当前位置:首页>文档>第一章 课时67 自然环境与人类社会_9.2025地理总复习_2025年新高考资料_一轮复习_2025高考大一轮复习讲义+练习(完结)_2025高考大一轮复习地理(人教版)

第一章 课时67 自然环境与人类社会_9.2025地理总复习_2025年新高考资料_一轮复习_2025高考大一轮复习讲义+练习(完结)_2025高考大一轮复习地理(人教版)

  • 2026-04-01 05:14:42 2026-03-13 14:43:36

文档预览

第一章 课时67 自然环境与人类社会_9.2025地理总复习_2025年新高考资料_一轮复习_2025高考大一轮复习讲义+练习(完结)_2025高考大一轮复习地理(人教版)
第一章 课时67 自然环境与人类社会_9.2025地理总复习_2025年新高考资料_一轮复习_2025高考大一轮复习讲义+练习(完结)_2025高考大一轮复习地理(人教版)
第一章 课时67 自然环境与人类社会_9.2025地理总复习_2025年新高考资料_一轮复习_2025高考大一轮复习讲义+练习(完结)_2025高考大一轮复习地理(人教版)
第一章 课时67 自然环境与人类社会_9.2025地理总复习_2025年新高考资料_一轮复习_2025高考大一轮复习讲义+练习(完结)_2025高考大一轮复习地理(人教版)
第一章 课时67 自然环境与人类社会_9.2025地理总复习_2025年新高考资料_一轮复习_2025高考大一轮复习讲义+练习(完结)_2025高考大一轮复习地理(人教版)
第一章 课时67 自然环境与人类社会_9.2025地理总复习_2025年新高考资料_一轮复习_2025高考大一轮复习讲义+练习(完结)_2025高考大一轮复习地理(人教版)
第一章 课时67 自然环境与人类社会_9.2025地理总复习_2025年新高考资料_一轮复习_2025高考大一轮复习讲义+练习(完结)_2025高考大一轮复习地理(人教版)
第一章 课时67 自然环境与人类社会_9.2025地理总复习_2025年新高考资料_一轮复习_2025高考大一轮复习讲义+练习(完结)_2025高考大一轮复习地理(人教版)
第一章 课时67 自然环境与人类社会_9.2025地理总复习_2025年新高考资料_一轮复习_2025高考大一轮复习讲义+练习(完结)_2025高考大一轮复习地理(人教版)
第一章 课时67 自然环境与人类社会_9.2025地理总复习_2025年新高考资料_一轮复习_2025高考大一轮复习讲义+练习(完结)_2025高考大一轮复习地理(人教版)
第一章 课时67 自然环境与人类社会_9.2025地理总复习_2025年新高考资料_一轮复习_2025高考大一轮复习讲义+练习(完结)_2025高考大一轮复习地理(人教版)
第一章 课时67 自然环境与人类社会_9.2025地理总复习_2025年新高考资料_一轮复习_2025高考大一轮复习讲义+练习(完结)_2025高考大一轮复习地理(人教版)

文档信息

文档格式
docx
文档大小
5.503 MB
文档页数
12 页
上传时间
2026-03-13 14:43:36

文档内容

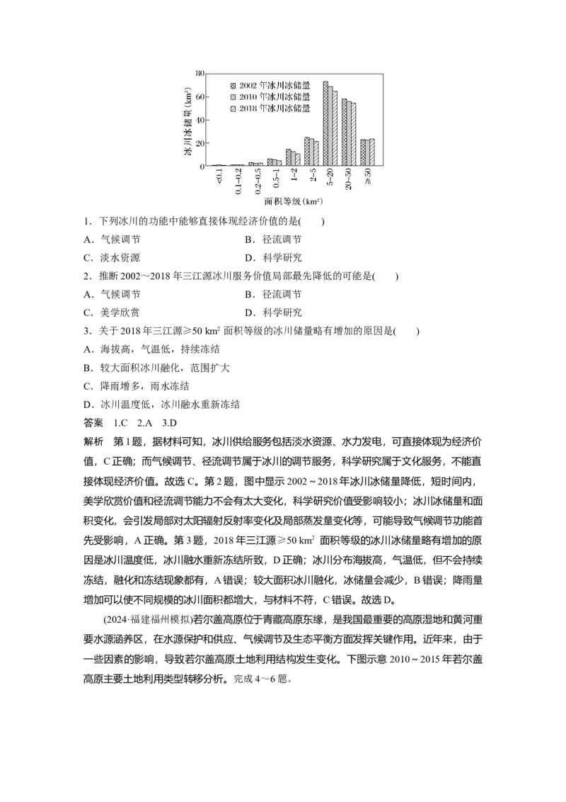
