当前位置:首页>文档>第一章 课时68 资源安全对国家安全的影响_9.2025地理总复习_2025年新高考资料_一轮复习_2025高考大一轮复习讲义+练习(完结)_2025高考大一轮复习地理(人教版)_2025大一轮复习讲义

第一章 课时68 资源安全对国家安全的影响_9.2025地理总复习_2025年新高考资料_一轮复习_2025高考大一轮复习讲义+练习(完结)_2025高考大一轮复习地理(人教版)_2025大一轮复习讲义

  • 2026-04-12 20:24:36 2026-03-17 01:40:20

文档预览

第一章 课时68 资源安全对国家安全的影响_9.2025地理总复习_2025年新高考资料_一轮复习_2025高考大一轮复习讲义+练习(完结)_2025高考大一轮复习地理(人教版)_2025大一轮复习讲义
第一章 课时68 资源安全对国家安全的影响_9.2025地理总复习_2025年新高考资料_一轮复习_2025高考大一轮复习讲义+练习(完结)_2025高考大一轮复习地理(人教版)_2025大一轮复习讲义
第一章 课时68 资源安全对国家安全的影响_9.2025地理总复习_2025年新高考资料_一轮复习_2025高考大一轮复习讲义+练习(完结)_2025高考大一轮复习地理(人教版)_2025大一轮复习讲义
第一章 课时68 资源安全对国家安全的影响_9.2025地理总复习_2025年新高考资料_一轮复习_2025高考大一轮复习讲义+练习(完结)_2025高考大一轮复习地理(人教版)_2025大一轮复习讲义
第一章 课时68 资源安全对国家安全的影响_9.2025地理总复习_2025年新高考资料_一轮复习_2025高考大一轮复习讲义+练习(完结)_2025高考大一轮复习地理(人教版)_2025大一轮复习讲义

