当前位置:首页>文档>第四部分第二章课时71 矿产资源与国家安全_9.2025地理总复习_2025年新高考资料_一轮复习_2025高考大一轮复习讲义+练习(完结)_2025高考大一轮复习地理(湘教版)

第四部分第二章课时71 矿产资源与国家安全_9.2025地理总复习_2025年新高考资料_一轮复习_2025高考大一轮复习讲义+练习(完结)_2025高考大一轮复习地理(湘教版)

  • 2026-04-14 08:02:35 2026-03-14 04:26:59

文档预览

第四部分第二章课时71 矿产资源与国家安全_9.2025地理总复习_2025年新高考资料_一轮复习_2025高考大一轮复习讲义+练习(完结)_2025高考大一轮复习地理(湘教版)
第四部分第二章课时71 矿产资源与国家安全_9.2025地理总复习_2025年新高考资料_一轮复习_2025高考大一轮复习讲义+练习(完结)_2025高考大一轮复习地理(湘教版)
第四部分第二章课时71 矿产资源与国家安全_9.2025地理总复习_2025年新高考资料_一轮复习_2025高考大一轮复习讲义+练习(完结)_2025高考大一轮复习地理(湘教版)
第四部分第二章课时71 矿产资源与国家安全_9.2025地理总复习_2025年新高考资料_一轮复习_2025高考大一轮复习讲义+练习(完结)_2025高考大一轮复习地理(湘教版)
第四部分第二章课时71 矿产资源与国家安全_9.2025地理总复习_2025年新高考资料_一轮复习_2025高考大一轮复习讲义+练习(完结)_2025高考大一轮复习地理(湘教版)
第四部分第二章课时71 矿产资源与国家安全_9.2025地理总复习_2025年新高考资料_一轮复习_2025高考大一轮复习讲义+练习(完结)_2025高考大一轮复习地理(湘教版)
第四部分第二章课时71 矿产资源与国家安全_9.2025地理总复习_2025年新高考资料_一轮复习_2025高考大一轮复习讲义+练习(完结)_2025高考大一轮复习地理(湘教版)
第四部分第二章课时71 矿产资源与国家安全_9.2025地理总复习_2025年新高考资料_一轮复习_2025高考大一轮复习讲义+练习(完结)_2025高考大一轮复习地理(湘教版)
第四部分第二章课时71 矿产资源与国家安全_9.2025地理总复习_2025年新高考资料_一轮复习_2025高考大一轮复习讲义+练习(完结)_2025高考大一轮复习地理(湘教版)
第四部分第二章课时71 矿产资源与国家安全_9.2025地理总复习_2025年新高考资料_一轮复习_2025高考大一轮复习讲义+练习(完结)_2025高考大一轮复习地理(湘教版)

文档信息

文档格式
docx
文档大小
0.792 MB
文档页数
10 页
上传时间
2026-03-14 04:26:59

文档内容

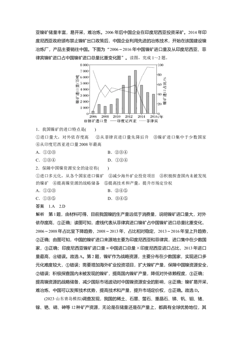
课时 71 矿产资源与国家安全 1.矿产资源及其分类 (1)概念:指经过地质成矿作用形成的,埋藏在地下或出露于地表,具有开发利用价值的矿 物或有用元素的集合体。 (2)分类 依据 类型 产出状态 固态矿产、液态矿产、气态矿产 特性及用途 能源矿产、金属矿产、非金属矿产、水气矿产 2.我国矿产资源概况 特点 表现 我国是世界上矿产资源总量丰富、种类比较齐全的资源大国之一。 种类多,储量丰富 但人均矿产探明储量仅为世界平均水平的58% 贫矿多,富矿少, 我国矿产资源中,少部分品位较高,大部分品位较低;有一半以上 共生矿多 的矿产以共生的形式赋存;矿产利用难度大,开采成本高 煤炭资源主要集中分布在山西、陕西和内蒙古等地;天然气资源多 区域分布广泛,相 分布在我国西部;磷矿、钨矿、锡矿主要分布在南方少数省区。矿 对集中 产资源空间分布与生产力布局不匹配,需要进行远距离运输 3.