当前位置:首页>文档>第四部分 第一章 课时69 自然环境与人类社会_9.2025地理总复习_2024年新高考资料_1.2024一轮复习_2024年高考地理一轮复习讲义(新人教版)_学生版在此文件夹_大一轮复习讲义

第四部分 第一章 课时69 自然环境与人类社会_9.2025地理总复习_2024年新高考资料_1.2024一轮复习_2024年高考地理一轮复习讲义(新人教版)_学生版在此文件夹_大一轮复习讲义

  • 2026-04-09 14:53:58 2026-03-14 03:58:25

文档预览

第四部分 第一章 课时69 自然环境与人类社会_9.2025地理总复习_2024年新高考资料_1.2024一轮复习_2024年高考地理一轮复习讲义(新人教版)_学生版在此文件夹_大一轮复习讲义
第四部分 第一章 课时69 自然环境与人类社会_9.2025地理总复习_2024年新高考资料_1.2024一轮复习_2024年高考地理一轮复习讲义(新人教版)_学生版在此文件夹_大一轮复习讲义
第四部分 第一章 课时69 自然环境与人类社会_9.2025地理总复习_2024年新高考资料_1.2024一轮复习_2024年高考地理一轮复习讲义(新人教版)_学生版在此文件夹_大一轮复习讲义
第四部分 第一章 课时69 自然环境与人类社会_9.2025地理总复习_2024年新高考资料_1.2024一轮复习_2024年高考地理一轮复习讲义(新人教版)_学生版在此文件夹_大一轮复习讲义
第四部分 第一章 课时69 自然环境与人类社会_9.2025地理总复习_2024年新高考资料_1.2024一轮复习_2024年高考地理一轮复习讲义(新人教版)_学生版在此文件夹_大一轮复习讲义
第四部分 第一章 课时69 自然环境与人类社会_9.2025地理总复习_2024年新高考资料_1.2024一轮复习_2024年高考地理一轮复习讲义(新人教版)_学生版在此文件夹_大一轮复习讲义
第四部分 第一章 课时69 自然环境与人类社会_9.2025地理总复习_2024年新高考资料_1.2024一轮复习_2024年高考地理一轮复习讲义(新人教版)_学生版在此文件夹_大一轮复习讲义

