当前位置:首页>文档>2025届高中地理一轮复习讲义:第四部分资源、环境与国家安全第十八单元自然资源与人类社会第73课时 自然资源及其利用(教师版)_9.2025地理总复习_2025年新高考资料_一轮复习

2025届高中地理一轮复习讲义:第四部分资源、环境与国家安全第十八单元自然资源与人类社会第73课时 自然资源及其利用(教师版)_9.2025地理总复习_2025年新高考资料_一轮复习

  • 2026-04-01 01:04:54 2026-03-16 23:57:00

文档预览

2025届高中地理一轮复习讲义:第四部分资源、环境与国家安全第十八单元自然资源与人类社会第73课时 自然资源及其利用(教师版)_9.2025地理总复习_2025年新高考资料_一轮复习
2025届高中地理一轮复习讲义:第四部分资源、环境与国家安全第十八单元自然资源与人类社会第73课时 自然资源及其利用(教师版)_9.2025地理总复习_2025年新高考资料_一轮复习
2025届高中地理一轮复习讲义:第四部分资源、环境与国家安全第十八单元自然资源与人类社会第73课时 自然资源及其利用(教师版)_9.2025地理总复习_2025年新高考资料_一轮复习
2025届高中地理一轮复习讲义:第四部分资源、环境与国家安全第十八单元自然资源与人类社会第73课时 自然资源及其利用(教师版)_9.2025地理总复习_2025年新高考资料_一轮复习
2025届高中地理一轮复习讲义:第四部分资源、环境与国家安全第十八单元自然资源与人类社会第73课时 自然资源及其利用(教师版)_9.2025地理总复习_2025年新高考资料_一轮复习
2025届高中地理一轮复习讲义:第四部分资源、环境与国家安全第十八单元自然资源与人类社会第73课时 自然资源及其利用(教师版)_9.2025地理总复习_2025年新高考资料_一轮复习
2025届高中地理一轮复习讲义:第四部分资源、环境与国家安全第十八单元自然资源与人类社会第73课时 自然资源及其利用(教师版)_9.2025地理总复习_2025年新高考资料_一轮复习
2025届高中地理一轮复习讲义:第四部分资源、环境与国家安全第十八单元自然资源与人类社会第73课时 自然资源及其利用(教师版)_9.2025地理总复习_2025年新高考资料_一轮复习
2025届高中地理一轮复习讲义:第四部分资源、环境与国家安全第十八单元自然资源与人类社会第73课时 自然资源及其利用(教师版)_9.2025地理总复习_2025年新高考资料_一轮复习
2025届高中地理一轮复习讲义:第四部分资源、环境与国家安全第十八单元自然资源与人类社会第73课时 自然资源及其利用(教师版)_9.2025地理总复习_2025年新高考资料_一轮复习
2025届高中地理一轮复习讲义:第四部分资源、环境与国家安全第十八单元自然资源与人类社会第73课时 自然资源及其利用(教师版)_9.2025地理总复习_2025年新高考资料_一轮复习
2025届高中地理一轮复习讲义:第四部分资源、环境与国家安全第十八单元自然资源与人类社会第73课时 自然资源及其利用(教师版)_9.2025地理总复习_2025年新高考资料_一轮复习

文档信息

文档格式
doc
文档大小
1.152 MB
文档页数
12 页
上传时间
2026-03-16 23:57:00

文档内容

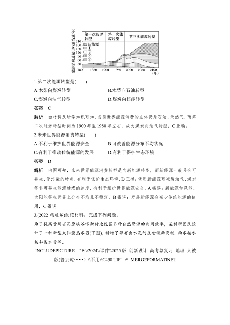
第 73 课时 自然资源及其利用 课程标准:结合实例,说明自然资源的数量、质量、空间分布与人类活动的关系。 目标导航 知识导图 INCLUDEPICTURE "E:\\2024\\课件\ \2025版 创新设计 高考总复习 地理 1.通过实例,说明自然资源的数量与人 人教版(鲁京琼……)\\不用\\L184A.tif" 类活动的关系。 \* MERGEFORMATINET 2.运用图文资料,说明自然资源的质量 与人类活动的关系。 3.通过实例,说明自然资源的空间分布 与人类活动的关系。 INCLUDEPICTURE "E:\\2024\\课件\\2025版 创新设计 高考总复习 地理 人教 版(鲁京琼……)\\不用\\图表自主填绘.TIF" \* MERGEFORMATINET 1.