矿产资源与国家安全 (1)矿产资源与国民经济 ①矿产资源是国民经济和社会发展的物质基础。 ②矿产资源的开发联动效应突出。 (2)矿产资源与国防外交 ①矿产资源是保障国防安全的重要物质基础。 ②推进资源全球化战略的措施:直接进口矿产资源,投资别国的矿产资源开发。 回归教材 读选择性必修3教材第57页“活动”材料,指出磷酸盐矿枯竭了的瑙鲁前途在 哪里? 答案 走多样化道路是唯一出路,可发展旅游业、渔业、加工业等。 4.保障我国矿产资源安全的措施 (1)加大勘查力度,实现“开源”。 (2)健全政策法规,科学“节流”。 (3)完善国家矿产资源战略储备体系。(4)推进资源供给国际化战略。 (5)改善矿区生态环境,提高资源利用效率。 特别提醒 铁矿资源的上、中、下游产业 上游产业是铁矿石开采和分选;中游产业是冶炼;下游产业是钢铁成品生产,如线材、钢板、 无缝管、铁块、螺纹钢、钢坯等。 思考 我国在国家矿产资源战略储备方面,重点储备的矿种有什么特点? 答案 一是具有相对优势的矿种,如稀土、钨矿、煤炭;二是相对短缺的矿种,如铜、铝、 铁、锰、铀等。 1.矿产资源开发对国家安全的影响 (1)保障国家安全 ①促进采矿业的发展,通过产业链广泛拉动相关部门,创造更多的就业岗位,带动经济发展; ②缓解战略性矿产资源紧张状况,防止供应中断,保障战略性新兴产业发展,保障国家经济 安全,保障国防体系的建设;③实现矿产资源国际化战略,促进经济全球化;④利于维护生 态安全。 (2)威胁国家安全 ①矿产品进口量逐年增加,矿产对外依存度居高不下,矿产资源的供给风险显著加剧;②矿 产资源的国际争端发生频率会上升。 2.影响矿产资源安全的因素 影响因素 具体内容 ①可开采矿产资源减少乃至枯竭;②矿产资源波动幅度超过安全 矿产资源禀赋 范围 ①矿产资源开发技术和经济能力不足;②跨区域调配矿产资源工 矿产资源生产 程的技术风险和区域冲突;③矿产资源贸易的市场、经济和运输 与供给能力 风险 ①人口增长造成的短缺;②消费水平提高造成的短缺;③消费质 矿产资源消费需求 量标准提高造成的短缺 3.我国矿产资源开发利用中的问题 问题 影响 造成资源浪费,资源储量降低,矿产品附 具有明显优势的矿产滥采严重、低价出口 加值低 用途广、用量大的资源相对短缺 制约了经济的发展 需要对矿产资源远距离运输,增加交通运 资源空间分布与生产力布局不匹配 输压力 开采利用过程中生态环境破坏严重 造成区域生态失衡4.保障矿产资源安全的三大关键——开源、节流、储备 (1)开源 ①国内:加强勘探和开发,增加探明储量。②国外:有足够多的矿产进口来源渠道,能保障 进口路线通畅。 (2)节流 ①开采过程中节流:要通过立法,依靠技术,加强管理,对矿产资源科学开采,高效开采, 有序开采,保护性开采,达到高效利用矿产资源的目的,尽量延缓矿产资源枯竭期的到来。 ②消费环节中节流:对矿产加工制成品要提高利用率,鼓励回收利用。 (3)储备:是为了应急,保证非常时期不间断供应。 (2023·6月浙江选考)战略性矿产资源的安全稳定是国内经济循环畅通的保障,也是国 内国际相互融合的关键。我国钨矿资源丰富,却将其列入战略性矿产资源。下图为“某企业 钨全产业链内涵框架示意图”。完成1~2题。 1.将钨列入战略性矿产资源的主要原因是( ) A.防止钨矿供应链发生中断 B.主导钨矿上游产业链发展 C.推进钨矿产业链绿色发展 D.实现钨资源领域安全可控 2.位于该企业钨全产业链下游的是( ) A.钨制品的回收 B.钨矿石的贸易 C.钨矿勘探采掘 D.钨矿冶炼加工 [关键信息点拨] 将钨矿列入战略性矿产资源,其开采受到国家严格管控,可以实现钨资源领域安全可控。 读图可知,钨全产业链包括上游的冶金采掘、中游的加工制造、下游的产品消费和资源回 收。[地理原理再现] 保障资源安全的途径 说出保障资源安全的途径。 答案 ①增加资源供给和保障能力;②节约和优化资源的利用;③以环境友好方式开发利用, 不破坏自然环境的服务功能;④和平开发利用自然资源,规避衍生安全风险。 