当前位置:首页>文档>2023年高考地理二轮复习(全国版)第2部分热点聚焦热点2耕地与粮食安全_9.2025地理总复习_赠品通用版(老高考)复习资料_二轮复习_2023年高考地理二轮复习讲义+课件(全国版)

2023年高考地理二轮复习(全国版)第2部分热点聚焦热点2耕地与粮食安全_9.2025地理总复习_赠品通用版(老高考)复习资料_二轮复习_2023年高考地理二轮复习讲义+课件(全国版)

  • 2026-04-06 11:55:39 2026-03-11 18:43:58

文档预览

2023年高考地理二轮复习(全国版)第2部分热点聚焦热点2耕地与粮食安全_9.2025地理总复习_赠品通用版(老高考)复习资料_二轮复习_2023年高考地理二轮复习讲义+课件(全国版)
2023年高考地理二轮复习(全国版)第2部分热点聚焦热点2耕地与粮食安全_9.2025地理总复习_赠品通用版(老高考)复习资料_二轮复习_2023年高考地理二轮复习讲义+课件(全国版)
2023年高考地理二轮复习(全国版)第2部分热点聚焦热点2耕地与粮食安全_9.2025地理总复习_赠品通用版(老高考)复习资料_二轮复习_2023年高考地理二轮复习讲义+课件(全国版)
2023年高考地理二轮复习(全国版)第2部分热点聚焦热点2耕地与粮食安全_9.2025地理总复习_赠品通用版(老高考)复习资料_二轮复习_2023年高考地理二轮复习讲义+课件(全国版)
2023年高考地理二轮复习(全国版)第2部分热点聚焦热点2耕地与粮食安全_9.2025地理总复习_赠品通用版(老高考)复习资料_二轮复习_2023年高考地理二轮复习讲义+课件(全国版)
2023年高考地理二轮复习(全国版)第2部分热点聚焦热点2耕地与粮食安全_9.2025地理总复习_赠品通用版(老高考)复习资料_二轮复习_2023年高考地理二轮复习讲义+课件(全国版)

