当前位置:首页>文档>2025年高考地理考前大概念单元主题突破大单元十三 资源、环境与国家安全_9.2025地理总复习_2025年新高考资料_二轮复习_2025年高考地理考前增分特训

2025年高考地理考前大概念单元主题突破大单元十三 资源、环境与国家安全_9.2025地理总复习_2025年新高考资料_二轮复习_2025年高考地理考前增分特训

  • 2026-04-03 07:15:11 2026-03-12 06:04:02

文档预览

2025年高考地理考前大概念单元主题突破大单元十三 资源、环境与国家安全_9.2025地理总复习_2025年新高考资料_二轮复习_2025年高考地理考前增分特训
2025年高考地理考前大概念单元主题突破大单元十三 资源、环境与国家安全_9.2025地理总复习_2025年新高考资料_二轮复习_2025年高考地理考前增分特训
2025年高考地理考前大概念单元主题突破大单元十三 资源、环境与国家安全_9.2025地理总复习_2025年新高考资料_二轮复习_2025年高考地理考前增分特训
2025年高考地理考前大概念单元主题突破大单元十三 资源、环境与国家安全_9.2025地理总复习_2025年新高考资料_二轮复习_2025年高考地理考前增分特训
2025年高考地理考前大概念单元主题突破大单元十三 资源、环境与国家安全_9.2025地理总复习_2025年新高考资料_二轮复习_2025年高考地理考前增分特训
2025年高考地理考前大概念单元主题突破大单元十三 资源、环境与国家安全_9.2025地理总复习_2025年新高考资料_二轮复习_2025年高考地理考前增分特训
2025年高考地理考前大概念单元主题突破大单元十三 资源、环境与国家安全_9.2025地理总复习_2025年新高考资料_二轮复习_2025年高考地理考前增分特训
2025年高考地理考前大概念单元主题突破大单元十三 资源、环境与国家安全_9.2025地理总复习_2025年新高考资料_二轮复习_2025年高考地理考前增分特训
2025年高考地理考前大概念单元主题突破大单元十三 资源、环境与国家安全_9.2025地理总复习_2025年新高考资料_二轮复习_2025年高考地理考前增分特训
2025年高考地理考前大概念单元主题突破大单元十三 资源、环境与国家安全_9.2025地理总复习_2025年新高考资料_二轮复习_2025年高考地理考前增分特训
2025年高考地理考前大概念单元主题突破大单元十三 资源、环境与国家安全_9.2025地理总复习_2025年新高考资料_二轮复习_2025年高考地理考前增分特训
2025年高考地理考前大概念单元主题突破大单元十三 资源、环境与国家安全_9.2025地理总复习_2025年新高考资料_二轮复习_2025年高考地理考前增分特训
2025年高考地理考前大概念单元主题突破大单元十三 资源、环境与国家安全_9.2025地理总复习_2025年新高考资料_二轮复习_2025年高考地理考前增分特训
2025年高考地理考前大概念单元主题突破大单元十三 资源、环境与国家安全_9.2025地理总复习_2025年新高考资料_二轮复习_2025年高考地理考前增分特训
2025年高考地理考前大概念单元主题突破大单元十三 资源、环境与国家安全_9.2025地理总复习_2025年新高考资料_二轮复习_2025年高考地理考前增分特训
2025年高考地理考前大概念单元主题突破大单元十三 资源、环境与国家安全_9.2025地理总复习_2025年新高考资料_二轮复习_2025年高考地理考前增分特训
2025年高考地理考前大概念单元主题突破大单元十三 资源、环境与国家安全_9.2025地理总复习_2025年新高考资料_二轮复习_2025年高考地理考前增分特训
2025年高考地理考前大概念单元主题突破大单元十三 资源、环境与国家安全_9.2025地理总复习_2025年新高考资料_二轮复习_2025年高考地理考前增分特训
2025年高考地理考前大概念单元主题突破大单元十三 资源、环境与国家安全_9.2025地理总复习_2025年新高考资料_二轮复习_2025年高考地理考前增分特训
2025年高考地理考前大概念单元主题突破大单元十三 资源、环境与国家安全_9.2025地理总复习_2025年新高考资料_二轮复习_2025年高考地理考前增分特训
2025年高考地理考前大概念单元主题突破大单元十三 资源、环境与国家安全_9.2025地理总复习_2025年新高考资料_二轮复习_2025年高考地理考前增分特训
2025年高考地理考前大概念单元主题突破大单元十三 资源、环境与国家安全_9.2025地理总复习_2025年新高考资料_二轮复习_2025年高考地理考前增分特训
2025年高考地理考前大概念单元主题突破大单元十三 资源、环境与国家安全_9.2025地理总复习_2025年新高考资料_二轮复习_2025年高考地理考前增分特训
2025年高考地理考前大概念单元主题突破大单元十三 资源、环境与国家安全_9.2025地理总复习_2025年新高考资料_二轮复习_2025年高考地理考前增分特训
2025年高考地理考前大概念单元主题突破大单元十三 资源、环境与国家安全_9.2025地理总复习_2025年新高考资料_二轮复习_2025年高考地理考前增分特训