答案 1.D 2.A 解析 第1题,结合材料“战略性矿产资源的安全稳定是国内经济循环畅通的保障”可知, 将钨矿列入战略性矿产资源的主要原因是实现钨资源领域安全可控,D正确;防止钨矿供应 链中断是实现钨矿资源领域安全可控的部分内容,表述不全面,A错误;主导钨矿上游产业 链发展、推进钨矿产业链绿色发展不是主要原因,B、C错误。第2题,读图可知,钨制品 消费后回收属于全产业链下游,A正确。 考向1 通过“矿产资源的开发”考查“人地协调观” (2024·贵州贵阳模拟)“呼包银榆经济区”地处内陆腹地,资源优势得天独厚,是国家综 合能源基地、国家重要的生态安全屏障、国家向北向西开放的重要战略高地。读图,完成1 ~3题。 1.该能源基地的开发在自然环境方面存在的比较突出的问题是( ) A.地表起伏 B.优质土地资源短缺 C.气候条件恶劣 D.水资源短缺 2.合理开发利用该基地能源资源的有效措施是( ) ①加大科技投入,延长产业链,增加附加值 ②禁止开发利用,防治环境污染 ③调整产业 结构,促进第三产业发展 ④实施环保标准,加强矿区土地复垦与绿化 A.①② B.③④ C.②③ D.①④ 3.该经济区开发中,有可能形成的合理产业链是( ) A.煤矿开采—火电厂—金属冶炼 B.煤矿开采—钢铁厂—汽车厂 C.油气开采—油气化工—汽车零配件厂 D.煤矿开采—油气开采—金属矿产开采 答案 1.D 2.D 3.A 解析 第1题,该地位于我国干旱半干旱地区,降水少,蒸发量大,植被稀少,生态脆弱,煤炭、油气等能源开发需要大量水资源,会加剧当地水资源的短缺。地形、土地、气候对能 源开发影响较水资源小,D项正确。第2题,加大科技投入,延长产业链,增加附加值,可 以提高经济效益,减少资源浪费;实施环保标准,加强矿区土地复垦与绿化,可以最大限度 减少因资源开发而造成的生态破坏,做到开发与保护并重;所以①④是合理措施,D项正确。 禁止开发利用,不利于经济发展;调整产业结构,促进第三产业发展虽然可以培育新的经济 增长点,但不是能源基地建设的重点,②③错误。第3题,在煤矿开采的基础上发展火力发 电,利用充足电能进行金属冶炼,A项是一个合理的产业链。煤矿开采、钢铁厂、汽车厂虽 然是产业链,但汽车生产对技术、市场要求较高,该地区科技水平较低,市场狭小,不适合 发展汽车生产;油气开采、油气化工、汽车零配件厂以及煤矿开采、油气开采、金属矿产开 采之间无生产上的关联,B、C、D项错误。 考向2 通过“矿产资源的概况”考查“综合思维” 矿产资源是人类生产资料与生活资料的重要来源。随着矿产资源消费量的急剧增长,有 些矿产资源发生短缺甚至耗竭。据此回答4~5题。 4.有关矿产资源的叙述,不正确的是( ) A.矿产资源的特性之一是其非可再生性 B.美国是目前世界上消费矿产资源最多的国家 C.全世界消费矿产资源的数量呈快速增长的趋势 D.广大的发展中国家也存在着较为严重的资源短缺问题 5.中国矿产资源的特点是( ) A.矿产资源总量大,人均占有量高于世界平均水平 B.矿产资源中富矿少,贫矿多 C.开采中采富弃贫,提高了矿产资源的利用率 D.矿产资源的地区分布不平衡,一般来说,东多西少 答案 4.B 5.B 解析 第4题,利用排除法可知,矿产资源的特性之一是其非可再生性;随着生产力水平提 高,全世界消费矿产资源的数量呈快速增长的趋势;广大的发展中国家也存在着较为严重的 资源短缺问题,A、C、D正确。中国现为世界上消费矿产资源最多的国家,故选B。第5 题,中国矿产资源的特点是矿产资源中富矿少,贫矿多,B对。矿产资源总量大,人口多, 人均占有量低于世界平均水平,A错。开采中采富弃贫,浪费严重,降低了矿产资源的利用 率,C错。矿产资源的地区分布不平衡,一般来说,西多东少,D错。故选B。 课时精练 (2024·广东云浮统考)镍矿是战略性资源,目前我国镍的生产量远低于消费量。