均匀,存在着资源富集区和资源贫乏区。 ②规律 资源类型 可再生资源 非可再生资源 种类 水资源、生物资源等 矿产资源 影响因素 纬度位置、海陆位置等 地质条件 分布规律 具有一定的地域分异规律 多共生伴生矿,具有地质规律 ③应对措施:跨区域调配资源 2.自然资源对人类活动的影响 (1)重要性:自然资源是人类社会赖以生存的物质基础,也是社会生产的原料、燃料来源以 及生产布局的必要条件。 (2)影响的阶段性 历史阶段 主要资源 具体影响 举例 人类的生产生活对自然环境和自 农业社会 气候、水、 然资源的依赖程度很高。充足稳 世界古文明发源地 阶段 土地、生物 定的自然资源保障,是农业社会 发展的基础 沙特阿拉伯是重要的石 自然资源状况对经济发展具有至 油输出国;巴西、澳大 关重要的影响 工业社会 利亚采矿业发达 矿产资源 阶段 自然资源的空间分布、组合状 大庆、鞍山、金昌等工 况,交通运输的便利程度,对资 业城市靠近矿产资源富 源性产业的布局具有重大影响 集的地区 以美国“硅谷”为代表 自然资源在地区发展中的作用相 信息社会 的新兴电子工业主要分 后天性资源 对下降,各种后天性资源的地位 阶段 布在高等教育比较发达 迅速上升 的地区回归教材 读选择性必修3教材第7页图1-5“世界古文明发源地”,指出四大文明古国 形成的共同优越条件。 答案 地形平坦、气候温暖湿润、水源充足、土壤肥沃,适宜农业生产活动。 1.自然资源对人类活动的影响 依据图并结合社会发展历程,不难分析出自然资源利用与社会经济发展存在如下关系: (1)随着生产力水平不断提高,人类对资源的依赖程度不断降低。 (2)人类对资源利用的广度和深度不断加大,所利用资源的分布空间从地表到地下,利用程 度从单一到综合。 (3)不同的历史阶段,各种资源对社会发展所起的作用也有所不同。如能源在当今社会中起 着不可替代的作用。 2.辩证看待技术革新的积极作用和局限性 技术革新能够调节自然资源供需关系,维持供需平衡,对维持资源安全、缓解资源短缺有积 极作用。但在一定的时空范围内,技术很难有大的突破,其对资源供需关系的调节作用有限; 同时自然资源消耗数量超过自然环境的供给极限时,技术革新的效果就无法显现了。因此, 技术革新在解决资源短缺问题时有其局限性。 (2022·山东地理)阅读图文资料,完成下列要求。(14分) 宋代以来,珠江三角洲某地的人们通过沿江沿海筑堤、修坝、淤地等一系列人工活动 围垦田地。堤围始建于宋代,初次合围(环绕围垦田地的外堤合拢)于明初,兴盛于清中叶。 下图示意该地不同时期的围垦景观。围内河道纵横交错。(1)宋元时期,当地乡民沿水而居,居民点呈散点状分布。分析居民点呈散点状分布的主要 自然原因。(2分) (2)明代中期,当地形成了较为完备的水利系统,水稻产量显著提高并有大量余粮输出。说 明堤坝对提高水稻产量的作用。(6分) (3)清代中期,人口规模扩大,当地农业生产方式由以水稻种植为主逐渐转变为以桑基鱼塘 为主。这种农业生产方式的转变适应了当地环境,体现了人地和谐。对此作出合理解释。(6 分) [关键信息点拨] 该地被河流分割成众多的小块土地,这些小块土地就是古人的安家之地,地块小而分散 的特点决定了居民点呈散点状分布。 结合示意图,沿江干堤具有蓄水、增加灌溉水源、防洪等多项功能;沿海外堤通过围垦 淤地增加了耕地面积,还可以阻挡海潮入侵,减轻土壤盐渍化,保障耕地安全。 水稻种植局限于陆地上,水面不能利用,土地资源的利用率较低;基塘生产是顺应地势 低洼、河网密布的环境特点,挖低为塘、培土为基,塘内养殖、基上种植,充分利用了土 地资源,提高了土地资源的利用率;同时基塘有蓄水的功能,可增强农业生产对旱涝灾害 的承受能力。 [地理原理再现] 自然环境是人类社会生存和发展的基础 简述“自然环境是人类社会生存和发展的基础”的含义。 答案 自然环境可以为人类提供供给、调节、文化和支撑服务功能,通过这些服务为人类生 存和发展提供新鲜的空气、清洁的水源、安全的食物、用于生产的原材料和能源等,同时也 提供了质量良好的环境、舒适的气候,以及供人类娱乐和审美的自然体验感受等。这些服务 功能就是人类社会生存和发展的基础。 答案 (1)地势低洼,河网密布,可利用的土地块小而分散。 (2) 通过堤坝围垦,增加土地面积,扩大种植规模;沿江 ( 河 ) 堤坝便于防洪、灌溉,提高土地 质量,改善种植条件;沿海堤坝防止海潮入侵,保护农田安全。 (3)顺应当地气候、地形、水文等自然条件发展桑基鱼塘,因地制宜;增强了农业生产对旱 涝灾害的承受能力,提高了物产的稳定性;充分利用土地资源,提高了当地资源环境承载力 , 满足人口发展需要。考向1 通过“自然资源的分布”考查“区域认知” 下图为“我国东北地区某自然资源空间分布图”。据此完成1~2题。 1.该自然资源可能是( ) A.耕地 B.湿地 C.草地 D.森林 2.该自然资源分布区自然环境共同特点是( ) A.地形平坦,土壤肥沃 B.山地绵延,树种丰富 C.地势坦荡,气候干冷 D.水源充足,生物多样 答案 1.B 2.D 解析 第1题,读图并结合所学知识可知,该自然资源分布区地势较低平,排水不畅;纬度 高,气温低,蒸发弱,加之冻土发育,水分不易下渗,最可能是湿地资源,故选B。第2题, 结合上题分析可知,该自然资源为湿地。湿地水源充足,生物多样性丰富,D正确;湿地分 布区土壤不一定肥沃(如图中最北部漠河一带土壤欠发育),A错;湿地多分布在地势低平, 排水不畅的地区,B错;湿地分布区地势低平,气候湿冷,C错。 考向2 通过“自然资源及其利用”考查“综合思维” (2024·宁夏银川模拟)页岩气是从页岩层或泥岩层中开采出来的非常规天然气资源,成分 以甲烷为主。川南地区页岩气资源丰富,下图示意该地区深层页岩气资源丰度分布(资源丰 度指资源的富集和丰富程度)。据此完成3~4题。3.结合页岩埋深和页岩气资源丰度考虑,应优先勘探开发的地区是( ) A.威远、绥江 B.泸县、泸州 C.合川、重庆 D.赤水、叙永 4.川南地区页岩气开发将( ) ①加大酸雨危害 ②导致大规模地面沉降 ③优化能源消费结构 ④缓解能源供给压力 A.①② B.②③ C.①④ D.③④ 答案 3.B 4.D 解析 第3题,由页岩气埋藏深度可知,重庆、赤水、叙永等地埋藏深度均大于 4 500 m, 不适合优先勘探开发;结合页岩气资源丰度等值线可知,泸县、泸州的页岩气资源丰度要远 远大于威远、绥江、合川,且页岩气埋藏深度为3 500~4 500 m,埋藏较浅,故最适合优先 勘探开发的地区是泸县、泸州,B正确。第4题,由材料可知,页岩气的成分以甲烷为主, 氮、硫元素含量少,页岩气开发不会加大酸雨危害,①错误;页岩气存在于页岩层或泥岩层 中,开发页岩气后,页岩层和泥岩层仍在地下,故页岩气开发不会导致大规模地面沉降,② 错误;页岩气成分以甲烷为主,属于清洁能源,其开发利用可减少常规化石能源的使用,增 加能源供给,缓解能源供给的压力,优化能源消费结构,③④正确,选D。 课时精练 (2024·青海玉树模拟)冰川服务可分为供给服务、调节服务和文化服务。其中供给服务包 括淡水资源、水力发电;调节服务包括气候调节、径流调节;文化服务包括美学欣赏、科学 研究等。三江源冰川服务总价值为421.51亿元,直接经济价值的供给服务价值占总价值的 20.64%。下图为“三江源地区冰川冰储量的变化图”。据此完成1~3题。1.下列冰川的功能中能够直接体现经济价值的是( ) A.气候调节 B.径流调节 C.淡水资源 D.