2025年高考地理考前大概念单元主题突破大单元十三 资源、环境与国家安全_9.2025地理总复习_2025年新高考资料_二轮复习_2025年高考地理考前增分特训
2025年高考地理考前大概念单元主题突破大单元十三 资源、环境与国家安全_9.2025地理总复习_2025年新高考资料_二轮复习_2025年高考地理考前增分特训
2025年高考地理考前大概念单元主题突破大单元十三 资源、环境与国家安全_9.2025地理总复习_2025年新高考资料_二轮复习_2025年高考地理考前增分特训
2025年高考地理考前大概念单元主题突破大单元十三 资源、环境与国家安全_9.2025地理总复习_2025年新高考资料_二轮复习_2025年高考地理考前增分特训
2025年高考地理考前大概念单元主题突破大单元十三 资源、环境与国家安全_9.2025地理总复习_2025年新高考资料_二轮复习_2025年高考地理考前增分特训
2025年高考地理考前大概念单元主题突破大单元十三 资源、环境与国家安全_9.2025地理总复习_2025年新高考资料_二轮复习_2025年高考地理考前增分特训
2025年高考地理考前大概念单元主题突破大单元十三 资源、环境与国家安全_9.2025地理总复习_2025年新高考资料_二轮复习_2025年高考地理考前增分特训
2025年高考地理考前大概念单元主题突破大单元十三 资源、环境与国家安全_9.2025地理总复习_2025年新高考资料_二轮复习_2025年高考地理考前增分特训
2025年高考地理考前大概念单元主题突破大单元十三 资源、环境与国家安全_9.2025地理总复习_2025年新高考资料_二轮复习_2025年高考地理考前增分特训
2025年高考地理考前大概念单元主题突破大单元十三 资源、环境与国家安全_9.2025地理总复习_2025年新高考资料_二轮复习_2025年高考地理考前增分特训
2025年高考地理考前大概念单元主题突破大单元十三 资源、环境与国家安全_9.2025地理总复习_2025年新高考资料_二轮复习_2025年高考地理考前增分特训
2025年高考地理考前大概念单元主题突破大单元十三 资源、环境与国家安全_9.2025地理总复习_2025年新高考资料_二轮复习_2025年高考地理考前增分特训
2025年高考地理考前大概念单元主题突破大单元十三 资源、环境与国家安全_9.2025地理总复习_2025年新高考资料_二轮复习_2025年高考地理考前增分特训
2025年高考地理考前大概念单元主题突破大单元十三 资源、环境与国家安全_9.2025地理总复习_2025年新高考资料_二轮复习_2025年高考地理考前增分特训
2025年高考地理考前大概念单元主题突破大单元十三 资源、环境与国家安全_9.2025地理总复习_2025年新高考资料_二轮复习_2025年高考地理考前增分特训
2025年高考地理考前大概念单元主题突破大单元十三 资源、环境与国家安全_9.2025地理总复习_2025年新高考资料_二轮复习_2025年高考地理考前增分特训
2025年高考地理考前大概念单元主题突破大单元十三 资源、环境与国家安全_9.2025地理总复习_2025年新高考资料_二轮复习_2025年高考地理考前增分特训
2025年高考地理考前大概念单元主题突破大单元十三 资源、环境与国家安全_9.2025地理总复习_2025年新高考资料_二轮复习_2025年高考地理考前增分特训
2025年高考地理考前大概念单元主题突破大单元十三 资源、环境与国家安全_9.2025地理总复习_2025年新高考资料_二轮复习_2025年高考地理考前增分特训
2025年高考地理考前大概念单元主题突破大单元十三 资源、环境与国家安全_9.2025地理总复习_2025年新高考资料_二轮复习_2025年高考地理考前增分特训
2025年高考地理考前大概念单元主题突破大单元十三 资源、环境与国家安全_9.2025地理总复习_2025年新高考资料_二轮复习_2025年高考地理考前增分特训
2025年高考地理考前大概念单元主题突破大单元十三 资源、环境与国家安全_9.2025地理总复习_2025年新高考资料_二轮复习_2025年高考地理考前增分特训
2025年高考地理考前大概念单元主题突破大单元十三 资源、环境与国家安全_9.2025地理总复习_2025年新高考资料_二轮复习_2025年高考地理考前增分特训
2025年高考地理考前大概念单元主题突破大单元十三 资源、环境与国家安全_9.2025地理总复习_2025年新高考资料_二轮复习_2025年高考地理考前增分特训
2025年高考地理考前大概念单元主题突破大单元十三 资源、环境与国家安全_9.2025地理总复习_2025年新高考资料_二轮复习_2025年高考地理考前增分特训
2025年高考地理考前大概念单元主题突破大单元十三 资源、环境与国家安全_9.2025地理总复习_2025年新高考资料_二轮复习_2025年高考地理考前增分特训
2025年高考地理考前大概念单元主题突破大单元十三 资源、环境与国家安全_9.2025地理总复习_2025年新高考资料_二轮复习_2025年高考地理考前增分特训
2025年高考地理考前大概念单元主题突破大单元十三 资源、环境与国家安全_9.2025地理总复习_2025年新高考资料_二轮复习_2025年高考地理考前增分特训