印度尼西亚镍矿储量丰富,易开采,难冶炼。2006年后中国企业在印度尼西亚投资采矿。2014年印 度尼西亚政府颁布禁止镍矿出口政策后,中国企业利用先进的冶炼技术,开始在该国建设镍 冶炼厂,产品主要销往中国。下图为“2006~2016年中国镍矿进口量及从印度尼西亚、菲 律宾镍矿进口占中国镍矿进口总量比重变化图”。读图,完成1~2题。 1.我国镍矿的进口特点是( ) ①进口量大,对外依存度高 ②从菲律宾进口量先降后升 ③镍矿进口集中于少数国家 ④从印度尼西亚进口量2008年最高 A.①②③ B.②③④ C.①③④ D.①②④ 2.保障中国镍资源安全的途径有( ) ①进口多元化,从各个国家进口镍矿 ②减少海外矿业投资项目 ③积极探查国内未被发现 的镍矿 ④提高镍资源的战略储备 ⑤提高技术和产量,提升市场定价权 A.①②③ B.②④⑤ C.①③⑤ D.③④⑤ 答案 1.A 2.D 解析 第1题,由材料可得,目前我国镍的生产量远低于消费量,说明镍矿进口量大,对外 依存度高,①正确;读图可知,虚线代表从菲律宾进口镍矿占中国镍矿进口总量比重变化, 2006~2008年占比呈下降趋势,2008~2013年,占比相对稳定,2013~2016年呈上升趋势, ②正确;由图可知,中国的镍矿进口来源地主要为印度尼西亚和菲律宾,进口集中在少数国 家,③正确;印度尼西亚镍矿进口量=中国进口总量×印度尼西亚进口占比,2013年进口 量最高,④错误。故选A。第2题,镍矿作为战略资源,主要分布在少数国家,实现进口多 元化难度较大,①错误;需要增加海外矿业投资项目,扩大镍矿产量,保障中国镍资源安全, ②错误;积极探查国内未被发现的镍矿,提高国内镍矿产量,降低对外依赖程度,③正确; 提高镍资源的战略储备,减少国际市场波动对中国镍资源安全的影响,④正确;镍矿易开采, 难冶炼,中国可以发挥技术优势,提高技术和产量,提升市场定价权,⑤正确。故选D。 (2023·山东青岛模拟)调查发现,我国的稀土、石墨、萤石、重晶石、锑、钒、钼、锗、 镓、铯、碲、砷等12种矿产资源,无论是在储量还是在产量上,都具有全球优势地位,其中多种资源被我国列入战略性矿产资源目录。但在与美国、欧盟的战略性矿产资源对比时发 现(下图),像重晶石、砷等部分资源并未列入我国战略性矿产资源目录。据此完成3~4题。 3.稀土、石墨、萤石资源均被中、美、欧盟列为战略性矿产资源的共同因素是( ) A.资源储量 B.空间分布 C.应用功能 D.对外依存度 4.对重晶石、砷等资源,我国在开发、贸易的过程中应( ) A.立足国内市场,禁止原矿出口 B.建立战略储备,应对贸易风险 C.采富弃贫,重点开发高品位矿 D.政策扶持,进行原材料深加工 答案 3.C 4.D 解析 第3题,战略性矿产资源与国家利益存在不同程度的相关性。它反映在国家危急时期 的战略需要,也体现在国家经济社会发展的重大战略实施时期减少潜在发展危机的战略需要 上,故稀土、石墨、萤石资源均被中、美、欧盟列为战略性矿产资源的共同因素是应用功能, C正确;资源储量、空间分布、对外依存度不是其评判标准,A、B、D错误。第4题,根 据材料“我国的稀土、石墨、萤石、重晶石、锑、钒、钼、锗、镓、铯、碲、砷等12种矿 产资源,无论是在储量还是在产量上,都具有全球优势地位,像重晶石、砷等部分资源并未 列入我国战略性矿产资源目录”可知,重晶石、砷等资源丰富但不属于我国战略性矿产资源, 可以对其进行开发利用,借助政策的扶持,进行原材料深加工,提高资源利用率,提高附加 值,D正确。 (2023·河北张家口期中)我国外资企业出口产品分为资源密集型(资源型)、劳动密集型(低 技术型)、资本密集型(中技术型)、技术密集型(高技术型)等。下图为四类产品2000~2013 年逐年贸易额变化情况,其中2008年受金融危机影响,贸易量整体出现波动。据此完成5 ~6题。5.受金融危机影响最大的两类出口产品是( ) ①资源密集型 ②劳动密集型 ③资本密集型 ④技术密集型 A.