当前位置:首页>文档>第一章 课时70 中国的耕地资源与粮食安全_9.2025地理总复习_2025年新高考资料_一轮复习_2025高考大一轮复习讲义+练习(完结)_2025高考大一轮复习地理(人教版)_2025大一轮复习讲义

第一章 课时70 中国的耕地资源与粮食安全_9.2025地理总复习_2025年新高考资料_一轮复习_2025高考大一轮复习讲义+练习(完结)_2025高考大一轮复习地理(人教版)_2025大一轮复习讲义

  • 2026-04-02 12:01:23 2026-03-13 14:45:31

文档预览

第一章 课时70 中国的耕地资源与粮食安全_9.2025地理总复习_2025年新高考资料_一轮复习_2025高考大一轮复习讲义+练习(完结)_2025高考大一轮复习地理(人教版)_2025大一轮复习讲义
第一章 课时70 中国的耕地资源与粮食安全_9.2025地理总复习_2025年新高考资料_一轮复习_2025高考大一轮复习讲义+练习(完结)_2025高考大一轮复习地理(人教版)_2025大一轮复习讲义
第一章 课时70 中国的耕地资源与粮食安全_9.2025地理总复习_2025年新高考资料_一轮复习_2025高考大一轮复习讲义+练习(完结)_2025高考大一轮复习地理(人教版)_2025大一轮复习讲义
第一章 课时70 中国的耕地资源与粮食安全_9.2025地理总复习_2025年新高考资料_一轮复习_2025高考大一轮复习讲义+练习(完结)_2025高考大一轮复习地理(人教版)_2025大一轮复习讲义
第一章 课时70 中国的耕地资源与粮食安全_9.2025地理总复习_2025年新高考资料_一轮复习_2025高考大一轮复习讲义+练习(完结)_2025高考大一轮复习地理(人教版)_2025大一轮复习讲义