[课程标准] 1.结合实例,说明自然资源的数量、质量、空间分布与人类活动的关系。2.以 某种战略性矿产资源为例,分析其分布特点及开发利用现状。3.运用图表,解释中国耕地资 源的分布,说明其开发利用现状,以及耕地保护与粮食安全的关系。4.结合实例,说明海洋 空间资源开发对国家安全的影响。5.结合实例,说明国家海洋权益、海洋发展战略及其重要 意义。6.运用资料,说明南海诸岛是中国领土的组成部分,钓鱼岛及其附属岛屿是中国固有 领土,中国对其拥有无可争辩的主权。 [基本概念] 服务功能、自然资源;资源安全、国家安全;战略性矿产资源、能源安全;耕 地、粮食安全;海洋空间资源、海洋国土安全。 [基本原理] 1.自然环境的服务功能和可持续利用。2.自然资源数量、质量和空间分布等禀 赋特征与人类活动的关系。3.各种战略性资源安全问题产生的原因;保障资源安全的途径。 4.粮食安全问题产生的原因、保障粮食安全的措施。5.海洋空间资源开发对国家(资源、海洋 国土)安全的意义。 [体系架构] 课时 67 自然环境与人类社会 一、自然环境的服务功能 1.自然环境的服务功能(1)概念:人类从自然环境中获得的各种益处。 (2)类型 类型 价值 实例:森林的服务功能 供给服务 为人类提供自然资源 提供森林资源、动物资源等 调节气候、净化空气和水质、涵养 调节服务 为人类提供相对适宜的生存环境 水源等 人类从自然环境中获得精神享受、 提供美丽的风景,也供人类旅游休 文化服务 审美体验等非物质收益 憩、获得精神享受等 作为生物的栖息地、维持生物多样 支撑服务 维持自然环境自身的相对稳定状态 性、增加土壤肥力等 (3)相互关系:①自然环境的各种服务功能是同时存在的;②支撑服务是供给服务、调节服 务、文化服务的基础和前提,并通过这些服务间接为人类提供服务。 回归教材 读选择性必修3教材第2页图1.2“自然环境的服务功能示例”,填写下图中数 字代表的含义。 答案 ①供给 ②调节 ③文化 ④支撑 2.可持续利用自然环境的服务 (1)自然环境提供的服务是有限度的。如果不合理利用自然环境的各种服务,会产生一系列 问题。具体如下表所示: 不合理利用自然环境的服务 后果 人类利用自然资源的数量和速度超 供给服务方面 使自然资源的供给难以为继 过自然环境的供给能力 排放的废弃物超过自然环境的调节 有毒、有害物质不能完全得到净 调节服务方面 能力 化 有可能打破自然环境的稳定状 态,甚至使环境向不利于人类生 支撑服务方面 自然环境的支撑服务功能受到损害 存的方向变化,自然环境的供给 和调节服务功能也会受到影响要求:人类获取各种服务,需要控制在自然环境允许的范围内,不能超出自然环境服务功能 的极限,特别是不能超出自然环境的支撑服务功能的极限。 (2)人类获取的自然环境的不同服务有时是相互冲突的,人类从一种服务获益时,可能危及 其他服务。例如,砍伐森林获取木材,获取了森林的供给服务,但危及了其调节服务和支撑 服务。 要求:人类需要对自然环境提供的不同服务,进行综合权衡,在不损害自然环境以保证自然 环境服务功能可持续利用的前提下,选择最优的利用方案。 回归教材 读选择性必修3教材第4页图1.4“水坝对自然环境服务功能的可能影响”,思 考水坝可能强化哪些服务功能,对哪些服务功能产生不利影响? 