文档信息

文档格式
docx
文档大小
3.321 MB
文档页数
7 页
上传时间
2026-03-14 03:58:25

文档内容

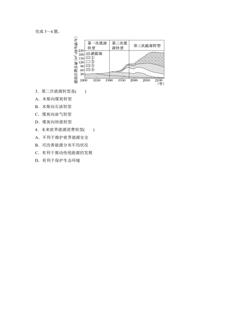
[课程标准] 结合实例,说明自 [体系架构] 然资源的数量、质量、空间分布 与人类活动的关系。 [基本概念] 自然环境、供给服 务、调节服务、文化服务、支撑 服务、可持续利用;自然资源。 [基本原理] 1.自然环境服务功 能的种类和可持续利用。2.自然 资源数量、质量和空间分布等禀 赋特征与人类活动的关系。 课时 69 自然环境与人类社会 一、自然环境的服务功能 1.自然环境服务功能 (1)概念:人类从自然环境中获得的各种________________________________________。 (2)类型:供给服务;______服务;文化服务;______服务。 (3)关系:①支撑服务是供给服务、调节服务、文化服务的基础和前提,并通过这些服务间 接为人类提供服务;②自然环境的各种服务功能是______存在的。 特别提醒 森林的服务功能 (1)供给服务:提供森林资源、动物资源等。 (2)调节服务:调节气候、净化空气和水质、涵养水源等。 (3)文化服务:提供美丽的风景,也供人类旅游休憩、获得精神享受等。 (4)支撑服务:作为生物的栖息地、维持生物多样性、增加土壤肥力等。 2.可持续利用自然环境的服务(1)原因 ①自然环境提供的服务是有限度的。如果不合理利用自然环境的各种服务,会产生一系列问 题。具体如下表所示: 不合理利用自然环境的服务 后果 人类利用自然资源的______和 供给服务方面 使自然资源的供给难以为继 速度超过自然环境的供给能力 排放的废弃物超过自然环境的 调节服务方面 有毒、有害物质不能完全得到净化 调节能力 有可能打破自然环境的______状 自然环境的支撑服务功能受到 态,甚至使环境向不利于人类生存 支撑服务方面 损害 的方向变化,自然环境的供给和调 节服务功能也会受到影响 ②人类获取的自然环境的不同服务有时是____________的,人类从一种服务获益时,可能危 及其他服务。例如,砍伐森林获取木材,获取了森林的供给服务,但危及了其调节服务和支 撑服务。 (2)原则 ①人类获取各种服务,需要控制在自然环境允许的范围内,不能超出自然环境____________ 的极限,特别是不能超出自然环境的________服务功能的极限。 ②人类需要对自然环境提供的不同服务,进行____________,在不损害自然环境以保证自然 环境服务功能________利用的前提下,选择______的利用方案。 二、自然资源及其利用 1.自然资源及其属性 (1)概念:在一定____________条件下,从____________中获得并能满足人类生产和生活需 求的物质和能量。 (2)分类 (3)属性特别提醒 可再生资源与非可再生资源的分类是相对的 多数可再生资源只有在合理开发利用的前提下,才可以获得再生;当开发利用不合理时,它 们的再生周期就会延长,甚至变成非可再生资源。常见的可再生资源有气候资源、生物资源、 水资源、土地资源等,非可再生资源主要指矿产资源。 2.自然资源的数量特征 (1)自然资源数量是______的。 (2)自然资源具有______性 自然资源稀缺时,其价格往往会上涨,引起人类社会在供给和______两方面的一系列连锁反 应。良性的响应会______资源配置,从而弥补资源稀缺所带来的限制。 3.自然资源的质量特征 (1)自然资源的质量有____________之分。 (2)自然资源的质量可用一定的______刻画。 (3)不同质量的自然资源开发利用成本是有______的。 4.自然资源的空间分布特征 (1)空间分布特征 (2)自然资源分布的空间差异会导致社会经济发展区域差异;空间分布不均匀导致资源在空 间上______。 1.自然环境服务功能的类型 类型 作用和价值 相互关系 供给 一是满足人类生存和发展所需要的空间;二是为人类提供生 自然环境的各 服务 存和发展所需的物质和能量,如食物、水等自然资源 种服务功能是 调节 为人类提供相对适宜的生存环境;同时,人类社会发展带来 同时存在的; 服务 的许多环境问题,需要通过自然环境的调节服务来化解 其中,支撑服 文化 人类从自然环境中获得的非物质收益,是一种精神享受和审 务是供给服 服务 美体验,陶冶人们的情操,丰富人类的精神世界 务、调节服务包括养分循环、光合作用、水循环、土壤的形成等,其对人 支撑 类利用来说是相对间接的,却是自然环境维持自身相对稳定 服务 和文化服务的 状态必不可少的服务功能 基础和前提 2.图示法理解自然环境的服务功能及其可持续利用 3.自然资源的数量与人类活动的关系 特征 与人类活动的关系 有限性 人类不能突破自然环境供给资源的极限 因稀缺而价格上涨,导致需求减少,驱使人们寻求替代品,节约利用、循环 稀缺性 使用,提高资源利用率;会因经济价值上升,驱使人们寻求新的储量,寻找 增产方法 4.