自然资源及其属性 (1)概念:在一定经济技术条件下,从自然环境中获得并能满足人类生产和生活需 求的物质和能量。 (2)分类 INCLUDEPICTURE "E:\\2024\\课件\\2025版 创新设计 高考总复习 地理 人教 版(鲁京琼……)\\不用\\L185.tif" \* MERGEFORMATINET (3)属性INCLUDEPICTURE "E:\\2024\\课件\\2025版 创新设计 高考总复习 地理 人教 版(鲁京琼……)\\不用\\L186.tif" \* MERGEFORMATINET 2.自然资源的数量特征 (1)自然资源数量是有限的。 (2)自然资源具有稀缺性 自然资源稀缺时,其价格往往会上涨,引起人类社会在供给和需求两方面的一系 列连锁反应。良性的响应会优化资源配置,从而弥补资源稀缺所带来的限制。 3.自然资源的质量特征 (1)自然资源的质量有优劣高低之分。 (2)自然资源的质量可用一定的指标来刻画。 (3)不同质量的自然资源开发利用成本是有差别的。 4.自然资源的空间分布特征 INCLUDEPICTURE "E:\\2024\\课件\\2025版 创新设计 高考总复习 地理 人教 版(鲁京琼……)\\不用\\L187.tif" \* MERGEFORMATINET INCLUDEPICTURE "E:\\2024\\课件\\2025版 创新设计 高考总复习 地理 人教 版(鲁京琼……)\\不用\\L188.tif" \* MERGEFORMATINET 方法技巧 自然资源的判断方法首先,作为自然资源必须能直接从自然界中获得,即自然资源必须具备“自然属 性”;其次,作为自然资源必须能用于生产和生活,即必须具备“经济属性”,亦即 对人类“有用”。因此,判断某种物质是否为自然资源,要看它是否同时具备“自 然”和“经济”两种属性。 特别提醒 可再生资源与非可再生资源的分类是相对的 多数可再生资源只有在合理开发利用的前提下,才可以获得再生;当开发利用不 合理时,它们的再生周期就会延长,甚至变成非可再生资源。常见的可再生资源有 气候资源、生物资源、水资源、土地资源等,非可再生资源主要指矿产资源。 INCLUDEPICTURE "E:\\2024\\课件\\2025版 创新设计 高考总复习 地理 人教 版(鲁京琼……)\\不用\\重点互动突破.TIF" \* MERGEFORMATINET 重点 自然资源的特征与人类活动的关系 INCLUDEPICTURE "E:\\2024\\课件\\2025版 创新设计 高考总复习 地理 人教 版(鲁京琼……)\\不用\\精讲点拨.TIF" \* MERGEFORMATINET 1.自然资源的数量与人类活动的关系 特征 与人类活动的关系 有限性 人类不能突破自然环境供给资源的极限 因稀缺而价格上涨,导致需求减少,驱使人们寻求替代品,节约利用、循 稀缺性 环使用,提高资源利用率;会因经济价值上升,驱使人们寻求新的储量, 寻找增产方法 2.自然资源的质量与人类活动的关系 特征 与人类活动的关系 质量有优劣高 在一定技术水平条件下,只有质量达到一定标准才能被人类利 低之分 用 ①质量高的自然资源是有限的,会造成局部或整体上供给不足; ②质量较高的自然资源会因人类过度开发造成质量下降,高质 质量用一定指 量自然资源减少;③随着技术的进步,人类可以有能力利用质量 标刻画 较低的自然资源,或者提高自然资源的质量,从而控制经济和环 境成本 开发成本有差 ①利用高质量的自然资源可以降低经济和环境成本;②利用低 异 质量的自然资源会增加经济成本和环境成本;③不同质量的自然资源可以满足人类不同的需求,人类应该根据用途合理选择 不同质量的自然资源 3.