文档信息

文档格式
docx
文档大小
1.152 MB
文档页数
6 页
上传时间
2026-03-11 18:43:58

文档内容

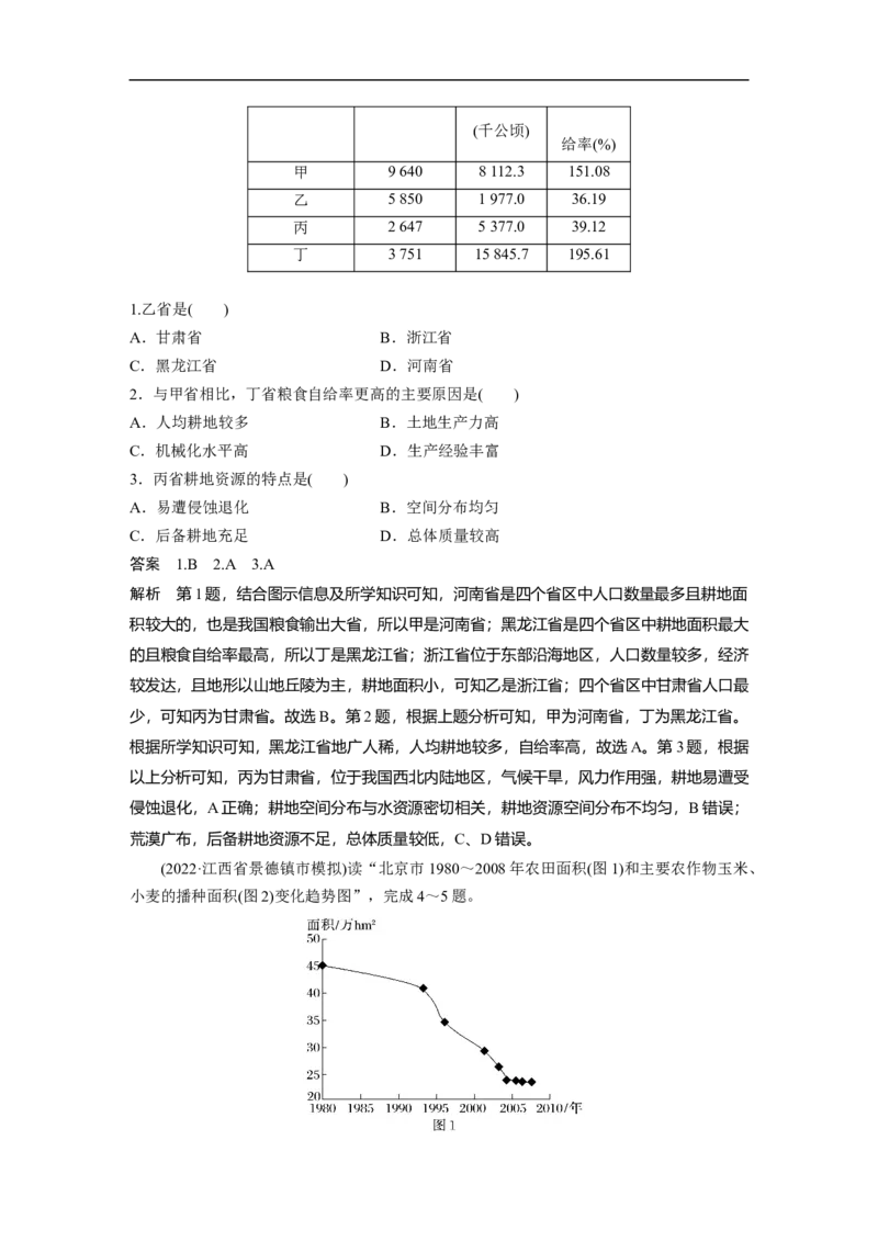
(2022·6月浙江选考)阅读材料,完成下列问题。(10分) 材料一 图1为中南半岛所在国家耕地面积占国土面积比重图。 材料二 图2为中南半岛主要稻米生产国2001~2020年稻米产量和单产年均变化统计图。 (1)中南半岛所在国家中耕地面积占国土面积比重最高的是 ,简述其主要自然 原因。(3分) (2)2001~2020年,图2中国家稻米产量的变化趋势是 ,简析其原 因。(3分) (3)从耕地资源的角度,说明图2中国家稻米生产对确保我国粮食安全的启示。(4分) [关键能力] (1)获取和解读地理信息的能力 获取信息 解读信息 ①地理位置:中南半岛大致位于 ①泰国位于中南半岛中南部、河流 图像信息 0°至23.5°N,95°E至105°E之间, 下游冲积平原,受河流与地形影 气候类型是热带季风气候。 响,耕地面积占国土面积比重高。②泰国、缅甸、老挝三国,稻米产 ②图例:山脉、河流、耕地比 量年均变化高于单产,说明增量主 重。 要受耕地面积增长的影响;马来西 ③2001~2020年,五国稻米产量 亚和越南稻米产量年均变化低于单 和单产均呈增长趋势 产,说明增量主要受单产影响 (2)描述和阐释地理事物的能力 从自然地理要素的角度分析耕地比重高的原因;结合中国耕地的现状,分析保障我国粮食安 全的途径。 [设问分析] 读图1可知“耕地面积占国土面积比重最高的国家”,然后结合地形、 第(1)题 水文等自然地理要素分析原因 读图2可知“稻米产量的变化趋势”,比较图中稻米产量和单产变化差 第(2)题 异,分析成因 限定词“从耕地资源的角度”,从耕地数量、耕地质量等角度分析保障 第(3)题 我国粮食安全的途径 答案 (1) 泰国 境内河网密集,平原面积大。 (2) 增加 主要是单产提高,部分国家播种面积增加。 (3)土地整理和生态修复,增加耕地面积和提高耕地质量;严格保护耕地,控制非农占用; 加大技术投入,提升耕地综合生产能力。(本大题答案仅供参考) 1.我国耕地资源相对短缺的原因及表现 原因 表现 耕地比重小 山地面积大,耕地比重小,耕地约占总土地面积的14% 耕地空间分布 自 东南部占88.4%,西北部占11.6% 不均 然 中、低产田比 原 高、中、低产田各占1/3左右 重大 因 自然灾害造成 地质灾害、气象灾害、水文灾害等造成耕地损毁 耕地减少 人 人口数量增多 人均耕地减少 为 农业面源污染、工业“三废”造成土壤污染,使我国耕地 土壤污染 原 的质量呈下降趋势 因 土地退化 包括水土流失、荒漠化、次生盐碱化、沼泽化等非农业建设用 城市、能源、交通、水利、工矿建设用地均不断增加 地增加 人口数量增多 人均耕地减少 生态退耕 退耕还林、退耕还草、退耕还湖等措施的实施 浪费现象严重 闲置抛荒、占而不用 生产条件较差的耕地改变为草场,发展畜牧业;山地丘陵 农业结构调整 区耕地转变为果林用地;地势低洼区耕地转变为鱼塘 2.