科学研究 2.推断2002~2018年三江源冰川服务价值局部最先降低的可能是( ) A.气候调节 B.径流调节 C.美学欣赏 D.科学研究 3.关于2018年三江源≥50 km2 面积等级的冰川冰储量略有增加的原因是( ) A.海拔高,气温低,持续冻结 B.较大面积冰川融化,范围扩大 C.降雨增多,雨水冻结 D.冰川温度低,冰川融水重新冻结 答案 1.C 2.A 3.D 解析 第1题,据材料可知,冰川供给服务包括淡水资源、水力发电,可直接体现为经济价 值,C正确;而气候调节、径流调节属于冰川的调节服务,科学研究属于文化服务,不能直 接体现经济价值。故选C。第2题,图中显示2002~2018年冰川冰储量降低,短时间内, 美学欣赏价值和径流调节能力不会有太大变化,科学研究价值受影响较小;冰川冰储量和面 积变化,会引发局部太阳辐射反射率变化及局部蒸发量变化等,可能导致气候调节功能首先 受影响,A正确。第3题,2018年三江源≥50 km2 面积等级的冰川冰储量略有增加的原因 是冰川温度低,冰川融水重新冻结所致,D正确;冰川分布海拔高,气温低,但不会持续冻 结,融化和冻结现象都存在,A错误;较大面积冰川融化,冰储量会减少,B错误;降雨量 增加可以使不同面积等级的冰川冰储量都增大,与材料不符,C错误。故选D。 (2024·内蒙古呼伦贝尔模拟)为了保障和改善民生,减少污染物排放,我国西部地区推行 太阳能和风能结合的供能方式代替燃煤。下图为“当地某居民家庭能源利用示意图”。据此 完成4~5题。4.当地采用太阳能、风能代替煤炭主要原因是( ) A.煤炭价格昂贵,居民负担重 B.煤炭形成困难,需要保护 C.太阳能、风能资源丰富,无污染 D.煤炭资源缺乏 5.该模式( ) A.冬季效果优于夏季 B.可在全国大规模推广 C.不受天气变化影响 D.西藏使用效果优于山西晋中 答案 4.C 5.D 解析 第4题,我国西部地区有丰富的太阳能、风能资源,且太阳能、风能为清洁、可再生 能源,替代煤炭作为燃料,利于减轻环境污染,改善民生,选C。第5题,冬季太阳高度较 小,太阳能发电效果比夏季差,A错误;我国太阳能、风能分布不均匀,欠丰富地区不适合 大规模推广,B错误;太阳能、风能易受天气变化影响,C错误;西藏太阳能和风能资源比 山西晋中更丰富,使用效果优于山西晋中,D正确。 6.(2023·江苏扬州模拟)阅读图文材料,完成下列要求。(14分) 近年来,“冷”被作为一种气候资源得到重新认识,逐步成为我国部分地区资源配置和 结构调整的新优势。内蒙古的呼伦贝尔位于大兴安岭以西,冬季气候极寒,拥有得天独厚的 冰雪资源。当地结合筹办第十四届全国冬季运动会的契机,大力培育和发展冰雪产业。下图 为呼伦贝尔位置示意图。(1)分析极寒气候对呼伦贝尔农业生产造成的影响。(6分) (2)从地形角度分析呼伦贝尔建设滑雪场的有利条件。(4分) (3)为了充分发挥呼伦贝尔的“冷”资源优势,列举四类可利用当地冰雪(“冷”)资源发展的 相关产业。(4分) 答案 (1)积温低,热量不足,生长期短;农作物种类少,以耐寒作物为主;蔬菜多在大棚 里生长,种植成本高;病虫害减少,农药用量少,农产品绿色环保;气温低,不利于水产养 殖、放牧及牲畜生长;对畜牧业场地保温与牧草贮存条件要求高。 (2)呼伦贝尔处于大兴安岭的西侧,位于冬季西北风的迎风坡,冷空气易堆积,海拔较高, 冬季寒冷而漫长,降雪量较大,冰雪期长;呼伦贝尔位于高原和山地过渡带,海拔较高,坡 度适中(陡坡与缓坡结合),地势开阔,场地宽广,有利于建设滑雪场。 (3)冰雪体育产业、冰雪旅游产业、冰雪装备制造业、冰雪文化产业、冰雪康养产业、冰雪 会展产业、冰雪影视产业、(航天器、车辆)耐寒测试产业、“冷”资源高效农业等。(任答四 点)