答案 有利影响:利于发展旅游业(文化服务功能);生产廉价的水电、提供稳定的灌溉用水、 促进渔业的发展(供给服务功能);减少下游洪灾(调节服务功能)等。 不利影响:损害支撑服务功能,自然环境的稳定状态被打破,会产生很多不利的影响,如使 下游损失大量的水、失去富含营养的泥沙(供给服务功能),淹没上游土地,水坝引发地震(调 节服务功能)等。 二、自然资源及其利用 1.自然资源及其属性 (1)概念:在一定经济技术条件下,从自然环境中获得并能满足人类生产和生活需求的物质 和能量。 (2)分类 (3)属性 特别提醒 可再生资源与非可再生资源的分类是相对的 多数可再生资源只有在合理开发利用的前提下,才可以获得再生;当开发利用不合理时,它 们的再生周期就会延长,甚至变成非可再生资源。常见的可再生资源有气候资源、生物资源、水资源、土地资源等,非可再生资源主要指矿产资源。 2.自然资源的数量特征 (1)自然资源数量是有限的。 (2)自然资源具有稀缺性 自然资源稀缺时,其价格往往会上涨,引起人类社会在供给和需求两方面的一系列连锁反应。 良性的响应会优化资源配置,从而弥补资源稀缺所带来的限制。 回归教材 读选择性必修3教材第9页图1.10 “理想状况下市场对资源稀缺的响应模式”, 思考如何辩证看待技术革新对资源短缺问题的积极作用和局限性。 答案 积极作用:技术革新可以调节自然资源的供需关系,维持供需平衡,可以维持资源安 全、缓解资源短缺。 局限性:在一定时空范围内,技术很难有大的突破,对资源供需关系的调节作用有限;同时 自然资源消费数量超过自然环境的供给极限时,技术革新也会失去效果。 3.自然资源的质量特征 (1)自然资源的质量有优劣高低之分。 (2)自然资源的质量可用一定的指标刻画。 (3)不同质量的自然资源开发利用成本是有差别的。 4.自然资源的空间分布特征 (1)空间分布特征 (2)自然资源分布的空间差异会导致社会经济发展区域差异;空间分布不均匀导致资源在空 间上流动。 1.自然资源的数量与人类活动的关系 特征 与人类活动的关系 有限性 人类不能突破自然环境供给资源的极限 因稀缺而价格上涨,导致需求减少,驱使人们寻求替代品,节约利用、循环 稀缺性 使用,提高资源利用率;会因经济价值上升,驱使人们寻求新的储量,寻找 增产方法 2.自然资源的质量与人类活动的关系 特征 与人类活动的关系 质量有优劣高低之 在一定技术水平条件下,只有质量达到一定标准才能被人类利用分 ①质量高的自然资源是有限的,会造成局部或整体上供给不足; ②质量较高的自然资源会因人类过度开发造成质量下降,高质量 质量用一定指标刻 自然资源减少;③随着技术的进步,人类可以有能力利用质量较 画 低的自然资源,或者提高自然资源的质量,从而控制经济和环境 成本 ①利用高质量的自然资源可以降低经济和环境成本;②利用低质 量的自然资源会增加经济成本和环境成本;③不同质量的自然资 开发成本有差异 源可以满足人类不同的需求,人类应该根据用途合理选择不同质 量的自然资源 3.