自然资源的空间分布特征与人类活动的关系 空间分布特征 与人类活动的关系 ①可再生资源分布具有地带性规律;②矿产资源分布具有地 不均匀,但有规律 质规律,为人类寻找自然资源提供了依据 ①影响区域经济生产方式(如种植业与畜牧业的差异);②某 分布的空间差异导 种自然资源高度富集,成为带动区域发展的战略优势(如中 致社会经济发展产 东的石油、中国的稀土);③自然资源组合较好,区域会优先、 生区域差异 较快地发展(如古文明都发源于水土配合好的区域) 分布不均成为区域 ①一些资源在不同区域或国家之间直接流动(如我国的南水 间相互联系的动力 北调、中东地区的石油贸易);②有些资源通过产品贸易间接 和前提 流动(如农产品贸易可以实现水资源、土地资源的再分配) INCLUDEPICTURE "E:\\2024\\课件\\2025版 创新设计 高考总复习 地理 人教 版(鲁京琼……)\\不用\\真题感悟.TIF" \* MERGEFORMATINET [典例] (2020·海南卷)读“世界永久性草地和牧场面积前十位的国家表”(2000年), 完成下列问题。 (单位:万公顷) 排序 国家 面积 排序 国家 面积 1 澳大利亚 40 550 6 沙特阿拉伯 17 000 2 中国 40 000 7 阿根廷 14 200 3 美国 23 925 8 蒙古 11 715 4 巴西 18 500 9 苏丹 11 000 5 哈萨克斯坦 18 233 10 俄罗斯 8 997 (资料来源:联合国粮食及农业组织数据库) (1)与澳大利亚、中国等国家相比,俄罗斯永久性草地和牧场面积比重较小的根本 原因是( ) A.海拔高 B.降水多 C.寒流影响范围广 D.纬度高 (2)某乳企计划在沙特阿拉伯兴建驼奶基地,其生产用水最可能的来源是( ) A.人工降雨 B.修建水库C.海水淡化 D.跨流域调水 INCLUDEPICTURE "E:\\2024\\课件\\2025版 创新设计 高考总复习 地理 人教 版 ( 鲁 京 琼 … … ) \\ 不 用 \\ 关 键 能 力 提 升 .tif" \* MERGEFORMATINET INCLUDEPICTURE "E:\\2024\\课件\\2025版 创新设计 高考总复习 地理 人教 版(鲁京琼……)\\不用\\L189.TIF" \* MERGEFORMATINET 答案 (1)D (2)C INCLUDEPICTURE "E:\\2024\\课件\\2025版 创新设计 高考总复习 地理 人教 版(鲁京琼……)\\不用\\变式训练.TIF" \* MERGEFORMATINET (2024·山东泰安期末)下图为“我国东北地区某自然资源空间分布图”。据此完成1 ~2题。 INCLUDEPICTURE "E:\\2024\\课件\\2025版 创新设计 高考总复习 地理 人教 版(鲁京琼……)\\不用\\c495.tif" \* MERGEFORMATINET1.该自然资源可能是( ) A.耕地 B.湿地 C.草地 D.森林 答案 B 解析 读图可知,该自然资源主要分布在松嫩平原、辽河平原、三江平原等地势低 平地区,分布区地势较低平,排水不畅;纬度高,气温低,蒸发弱,加之冻土发育, 水分不易下渗,最可能是湿地资源,故选B。 2.该自然资源分布区自然环境共同特点是( ) A.地形平坦,土壤肥沃 B.山地绵延,树种丰富 C.地势坦荡,气候干冷 D.水源充足,生物多样 答案 D 解析 结合上题分析可知,该自然资源为湿地,湿地水源充足,生物多样性丰富, D正确;湿地分布区土壤不一定肥沃(如图中最北部漠河一带土壤欠发育),A错; 湿地多分布在地势低平,排水不畅的地区,B错;湿地分布区地势低平,气候湿冷, C错。 INCLUDEPICTURE "E:\\2024\\课件\\2025版 创新设计 高考总复习 地理 人教 版(鲁京琼……)\\不用\\课堂巩固精练.TIF" \* MERGEFORMATINET (2024·天津模拟)下图示意世界能源消费的转型过程,①②③④为不同的能源类型。 完成1~2题。 INCLUDEPICTURE "E:\\2024\\课件\\2025版 创新设计 高考总复习 地理 人教 版(鲁京琼……)\\不用\\C496.TIF" \* MERGEFORMATINET1.第二次能源转型是( ) A.木柴向煤炭转型 B.木柴向石油转型 C.煤炭向油气转型 D.煤炭向核能转型 答案 C 解析 由材料及所学知识可知,当前世界能源消费的主体仍是石油、天然气,而第 二次能源转型时间为1900年至1980年左右,故为煤炭向油气转型,C正确。 