①② B.②③ C.③④ D.①④ 6.资源密集型产品出口贸易额整体较低的主要影响因素是( ) A.资源禀赋 B.产品品质 C.技术含量 D.国家政策 答案 5.C 6.D 解析 第5题,由图可知,2008年金融危机时,出口贸易额波动较大的是资本密集型和技 术密集型产品,③④正确;资源密集型和劳动密集型产品出口贸易额波动较小,受影响较小, ①②错误。故选C。第6题,受外资企业可进入领域限制以及出口产品许可目录的影响,资 源密集型产品出口贸易额整体较低,D正确;资源禀赋、产品品质、技术含量都不是导致资 源密集型产品出口贸易额整体较低的原因,A、B、C错误。 7.(2024·四川成都模拟)阅读图文材料,完成下列问题。(18分) 锂是一种重要的新型战略资源,主要应用于新能源汽车电池生产等行业。我国锂矿资源 丰富,但约80%以高原盐湖形式存在,且我国盐湖中的镁锂比偏高,盐湖提锂技术难度大。 我国汽车保有量世界第一,但传统燃油车保有量占比高,给低碳发展带来巨大压力。近年来, 我国大力推进汽车领域低碳发展,目前我国锂电池新能源汽车的产销已居世界首位。2023 年4月,中共中央政治局会议强调:要巩固和扩大新能源汽车发展优势,加快推进充电桩、 储能等设施建设和配套电网改造。5月,工信部等5部门宣布自2023年7月1日起,全国范 围禁止生产、进口、销售不符合国六排放标准6b阶段的汽车。我国汽车领域有望2027年左 右提前实现碳达峰。下图为我国锂矿分布示意图。(1)写出我国盐湖锂资源的主要分布区并说明该锂矿资源开发利用存在的困难。(6分) (2)从锂资源供给的角度,简述我国为保障新能源汽车持续发展可采取的措施。(6分) (3)分析我国汽车领域可较早实现碳达峰的原因。(6分) 答案 (1)青藏高原。以盐湖锂为主,集中分布在青藏高原等生态脆弱区,气候寒冷干燥, 自然条件恶劣;青藏高寒地区,电力等基础设施不完善,对外交通不便,生产成本较高;盐 湖提锂技术成本高、难度大。 (2)加大科技投入,改进盐湖提锂技术;加大国内锂矿资源勘探力度;加强锂矿资源战略储 备;倡导循环经济,促进锂产品回收循环利用;加大对外开放程度,加强国际合作,开辟国 际锂矿供应新源地,保障锂矿多元化供给等。 (3)我国汽车产业结构不断优化,新能源汽车产业规模大、发展迅速;政府加快新能源汽车 的配套设施建设,政策支持力度大;严控汽车尾气排放环保标准,提升传统燃油车经济效能, 减少碳排放;汽车制造技术不断进步,节能减排性能不断提升。 8.(2024·福建南平模拟)阅读材料,完成下列问题。(16分) 赞比亚的谦比希铜矿储量大,品位高。矿区于20世纪60年代投产,由于开采难度加大 与经营不善,1987年闭矿停产,矿区小镇经济陷入萧条。1998年,中国某企业通过参加国 际竞标获得谦比希铜矿的经营权。通过对矿山进行数字化升级改造,员工在地面的生产控制 中心就能遥控操作千米深井下的设备进行开采运输,先进的数字化系统能提前对出现的问题 做出预警。2021年,谦比希铜矿的铜产品年产量达到了25.01万吨。当地一位工程师见证了 矿区的发展历程,与他有相似经历的5 300名当地人在矿区工作,平均一个人的收入能够养 活一家6口人。 (1)说明数字化开采能提高谦比希铜矿产品竞争力的原因。(6分) (2)论述中赞合作开发铜矿对赞比亚区域发展和中国国家安全的意义。(10分) 答案 (1)减少劳动力的数量,降低生产成本;随时监控生产过程,减少采矿风险;优化采 矿过程,提高采矿效率。 (2)对赞比亚区域发展:有利于资源开发,将资源优势转化为经济效益;创造就业岗位,增 加居民收入;促进基础设施建设,改善社会投资环境;提升矿业自动化水平,促进采矿工业技术升级等。 对中国国家安全:中国经济发展快,对铜矿需求量大;赞比亚铜矿资源丰富,可弥补中国国 内铜矿资源不足,保障国家矿产资源供应安全;扩大铜矿资源供给渠道,防范市场风险。