我国粮食安全的保障措施及途径 (1)生产环节 保障措施 途径 确保耕地 ①严格控制人口过快增长;②坚守18亿亩耕地红线;③完善 数量 耕地占补平衡政策 ①用养结合,防治水土流失,改良培肥;②发展节水灌溉技 提高耕地 术;③加强低产坡耕地的改造;④大力推广保护性耕作技术, 质量 改善耕层结构 保障 提高土地 ①调动和保护好主产区农民种粮积极性和主产区政府抓粮积极 粮食 利用率 性;②发展多种形式的农业规模经营 数量 ①扩大农田灌溉面积与防洪排涝,平整土地;②培育推广粮食 提高粮食 高产品种,研发综合配套栽培技术;③大力施用农家有机肥和 单产 增施化肥;④使用农药防治病虫害;⑤提高耕地复种指数,发 展间作套种;⑥发展农业机械化 其他措施 加大政府扶持力度 提高耕地 ①实施高标准农田建设;②减少工业、生活污染土壤,加强耕 保障 质量 地重金属污染的治理;③增施有机肥,加强生物防治病虫害 粮食 保障耕地 ①推广绿色安全标准化种植技术;②提高优质粮食品种种植面 质量 生态安全 积;③发展智慧农业;④加强综合治理,改善环境安全 (2)流通环节:进行粮食跨区域调剂,解决我国粮食生产与消费空间配置不均衡问题。 (3)进出口环节:加强国际贸易,充分利用国际粮食市场,是我国保障粮食安全的重要辅助 手段之一。 (4)储备环节:建立粮食储备库,对国家的粮食安全起着“蓄水池”的作用,还具有调节国 内外粮食市场秩序、应对突发事件等功能。 (2022·重庆八中期末)下表为“2020年黑龙江、河南、浙江、甘肃四省的人口、耕地面 积和粮食自给率(粮食生产量占粮食消费量的比率)统计表”。据此完成1~3题。 省级行政区 人口(万人) 耕地面积 粮食自(千公顷) 给率(%) 甲 9 640 8 112.3 151.08 乙 5 850 1 977.0 36.19 丙 2 647 5 377.0 39.12 丁 3 751 15 845.7 195.61 1.乙省是( ) A.甘肃省 B.浙江省 C.黑龙江省 D.河南省 2.与甲省相比,丁省粮食自给率更高的主要原因是( ) A.人均耕地较多 B.土地生产力高 C.机械化水平高 D.生产经验丰富 3.丙省耕地资源的特点是( ) A.易遭侵蚀退化 B.空间分布均匀 C.后备耕地充足 D.总体质量较高 答案 1.B 2.A 3.A 解析 第1题,结合图示信息及所学知识可知,河南省是四个省区中人口数量最多且耕地面 积较大的,也是我国粮食输出大省,所以甲是河南省;黑龙江省是四个省区中耕地面积最大 的且粮食自给率最高,所以丁是黑龙江省;浙江省位于东部沿海地区,人口数量较多,经济 较发达,且地形以山地丘陵为主,耕地面积小,可知乙是浙江省;四个省区中甘肃省人口最 少,可知丙为甘肃省。故选B。第2题,根据上题分析可知,甲为河南省,丁为黑龙江省。 根据所学知识可知,黑龙江省地广人稀,人均耕地较多,自给率高,故选A。第3题,根据 以上分析可知,丙为甘肃省,位于我国西北内陆地区,气候干旱,风力作用强,耕地易遭受 侵蚀退化,A正确;耕地空间分布与水资源密切相关,耕地资源空间分布不均匀,B错误; 荒漠广布,后备耕地资源不足,总体质量较低,C、D错误。 (2022·江西省景德镇市模拟)读“北京市1980~2008年农田面积(图1)和主要农作物玉米、 小麦的播种面积(图2)变化趋势图”,完成4~5题。