自然资源的质量与人类活动的关系 特征 与人类活动的关系 质量有优劣高低之分 在一定技术水平条件下,只有质量达到一定标准才能被人类利用 ①质量高的自然资源是有限的,会造成局部或整体上供给不足; ②质量较高的自然资源会因人类过度开发造成质量下降,高质量 质量用一定指标刻画 自然资源减少;③随着技术的进步,人类可以有能力利用质量较 低的自然资源,或者提高自然资源的质量,从而控制经济和环境 成本 ①利用高质量的自然资源可以降低经济和环境成本;②利用低质 量的自然资源会增加经济成本和环境成本;③不同质量的自然资 开发成本有差异 源可以满足人类不同的需求,人类应该根据用途合理选择不同质 量的自然资源 5.自然资源的空间分布特征与人类活动的关系 空间分布特征 与人类活动的关系 ①可再生资源分布具有地带性规律;②矿产资源分布具有地质规 不均匀,但有规律 律,为人类寻找自然资源提供了依据 分布的空间差异导 ①影响区域经济生产方式(如种植业与畜牧业的差异);②某种自然资源高度富集,成为带动区域发展的战略优势(如中东的石油、中国 致社会经济发展产 的稀土);③自然资源组合较好,区域会优先、较快地发展(如古文 生区域差异 明都发源于水土配合好的区域) 分布不均成为区域 ①一些资源在不同区域或国家之间直接流动(如我国的南水北调、中 间相互联系的动力 东地区的石油贸易);②有些资源通过产品贸易间接流动(如农产品 和前提 贸易可以实现水资源、土地资源的再分配) (2022·山东地理)阅读图文资料,完成下列要求。(14分) 宋代以来,珠江三角洲某地的人们通过沿江沿海筑堤、修坝、淤地等一系列人工活动 围垦田地。堤围始建于宋代,初次合围(环绕围垦田地的外堤合拢)于明初,兴盛于清中叶。 下图示意该地不同时期的围垦景观。围内河道纵横交错。 (1)宋元时期,当地乡民沿水而居,居民点呈散点状分布。分析居民点呈散点状分布的主要 自然原因。(2分) (2)明代中期,当地形成了较为完备的水利系统,水稻产量显著提高并有大量余粮输出。说 明堤坝对提高水稻产量的作用。(6分) (3)清代中期,人口规模扩大,当地农业生产方式由以水稻种植为主逐渐转变为以桑基鱼塘 为主。这种农业生产方式的转变适应了当地环境,体现了人地和谐。对此作出合理解释。(6 分) [关键信息点拨] 该地被河流分割成众多的______土地,这些小块土地就是古人的安家之地,地块小而 ______的特点决定了居民点的______状分布。 结合示意图,沿江干堤具有蓄水、增加__________水源、防洪等多项功能;沿海外堤通过 围垦淤地增加了耕地________,还可以阻挡______________,减轻土壤盐渍化,保障耕地安 全,提高单位面积的粮食产量。 水稻种植局限于耕地上,______不能利用,造成土地资源的浪费;基塘生产是顺应地势低 洼、河网密布的环境特点,挖低为塘、培土为基,塘内养殖、基上种植,充分利用了______ 资源,提高了土地资源的________。同时基塘有蓄水的功能,可增强农业生产对旱涝灾害的承受能力。 答案 (1)________________________________________________________________ ________________________________________________________________________ ________________________________________________________________________ (2)______________________________________________________________________ ________________________________________________________________________ ________________________________________________________________________ (3)______________________________________________________________________ ________________________________________________________________________ ________________________________________________________________________ 考向1 通过“自然环境的服务功能”考查“综合思维” 生态系统服务是指人类从生态系统获得的所有惠益,其供给区域(贡献区)和消费区域 (受惠区)存在下图的四种关系模型。完成1~2题。 1.与图中甲、乙、丙、丁模型相符合的生态服务是( ) A.固碳服务、水源保护、风暴潮防御、自给农业 B.自给农业、固碳服务、水源保护、风暴潮防御 C.自给农业、风暴潮防御、固碳服务、水源保护 D.风暴潮防御、自给农业、水源保护、固碳服务 2.根据该模型,在自然保护区的生态建设过程中,须( ) A.在消费区域保护生物多样 B.对消费区域进行生态补偿 C.在供给区域加大资源开发 D.对供给区域进行生态补偿 考向2 通过“自然资源及其利用”考查“综合思维” (2023·天津七校联考)下图示意世界能源消费的转型过程,①②③④为不同的能源类型。完成3~4题。 3.第二次能源转型是( ) A.木柴向煤炭转型 B.木柴向石油转型 C.煤炭向油气转型 D.煤炭向核能转型 4.未来世界能源消费转型( ) A.不利于维护世界能源安全 B.可改善能源分布不均状况 C.有利于推动传统能源的发展 D.有利于保护生态环境