文档信息

文档格式
docx
文档大小
0.699 MB
文档页数
5 页
上传时间
2026-03-17 01:40:20

文档内容

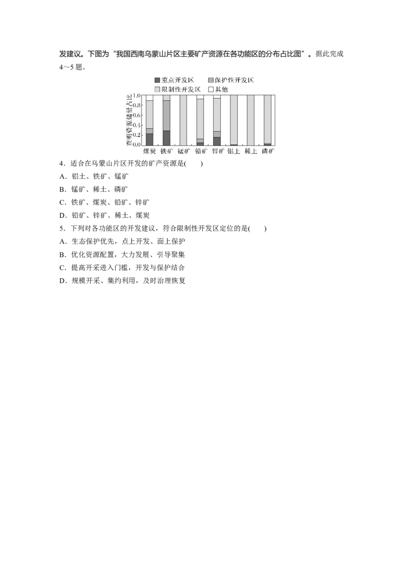
课时 68 资源安全对国家安全的影响 1.资源安全问题 (1)资源安全 ①概念:一个国家或地区乃至整个人类社会发展所需的____________能够得到______的状态 或能力。 ②表现:资源的供给不低于各种用途所需的______数量和质量要求,且是稳定、及时和经济 的;资源的开发和使用不破坏自然环境的____服务功能。 (2)资源安全问题 ①概念:因资源________少于资源________而造成的资源短缺______某个限度,就会发生资 源安全问题。 ②危害:影响______、经济和______的正常运行,甚至危及人类社会赖以生存的物质基础, 引发灾难性的后果。 ③影响因素 概念解读 资源安全 资源安全包括两个方面:资源数量、质量能够满足一个区域或国家生产、生活需求,供需关 系平衡;资源的开发、生产、运输、消费多个环节都安全。由此还衍生出生产安全、运输安 全、经济安全、环境安全等相关的安全。 回归教材 读选择性必修3教材第23页图2.2“资源供需的平衡与失衡示意”,思考什么 情况会导致人类对资源的需求增加,什么情况会导致人类的资源供给减少? ______________________________________________________________________________ ______________________________________________________________________________ 2.资源安全问题影响国家安全 (1)国家安全类别 常规国家安全 ______安全和军事安全 非常规国家安全 ______安全、环境安全、________安全、文化安全、科技安全等 (2)资源安全问题对国家安全的影响及保障途径思考 资源安全问题是怎样影响国家安全的? ______________________________________________________________________________ ______________________________________________________________________________ 拓展延伸 水资源短缺 (1)我国水资源短缺的两种类型 类型 原因及表现 主要分布地区 当地水资源总量少;随着人口的持续增长和社会 我国北方大多数地 资源型缺水 经济高速发展,人类对水资源的需求量越来越大 区、西北地区 随着废弃物排放的增多,水体污染日益严重,可 水质型缺水 我国南方地区 用水资源逐渐减少 (2)水资源短缺的原因及解决措施 原因 解决措施 水资源空间分布不均 跨流域调水 自然原因 水资源时间分配不均 修建水库 气候干旱,水资源总量少 节约用水 人口剧增,工农业生产规模扩 控制人口增长,节约用水,提高水资源 大,水资源需求量增大 利用率 人为原因 节约、合理利用水资源,水资源市场 水资源浪费严重 化,加强管理保护水资源,防治水污染,净化污水, 水资源污染严重 立法保护 (2023·6月浙江选考)战略性矿产资源的安全稳定是国内经济循环畅通的保障,也是国 内国际相互融合的关键。我国钨矿资源丰富,却将其列入战略性矿产资源。下图为“某企业 钨全产业链内涵框架示意图”。完成1~2题。 1.将钨列入战略性矿产资源的主要原因是( ) A.防止钨矿供应链发生中断 B.主导钨矿上游产业链发展 C.推进钨矿产业链绿色发展 D.实现钨资源领域安全可控 2.位于该企业钨全产业链下游的是( ) A.钨制品的回收 B.钨矿石的贸易 C.钨矿勘探采掘 D.钨矿冶炼加工 [关键信息点拨] 将钨矿列入战略性矿产资源,其开采受到国家严格管控,可以实现钨资源领域 ____________。 读图可知,钨全产业链包括上游的______________、中游的加工制造、下游的产品消费和 ____________。 [地理原理再现] 保障资源安全的途径 写出保障资源安全的途径。 ______________________________________________________________________________ ______________________________________________________________________________答案 1.____ 2.____ 考向1 通过“水资源”考查“区域认知” (2023·海南海口模拟)水足迹是指某区域人口在一定时期内消费的所有产品和服务所需要 的水资源数量,下图是“2005~2019年黄河流域不同省区水足迹的影响因素占比分解图”。 据此完成1~3题。 注 人口效应表示人口规模变动,城镇化效应表示城镇人口占总人口的比重,规模效应表示 GDP的变化,禀赋效应表示城镇人均可利用水资源,结构效应表示产业结构,技术效应表 示水资源利用效率。 1.规模效应是水足迹的主要拉动效应。下列能够显著减小黄河流域各省区水足迹的是( ) A.人口效应 B.结构效应 C.城镇化效应 D.技术效应 2.不同省区禀赋效应对水足迹的影响程度差别较大,是由于其( ) A.产业结构差别大,水资源配置状况不同 B.经济水平差别大,水资源限制程度不同 C.距海远近差别大,防洪风险差异明显 D.人口压力差别大,节约用水力度差异大 3.城镇化对水足迹还可起到减小作用,其主要表现为( ) A.大力吸引人口迁入,加快城镇化进程 B.完善城镇水利设施,加强精细化管理 C.吸引产业集聚,扩大非农产业的规模 D.建设美丽乡村,吸引农民工回流 考向2 通过“矿产资源”考查“综合思维” 矿产资源开发功能区划是根据区域矿产资源储量、生态环境的脆弱性、交通基础设施和 工业化发展水平等要素的不同状况进行分区,从而能够针对各功能区特点,提出差别化的开发建议。下图为“我国西南乌蒙山片区主要矿产资源在各功能区的分布占比图”。据此完成 4~5题。 4.适合在乌蒙山片区开发的矿产资源是( ) A.铝土、铁矿、锰矿 B.锰矿、稀土、磷矿 C.铁矿、煤炭、铅矿、锌矿 D.铅矿、锌矿、稀土、煤炭 5.下列对各功能区的开发建议,符合限制性开发区定位的是( ) A.生态保护优先,点上开发、面上保护 B.优化资源配置,大力发展、引导聚集 C.提高开采进入门槛,开发与保护结合 D.规模开采、集约利用,及时治理恢复