2.未来世界能源消费转型( ) A.不利于维护世界能源安全 B.可改善能源分布不均状况 C.有利于推动传统能源的发展 D.有利于保护生态环境 答案 D 解析 由图可知,未来世界能源消费转型是向新能源转型,而新能源一般具有可 再生、无污染的特点,有利于保护生态环境,D正确;使用新能源可减缓油气、煤炭 等非可再生能源枯竭的速度,有利于维护世界能源安全,A错误;新能源如风能、 太阳能等在世界上分布不均且不稳定,B错误;发展新能源会减少传统能源的使 用,C错误。 3.(2022·福建卷)阅读材料,完成下列问题。 为了提高贵州省高原峡谷喀斯特地貌区多种自然资源的利用效率,某科研团队设 计了一种新型太阳能热水器(下图),新增了带有出水孔的反射镜面面板、雨水接水 板和集水管等。 INCLUDEPICTURE "E:\\2024\\课件\\2025版 创新设计 高考总复习 地理 人教 版(鲁京琼……)\\不用\\C498.TIF" \* MERGEFORMATINET根据当地自然条件,结合新型太阳能热水器的新增设计,分析其如何提升自然资 源的利用效率。(10分) 答案 地处贵州省高原峡谷,日照时间较短,且阴雨天气较多,到达地面的太阳辐 射少;该热水器反射镜面面板使太阳能集热管背光一侧获得更多太阳辐射,提高 太阳能利用率;喀斯特地貌区地面多裂隙,地表水易渗漏,该热水器反射镜面面板 有出水孔,通过雨水接水板和集水管接收雨水,提高水资源利用效率。 解析 根据当地自然条件,结合新型太阳能热水器的新增设计,着重分析当地自 然环境如何影响太阳辐射和新设计有何作用。由材料可知,试验地地处我国西南 地区贵州省高原峡谷,虽然纬度较低,但是由于地形落差大,山高谷深,日照时间 较短,且西南山区阴雨天气较多,到达地面的太阳辐射总量较少。西南地区多喀斯 特地貌,虽然降水条件较丰富,但是地面多裂隙,地表水易渗漏,使得地表水存储 较少,可利用水资源并不充足。同时,由图可得,新型太阳能热水器的新增设计有: 反射镜面面板、反射镜面面板有出水孔、雨水接水板和集水管四个部件,作用于太 阳辐射和大气降水两方面。反射镜面面板通过将缝隙处漏下的太阳辐射反射回太 阳能集热管,使太阳能集热管背光一侧获得更多太阳辐射,提高太阳能利用率;反 射镜面面板有出水孔,通过雨水接水板和集水管接收雨水,充分利用屋顶空间,将 大气降水储存起来,供日常生活生产使用,提高水资源利用效率。 课时作业 (2024·湖北武汉一模)青海省坚持生态优先,绿色发展,着力先行先试国家清洁能 源示范省建设,打造国家清洁能源产业高地。截至2022年6月底,青海全省清洁 能源装机占比达90.36%。2020年底,一条“绿电大通道”——青海至河南800千 伏特高压直流工程正式投运。来自高原的清洁能源,源源不断地输送至中部多个省份。据此完成1~3题。 1.目前青海省开发的清洁能源主要是( ) A.风能、天然气 B.风能、太阳能 C.核能、太阳能 D.水能、天然气 答案 B 解析 青海省位于青藏高原,海拔高,大气稀薄,大气对太阳辐射的削弱作用弱, 因此太阳能资源丰富,目前开发较多。由于海拔较高,地势高亢开阔,对风的阻挡 作用小,风能资源丰富,目前风能资源开发较广泛;青海省深居内陆,水能资源相 对开发较少;我国核能资源开发均较少,且核能开发一般需要大量水资源进行冷 却,因此一般在沿海地区较多;青海省天然气资源较为丰富,但由于地质构造较为 复杂,探井钻探难度大,目前开发较少。 2.青海省大力发展清洁能源产业的优势是( ) A.劳动力丰富 B.资源禀赋好 C.科学技术发达 D.资金、技术雄厚 答案 B 解析 青海省位于青藏高原地区,地广人稀,劳动力资源不丰富。受地形和气候影 响,当地多太阳能、风能等清洁能源,因此资源禀赋好。青海省位于西部,经济较为 落后,因此资金并不雄厚,且科学技术较为落后。 3.助力青海省打造国家清洁能源产业高地的措施有( ) ①积极发展高端服务业 ②实施水光风能多能互补 ③延长光伏制造产业链 ④ 优化智能电网综合调配 A.①②③ B.①②④ C.①③④ D.