自然资源的空间分布特征与人类活动的关系 空间分布特征 与人类活动的关系 ①可再生资源分布具有地带性规律;②矿产资源分布具有 不均匀,但有规律 地质规律,为人类寻找自然资源提供了依据 ①影响区域经济生产方式(如种植业与畜牧业的差异);②某 分布的空间差异导致社会 种自然资源高度富集,成为带动区域发展的战略优势(如中 经济发展产生区域差异 东的石油、中国的稀土);③自然资源组合较好,区域会优 先、较快地发展(如古文明都发源于水土配合好的区域) ①一些资源在不同区域或国家之间直接流动(如我国的南水 分布不均成为区域间相互 北调、中东地区的石油贸易);②有些资源通过产品贸易间 联系的动力和前提 接流动(如农产品贸易可以实现水资源、土地资源的再分配) (2022·山东地理)阅读图文资料,完成下列要求。(14分) 宋代以来,珠江三角洲某地的人们通过沿江沿海筑堤、修坝、淤地等一系列人工活动 围垦田地。堤围始建于宋代,初次合围(环绕围垦田地的外堤合拢)于明初,兴盛于清中叶。 下图示意该地不同时期的围垦景观。围内河道纵横交错。(1)宋元时期,当地乡民沿水而居,居民点呈散点状分布。分析居民点呈散点状分布的主要 自然原因。(2分) (2)明代中期,当地形成了较为完备的水利系统,水稻产量显著提高并有大量余粮输出。说 明堤坝对提高水稻产量的作用。(6分) (3)清代中期,人口规模扩大,当地农业生产方式由以水稻种植为主逐渐转变为以桑基鱼塘 为主。这种农业生产方式的转变适应了当地环境,体现了人地和谐。对此作出合理解释。(6 分) [关键信息点拨] 该地被河流分割成众多的小块土地,这些小块土地就是古人的安家之地,地块小而分散的 特点决定了居民点的散点状分布。 结合示意图,沿江干堤具有蓄水、增加灌溉水源、防洪等多项功能;沿海外堤通过围垦淤 地增加了耕地面积,还可以阻挡海潮入侵,减轻土壤盐渍化,保障耕地安全,提高单位面积 的粮食产量。 水稻种植局限于耕地上,水面不能利用,土地资源的利用率较低;基塘生产是顺应地势低 洼、河网密布的环境特点,挖低为塘、培土为基,塘内养殖、基上种植,充分利用了土地资 源,提高了土地资源的利用率。同时基塘有蓄水的功能,可增强农业生产对旱涝灾害的承受 能力。 [地理原理再现] 自然环境是人类社会生存和发展的基础 简述“自然环境是人类社会生存和发展的基础”的含义。 答案 自然环境可以为人类提供供给、调节、文化和支撑服务功能,通过这些服务为人类生 存和发展提供新鲜的空气、清洁的水源、安全的食物、用于生产的原材料和能源等,同时也 提供了质量良好的环境、舒适的气候,以及供人类娱乐和审美的自然体验感受等。这些服务 功能就是人类社会生存和发展的基础。 答案 (1)地势低洼,河网密布,可利用的土地块小而分散。 (2) 通过堤坝围垦,增加土地面积,扩大种植规模;沿江 ( 河 ) 堤坝便于防洪、灌溉,提高土地 质量,改善种植条件;沿海堤坝防止海潮入侵,保护农田安全。 (3)顺应当地气候、地形、水文等自然条件发展桑基鱼塘,因地制宜;增强了农业生产对旱 涝灾害的承受能力,提高了物产的稳定性;充分利用土地资源,提高了当地资源环境承载力 , 满足人口发展需要。考向1 通过“自然环境的服务功能”考查“综合思维” (2023·河北衡水中学模拟)子午岭是我国西北地区黄土高原面积最大、保存最完整、最具 代表性的天然次生林和重要的水源涵养林区。森林覆盖率 64.79%,森林总蓄积1 600多万 m3,对于维系陇东乃至陕西、宁夏毗邻地区的生态平衡、保持水土、涵养水源、增加雨量、 调节气候,促进当地社会经济健康持续发展具有极其重要的作用。据此完成1~3题。 1.子午岭森林为我国西北地区提供的服务功能主要包括( ) ①供给服务 ②调节服务 ③支撑服务 ④文化服务 A.