文档信息

文档格式
docx
文档大小
0.601 MB
文档页数
5 页
上传时间
2026-03-13 14:45:31

文档内容

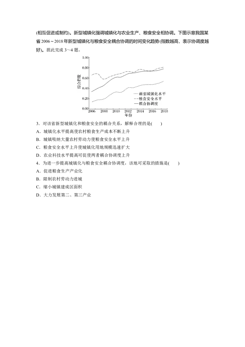
课时 70 中国的耕地资源与粮食安全 1.粮食生产安全的资源基础 (1)粮食安全 ①概念:指保证人们能够及时得到生存和______所需要的足够食物。 ②影响粮食总产量的因素:粮食总产量=耕地面积×单位耕地面积产量;不仅与耕地的数量 和__________有关,还与耕地所在区域的热量、__________和光照等资源的时空配置有关。 概念解读 粮食安全 1992年我国政府提出的粮食安全概念,是指“能够有效地提供全体居民以数量充足、结构 合理、质量达标的包括粮食在内的各种食物”的状态。 (2)我国耕地资源与粮食生产能力的特征 ①______耕地少,后备耕地资源有限。 ②耕地______总体欠佳,退化和________问题严重。 ③耕地空间分布不均,______资源配置不佳。 ④农业______灾害频发,粮食产量年际波动大。 概念解读 耕地的分类 ①水田:指种植水稻等水生农作物的耕地。 ②水浇地:指有水源保证和灌溉设施,种植旱生农作物(含蔬菜)的耕地。 ③旱地:指无灌溉设施,主要靠天然降水种植旱生农作物的耕地。 2.实现粮食安全的途径 (1)生产环节:增加粮食________,基本途径是扩大耕地______和提高单位面积______。 (2)流通环节:通过粮食的跨区调剂,解决粮食生产与消费____________不均衡问题。 (3)进出口环节:充分利用国际粮食市场,是我国保证粮食安全的重要______手段之一。 (4)储备环节:建立粮食储备,其具有救荒、调节国内外粮食______秩序、应对突发事件等 功能。 回归教材 读选择性必修3教材第39页图2.25“1949~2020年中国粮食作物播种面积、粮 食单产与总产量的变化”,指出粮食总产、耕地面积、单位面积产量之间的关系,分析图示 期间我国粮食播种面积、粮食单产与总产量的变化。 _____________________________________________________________________________ _____________________________________________________________________________ 3.未来粮食安全的耕地保障 (1)我国粮食安全面临的主要挑战(2)保障措施 ①确保耕地数量:实行最严格的耕地保护政策,划定具有法律效力的____________,确保耕 地保有量在18亿亩以上,确保基本农田不低于15.6亿亩。 ②提高耕地质量:实施____________建设以及耕地质量保护与提升、耕地重金属污染治理、 水土保持与坡耕地改造、高效节水等一系列____________保护项目。 ③保障耕地生态安全。 1.我国耕地短缺的原因及表现 原因 表现 时空分布不均 耕地空间分布不均,水土资源配置不佳 自然原因 自然灾害 地质灾害、气象灾害、水文灾害等造成耕地减少 人口数量增大 人均耕地减少 农业面源污染,工业“三废”造成土壤污染,使我国耕地的 土壤污染 质量和数量呈下降趋势 不合理利用导致的水土流失、荒漠化、次生盐碱化、沼泽化 土地退化 等问题 人为原因 非农业建设用 城市、能源、交通、水利、工矿建设用地等均不断增加 地增加 生态退耕 退耕还林、退耕还草、退耕还湖等措施的实施 浪费现象严重 闲置抛荒、占而不用 生产条件较差的耕地转变为草场,发展畜牧业;山地丘陵区 农业结构调整 耕地转变为林果用地;地势低洼区耕地转变为鱼塘 2.我国粮食安全的保障措施 措施 途径 确保耕地 守住18亿亩耕地红线,划定永久基本农田。完善耕地占补平衡政策,开 数量 发后备耕地资源 提高耕地 广泛应用农业科学技术,推进生态农业和绿色生产;加强粮食作物丰产 质量 技术的应用;推进农田综合整治,加快改造中、低产田,建设高产稳产、旱涝保收、节水高效的规范化农田 防治耕地 合理使用化肥、农药和农膜,大力推广有机肥料、生物农药、可降解农 污染 膜,减少对耕地和灌溉水源的污染,切实保障耕地安全 提高耕种 调动和保护好主产区农民种粮积极性和主产区政府抓粮积极性;发展多 积极性 种形式的农业规模经营 加强农业 重点推广地理信息技术,建立粮食病虫害预警与监控体系,提高农业气 科技应用 象灾害预测和监测水平,为粮食生产保驾护航 其他措施 粮食储备、跨区域调配、加大扶持力度、国际贸易等 (2022·湖南地理)阅读图文材料,完成下列要求。(14分) 耕地由种植粮食作物改种非粮食作物的现象,称为种植结构 “ 非粮化 ” 。山东省种植 结构 “ 非粮化 ” 率空间差异明显, 2019 年鲁中南山地丘陵地区明显高于鲁西北平原地区 。 下图示意山东省山脉水系分布。 (1)鲁中南山地丘陵地区与鲁西北平原地区的种植结构“非粮化”率差异大,请从自然条件 方面作出解释。(4分) (2)近年来,山东省部分经济发达地区种植结构“非粮化”类型逐渐由棉花、花生、蔬菜向 蔬菜、瓜果转变,说明其变化的主要原因。(4分) (3)为保障粮食安全,请提出防止耕地种植结构“非粮化”的合理建议。(6分) [关键信息点拨] 种植结构“非粮化”是把种植粮食的耕地改种经济作物,目的是获取较高的______效益, 对提高农民个人的经济收入是有利的,但对国家来说,却减少了粮食的种植面积,减少了粮 食生产总量,容易导致______安全问题。 山地丘陵地区比平原地区的地形崎岖、多样,水、热、土组合______,形成了多样的环 境,适宜不同作物的生长。读图可知,与鲁西北平原地区相比,鲁中南山地丘陵地区距离海洋较______,东南风从海 洋带来暖湿空气可以在山区形成较多______。 [地理原理再现] 保障粮食安全的措施 简述实现粮食安全的途径。 _______________________________________________________________________________ _______________________________________________________________________________ 答案 (1)_______________________________________________________________________ _______________________________________________________________________________ (2)_____________________________________________________________________________ _______________________________________________________________________________ (3)_____________________________________________________________________________ _______________________________________________________________________________ 考向1 通过“粮食安全问题产生的原因”考查“区域认知” 下图为“江苏省1990~2009年人均粮食地域格局变化图”。读图回答1~2题。 1.①②③④⑤⑥地区从一般余粮区变为重要余粮区的主要原因是( ) A.耕地面积大量增加 B.农业科技投入增加 C.农田水利设施完善 D.农业人口数量增加 2.⑦地区由基本自给区变为严重缺粮区的主要原因是( ) A.温室效应,气候恶化 B.外出务工,粮田荒芜 C.粮食价格大幅增长 D.城市发展,耕地减少 考向2 通过“粮食安全问题的解决措施”考查“综合思维” (2023·湖南长沙雅礼中学期末)在人地关系中,城镇化进程与粮食安全存在着耦合关系(相互促进或制约)。新型城镇化强调城镇化与农业生产、粮食安全相协调。下图示意我国某 省2006~2018年新型城镇化与粮食安全耦合协调的时间变化趋势(指数越高,表示协调度越 好)。据此完成3~4题。 3.对该省新型城镇化和粮食安全的耦合关系,解释合理的是( ) A.城镇化水平提高使农村粮食生产成本不断上升 B.城镇吸纳大量农村劳动力使粮食安全水平上升 C.粮食安全水平上升使城镇化用地规模迅速扩大 D.农业科技水平提高可促使两者耦合协调度上升 4.为进一步提高城镇化与粮食安全耦合协调度,该地可采取的措施是( ) A.促进粮食生产产业化 B.限制农村劳动力进城 C.缩小城镇建成区面积 D.大力发展第二、第三产业