②③④ 答案 D 解析 清洁能源产业属于新兴工业,其在青海省发展的优势主要是资源丰富,而 发展高端服务业对于资源的要求较低,对市场、技术、交通等要求较高,因此对于 助力青海省打造国家清洁能源产业高地关系不大,①错误;由于风能、太阳能等具 有不稳定性,实施水光风能多能互补可以确保青海省的能源供应稳定,②正确;延 长光伏制造业的产业链,可以提高附加值,促进当地经济发展,利于青海省打造国 家清洁能源产业高地,③正确;优化智能电网综合调配,利于青海省剩余电能资源向外供应,面向全国,有助于青海省打造国家清洁能源产业高地,④正确。 (2021·辽宁卷)墨西哥拥有丰富的石油和天然气资源,但石油加工能力弱。2010年 以来,墨西哥天然气消费量超过生产量,缺口逐年扩大,一半以上需从美国进口。 目前墨西哥逐渐用天然气替代石油作为发电的主要燃料,并大力提高可再生能源 的份额。下图为墨西哥及周边地区地理要素分布图。据此完成4~5题。 INCLUDEPICTURE "E:\\2024\\课件\\2025版 创新设计 高考总复习 地理 人教 版(鲁京琼……)\\不用\\C543.TIF" \* MERGEFORMATINET 4.墨西哥用天然气替代石油作为发电的主要燃料是由于( ) ①天然气从美国进口价格较低 ②天然气发电比石油清洁 ③天然气远景储量比 石油更大 ④天然气开采比石油容易 A.①② B.①④ C.②③ D.③④ 答案 A 解析 墨西哥与美国邻近,天然气从美国进口价格较低,①正确;与石油相比,天 然气更清洁,②正确;由材料可知,墨西哥拥有丰富的石油和天然气资源,但无法 判断天然气远景储量比石油更大,③错误;天然气开采难度更大,④错误。A正确。 5.墨西哥可再生能源主要分布在图中椭圆形区域的是( ) A.水能 B.风能 C.太阳能 D.生物能 答案 C 解析 图中椭圆形区域受副热带高气压控制的时间长,晴天多,太阳辐射强,太阳 能丰富,C正确;该区域受副热带高气压控制的时间长,风力较小,降水较少,植被稀疏,水能、风能、生物能不丰富、A、B、D错误。故选C。 6.阅读图文材料,完成下列问题。(16分) 锡是一种银白色金属,具有强光泽,质软有延展性、化学性质稳定,抗腐蚀、易熔, 摩擦系数小,锡盐无毒,因此锡和锡合金在现代国防、现代工业、尖端科学技术和 人类生活中得到了广泛的应用。马来西亚曾是世界产锡大国,因过度开采,产量逐 年减少。数据显示,2016年,马来西亚从印度尼西亚、澳大利亚、中国、玻利维亚、 巴西和非洲等地进口了25 901吨锡精矿用于冶炼锡金属,并大量出口到日本、韩 国、欧盟等国家和地区。下图为马来西亚区域图。 INCLUDEPICTURE "E:\\2024\\课件\\2025版 创新设计 高考总复习 地理 人教 版(鲁京琼……)\\不用\\L191.tif" \* MERGEFORMATINET (1)根据有色金属锡的特点,说明马来西亚大量出口锡至日本、韩国和欧盟等国家 和地区的原因。(4分) (2)材料中提到马来西亚在锡矿资源枯竭的背景下继续依靠进口发展金属锡冶炼。 简述马来西亚在锡矿产业可持续发展过程中还可以采取的措施。(6分) (3)简述马来西亚锡矿产业发展可能对环境造成的影响。(6分) 答案 (1)矿产资源的分布具有地域性,日本、韩国、欧盟等国家和地区锡矿资源短 缺;金属锡物理性质和化学性质独特,锡和锡合金应用领域广阔,国际市场需求量 大。 (2)依托锡矿及锡产品发展现代国防、现代工业、高新技术产业;发挥锡矿冶炼原有 优势,继续扩大锡及其产品生产规模;出口技术、人才,将产业转移到锡矿资源更 丰富的国家或地区。 (3)矿山开采可能破坏地表植被,造成水土流失、生物多样性锐减等生态问题;矿山 开采影响当地地质构造的稳定性,可能诱发滑坡、崩塌等地质灾害;有色金属冶炼 造成大气污染、水污染、土壤污染等环境污染问题。解析 第(1)题,矿产资源分布的地域性及其有用性导致矿产拥有国家与需求矿产 国家之间的经贸往来。第(2)题,马来西亚拥有锡矿冶炼技术,锡矿用途广、市场需 求大,导致马来西亚对其始终常抓不懈。为促进其产业可持续性发展,一方面依托 技术扩大生产规模,同时考虑出口技术进行产业转移。第(3)题,锡矿开采会对地表 生态、地质等方面造成影响,并可能导致环境污染。