①② B.②③ C.③④ D.①④ 2.子午岭地区的森林资源( ) A.以针叶林为主 B.单位面积木材蓄积量高 C.可为当地经济发展提供大量的木材 D.动植物资源丰富 3.地方政府决定改扩建林区防火道路,这对该林区带来的影响有( ) A.道路沿线森林面积锐减 B.可以杜绝森林火灾的发生 C.对林区野生动物影响小 D.易引发水土流失 答案 1.B 2.D 3.C 解析 第1题,自然生态系统提供的服务通常分为供给服务、调节服务、支撑服务和文化服 务四大类。子午岭森林作为自然生态系统,具有保持水土、涵养水源、增加雨量、调节气候 的作用,即提供的主要服务有调节服务、支撑服务,②③正确,故选B。第2题,该地地处 我国西北地区黄土高原,主要的气候类型为温带季风气候,植被以暖温带落叶阔叶林为主, A错误。以天然次生林为主,单位面积木材蓄积量不高,B错误。子午岭自然保护区是在国 有林场的基础上建立的,以营造生态林为主,C错误。该地是我国西北地区重要的自然保护 区,对保护西北地区自然环境起重要作用,动植物资源丰富,故选D。第3题,改扩建林区 防火道路,道路沿线森林面积会适当减少,但不会锐减,A错误。不可能杜绝林火的发生, B错误。道路的扩建,影响的区域面积不大,对林区野生动物影响小,对水土流失不会造成 大的影响,C正确、D错误。 考向2 通过“自然资源及其利用”考查“综合思维” (2024·湖北武汉模拟)页岩气是从页岩层或泥岩层中开采出来的非常规天然气资源,成分 以甲烷为主。川南地区页岩气资源丰富,下图示意该地区深层页岩气资源丰度分布(资源丰 度指资源的富集和丰富程度)。据此完成4~5题。4.结合页岩埋深和页岩气资源丰度考虑,应优先勘探开发的地区是( ) A.威远、绥江 B.泸县、泸州 C.合川、重庆 D.赤水、叙永 5.川南地区页岩气开发将( ) ①加大酸雨危害 ②导致大规模地面沉降 ③优化能源消费结构 ④缓解能源供给压力 A.①② B.②③ C.①④ D.③④ 答案 4.B 5.D 解析 第4题,由页岩气埋藏深度可知,重庆、赤水、叙永等地埋藏深度均大于4 500米, 不适合优先勘探开发;结合页岩气资源丰度等值线可知,泸县、泸州的页岩气资源丰度要远 远大于威远、绥江、合川,故最适合优先勘探开发的地区是泸县、泸州,B正确。第5题, 由材料可知,页岩气的成分以甲烷为主,氮、硫元素含量少,页岩气开发不会加大酸雨危害, ①错误;页岩气存在于页岩层或泥岩层中,开发页岩气后,页岩层和泥岩层仍在地下,故页 岩气开发不会导致大规模地面沉降,②错误;页岩气成分以甲烷为主,属于清洁能源,其开 发利用可减少常规能源的使用,缓解能源供给的压力,优化能源消费结构,③④正确,选 D。 课时精练 (2023·福建泉州模拟)冰川服务可分为供给服务、调节服务和文化服务。其中供给服务包 括淡水资源、水力发电;调节服务包括气候调节、径流调节;文化服务包括美学欣赏、科学 研究等。三江源冰川服务总价值为421.51亿元,直接经济价值的供给服务价值占总价值的 20.64%。下图为“三江源地区冰川冰储量的变化图”。据此完成1~3题。1.下列冰川的功能中能够直接体现经济价值的是( ) A.气候调节 B.径流调节 C.淡水资源 D.科学研究 2.推断2002~2018年三江源冰川服务价值局部最先降低的可能是( ) A.