4.2005年后北京市农田面积减少趋势放缓,是因为( ) A.退耕还林还草 B.围湖造田 C.国家对耕地保护力度加强 D.市民“屋顶农场”增加 5.1980~2008年北京市玉米种植面积减少幅度明显小于冬小麦,主要考虑的是( ) A.冬小麦耗水量较大 B.玉米生长期短于冬小麦 C.冬小麦单产低于玉米 D.气候变化影响冬小麦种植 答案 4.C 5.A 解析 第4题,退耕还林还草会加速耕地面积减少,A错误;围湖造田可能增加农田面积, 但北京位于华北平原,湖泊少,能围湖造田面积有限,B错误;随着国家对耕地保护力度的 加强,严格限制了耕地资源转为其他用地,C正确;市民“屋顶农场”对耕地面积大小影响 不大,D错误。第5题,1980~2008年北京市玉米种植面积减少幅度明显小于冬小麦,主 要是因为冬小麦春季返青对水资源需求量大,华北平原春旱严重,春季水资源紧缺,种植小 麦会加剧水资源的紧缺状况。而北京玉米主要是夏播玉米,农作物生长季节水源供应相对充 足,玉米种植面积减少幅度小,A正确。 (2022·山东临沂期末)为确保粮食安全,我国必须严守18亿亩耕地红线。“藏粮于地” 是保障我国粮食安全的重要战略举措之一。“藏粮于地”强调可持续的粮食生产能力,即在 粮食供过于求时,轮作、休耕一部分土地;在粮食紧缺时,再将这部分土地迅速用于粮食生 产;这样通过耕地的增加或减少来维持粮食供求的大体平衡。下图示意我国2016年耕地等 级构成。据此完成6~8题。6.与“藏粮于仓”相比,“藏粮于地”会( ) A.提高粮食生产成本 B.减少粮食浪费 C.减少粮食需求量 D.保障粮食供给 7.目前,我国实施“藏粮于地”战略的关键是( ) A.提高农业科技 B.实行精耕细作 C.扩大耕地面积 D.提高耕地质量 8.黄淮海平原土地盐碱化地区实现“藏粮于地”的有效措施是( ) A.发展台田 B.种植绿肥 C.轮作休耕 D.扩建大棚 答案 6.B 7.D 8.A 解析 第6题,与“藏粮于仓”相比,“藏粮于地”是根据粮食供给状况对土地进行轮作、 休耕等,可以保护土壤肥力,减少土地退化,减少农药、化肥使用,可以降低粮食生产成本, A错误;粮食仓储中会出现生虫、鼠咬及陈化现象,造成粮食浪费,“藏粮于地” 可以减 少此类粮食浪费,B正确;粮食需求量是由市场决定的,与粮食储藏方式关系不大,C错误; 两种方式都是储藏,都可以保障粮食供给,D错误。第7题,目前,我国实施“藏粮于地” 是根据粮食供给状况对土地进行轮作、休耕等,可以保护土壤肥力,减少土地退化,通过提 高耕地质量保障可持续的粮食生产能力,所以该战略的关键是提高耕地质量,D正确;提高 农业科技和实行精耕细作是“藏粮于技”,A、B错误;“藏粮于地”是着眼现有耕地,提 高耕地质量,不是通过扩大耕地面积保障粮食产量,C错误。第8题,黄淮海平原土地盐碱 化地区实现“藏粮于地”的有效措施是治理盐碱地,发展台田可以控制地下盐分向地表土壤 的迁移,治理土地盐碱化,提高土壤生产能力,A正确;种植绿肥可以增加土壤有机肥,对 盐碱地治理作用不大,B错误; 轮作休耕可以保护土壤肥力,对治理盐碱地作用不大,C 错误;扩建大棚主要用于蔬菜、瓜果生产,粮食生产不适于大棚生产,D错误。