气候调节 B.径流调节 C.美学欣赏 D.科学研究 3.关于2018年三江源≥50 km2 面积等级的冰川储量略有增加的原因是( ) A.海拔高,气温低,持续冻结 B.较大面积冰川融化,范围扩大 C.降雨增多,雨水冻结 D.冰川温度低,冰川融水重新冻结 答案 1.C 2.A 3.D 解析 第1题,据材料可知,冰川供给服务包括淡水资源、水力发电,可直接体现为经济价 值,C正确;而气候调节、径流调节属于冰川的调节服务,科学研究属于文化服务,不能直 接体现经济价值。故选C。第2题,图中显示2002~2018年冰川冰储量降低,短时间内, 美学欣赏价值和径流调节能力不会有太大变化,科学研究价值受影响较小;冰川冰储量和面 积变化,会引发局部对太阳辐射反射率变化及局部蒸发量变化等,可能导致气候调节功能首 先受影响,A正确。第3题,2018年三江源≥50 km2 面积等级的冰川冰储量略有增加的原 因是冰川温度低,冰川融水重新冻结所致,D正确;冰川分布海拔高,气温低,但不会持续 冻结,融化和冻结现象都有,A错误;较大面积冰川融化,冰储量会减少,B错误;降雨量 增加可以使不同规模的冰川面积都增大,与材料不符,C错误。故选D。 (2024·福建福州模拟)若尔盖高原位于青藏高原东缘,是我国最重要的高原湿地和黄河重 要水源涵养区,在水源保护和供应、气候调节及生态平衡方面发挥关键作用。近年来,由于 一些因素的影响,导致若尔盖高原土地利用结构发生变化。下图示意 2010~2015年若尔盖 高原主要土地利用类型转移分析。完成4~6题。4.人类从若尔盖湿地获取泥炭,主要体现自然环境的( ) A.供给服务 B.调节服务 C.文化服务 D.支撑服务 5.2010~2015年,若尔盖高原( ) A.沙地面积增加最多 B.草地面积减少比例最高 C.湿地调节功能增强 D.植被固碳能力有所减弱 6.造成该地区土地类型发生变化的最主要原因是( ) A.大力发展工业 B.退耕还林还草 C.积极发展农业 D.旅游开发建设 答案 4.A 5.D 6.D 解析 第4题,供给服务为人类提供丰富的自然资源,故A正确。第5题,从图中可以看出 多种土地类型转变为建设用地,且总量最大,A错误;草地面积减少最多,但材料未给出草 地总面积,无法判断草地面积减少比例是否最高,B错误;湿地面积减少,其调节功能下降, C错误;植被总面积减少,固碳能力有所减弱,D正确。第6题,该地区经济落后,发展工 业条件较差,A错误;图中耕地和草地大面积转变为建设用地,B、C错误;该地环境独特, 旅游开发条件好,但基础设施较为落后,大量基础设施建设可能是为了旅游开发,D正确。 (2023·河南驻马店模拟)为了保障和改善民生,减少污染物排放,我国西部地区推行太阳 能和风能结合的供能方式代替燃煤。下图为“当地某居民家庭能源利用示意图”。据此完成 7~8题。 7.当地采用太阳能、风能代替煤炭主要原因是( )A.煤炭价格昂贵,居民负担重 B.煤炭形成困难,需要保护 C.太阳能、风能资源丰富,无污染 D.煤炭资源缺乏 8.该模式( ) A.冬季效果优于夏季 B.可在全国大规模推广 C.不受天气变化影响 D.西藏使用效果优于山西晋中 答案 7.C 8.D 解析 第7题,我国西部地区有丰富的太阳能、风能资源,太阳能、风能为清洁、可再生能 源,替代煤炭作为燃料,利于减轻环境污染,改善民生,选C。第8题,冬季太阳高度较小, 太阳能发电效果不如夏季,A错误;我国太阳能、风能分布不均匀,欠丰富地区不太适合大 规模推广,B错误;太阳能、风能易受天气变化影响,C错误;西藏太阳能和风能资源比山 西晋中更丰富,该模式使用效果优于山西晋中,D正确。 9.(2023·江苏扬州市模拟)阅读图文材料,完成下列要求。(14分) 近年来,“冷”被作为一种气候资源得到重新认识,逐步成为我国部分地区资源配置和 结构调整的新优势。内蒙古的呼伦贝尔位于大兴安岭以西,冬季气候极寒,拥有得天独厚的 冰雪资源。当地结合筹办第十四届全国冬季运动会的契机,大力培育和发展冰雪产业。下图 为呼伦贝尔位置示意图。 (1)分析极寒气候对呼伦贝尔农业生产造成的影响。(6分) (2)从地形角度分析呼伦贝尔建设滑雪场的有利条件。(4分) (3)为了充分发挥呼伦贝尔的“冷”资源优势,列举四类可利用当地冰雪(“冷”)资源发展的 相关产业。(4分) 答案 (1)积温低,热量不足,生长期短;农作物种类少,以耐寒作物为主;蔬菜多在大棚 里生长,种植成本高;病虫害减少,农药用量少,农产品绿色环保;气温低,不利于水产养殖、放牧及牲畜生长;对畜牧业场地保温与牧草贮存条件要求高。 (2)呼伦贝尔处于大兴安岭的西侧,位于冬季西北风的迎风坡,冷空气易堆积,海拔较高, 冬季寒冷而漫长,降雪量较大,冰雪期长;呼伦贝尔位于高原和山地过渡带,海拔较高,坡 度适中(陡坡与缓坡结合),地势开阔,场地宽广,有利于建设滑雪场。 (3)冰雪体育产业、冰雪旅游产业、冰雪装备制造业、冰雪文化产业、冰雪康养产业、冰雪 会展产业、冰雪影视产业、(航天器、车辆)耐寒测试产业、“冷”资源高效农业等。(任答四 点) 10.阅读图文资料,完成下列要求。(16分) 贝壳杉是世界上最古老的树种之一,喜温热湿润气候,是中性喜光树种,幼树较耐荫, 根深,长成参天大树需要两百多年。新西兰大巴里尔岛(下图)原是无人荒岛,贝壳杉林十分 茂密,后来毛利人登陆大巴里尔岛,毛利人对贝壳杉怀有特殊的敬意。当欧洲殖民者踏上大 巴里尔岛之后,大肆砍伐贝壳杉,将贝壳杉通过漂流的方式从森林运到沿海港口,用贝壳杉 建造房屋、修造船舶,并将大量原木出口海外。殖民者还用贝壳杉木修筑了一座贝壳杉大坝 以输送木材,贝壳杉天然林遭到严重破坏。20世纪50年代以后,当地政府重视贝壳杉林的 生态恢复。 (1)与新西兰大部分地区相比,简述历史上大巴里尔岛贝壳杉十分茂密的原因。(6分) (2)推测欧洲殖民者修筑贝壳杉大坝的原因。(6分) (3)在贝壳杉林恢复工程中,有人对混交引入其他树种持反对意见,请说明理由。(4分) 答案 (1)纬度较低,气候温和,冬季气温高于0 ℃; 受西风带控制时间较短,影响较弱, 夏季受副热带高压带控制,光照条件较好;开发历史较晚,且毛利人对贝壳杉的敬意使得历 史上贝壳杉受人为干扰较小。 (2)大巴里尔岛面积较小,河流落差大,水流速度快,部分河段有险滩、急流,原木难以漂 浮通过;修筑大坝便于控制水位、稳定流速,有利于将原木顺利漂流到沿海地区;贝壳杉林 茂密,便于就地取材。 (3)引入其他树种可能导致外来物种入侵,挤占贝壳杉的生长空间;其他树种在种间竞争中 也可能处于劣势,成活率低,长势差;人工干预消耗人力、物力,增加经济成本。