文档信息

文档格式
pdf
文档大小
13.867 MB
文档页数
53 页
上传时间
2026-03-12 06:04:02

文档内容

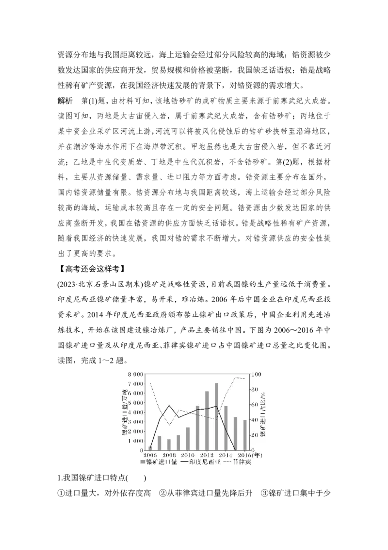
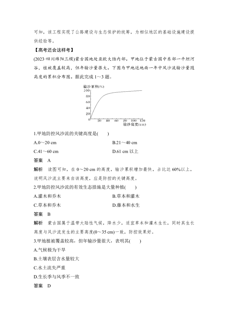
主题 1 矿产资源与国家安全 资源安全对国家安全的影响及保障途径【高考曾这样考过】 (2023·6月浙江卷,5~6)战略性矿产资源的安全稳定是国内经济循环畅通的保障, 也是国内国际相互融合的关键。我国钨矿资源丰富,却将其列入战略性矿产资源。 下图为某企业钨全产业链内涵框架示意图。完成1~2题。 1.将钨列入战略性矿产资源的主要原因是( ) A.防止钨矿供应链发生中断 B.主导钨矿上游产业链发展 C.推进钨矿产业链绿色发展 D.实现钨资源领域安全可控 答案 D 解析 钨矿用途广泛,具有战略意义,钨矿产资源的安全稳定是国内经济循环畅 通的保障,所以将钨列入战略性矿产资源,其目的主要是实现钨资源领域安全可 控,D正确;防止钨矿供应链发生中断,是其原因,但不是将钨列入战略性矿产资源的主要原因,A错误;钨矿的上游主要是原料导向型的开采业,其附加值低, 应发展钨矿的下游产业,延长其产业链,提高其附加值,B 错误;推进钨矿产业 链绿色发展是发展钨矿产业应注意的问题,但不是将钨列入战略性矿产资源的主 要原因,C 错误。故答案选D。 2.位于该企业全产业链下游的是( ) A.钨制品的回收 B.钨矿石的贸易 C.钨矿勘探采掘 D.钨矿冶炼加工 答案 A 解析 对相关钨矿工业废品进行回收利用,实现钨矿的循环利用,属于该企业钨 矿的下游产业链,A正确;钨矿石的贸易指钨矿的出口,出口原料,不属于该公 司钨矿下游产业链,B 错误;钨矿勘探采掘,属于该公司钨矿上游产业链,C 错 误;钨矿冶炼加工属于该企业钨矿的中游产业链,D错误。故答案选A。 3.[2023·湖南卷,20(1)(3)]阅读图文材料,完成下列要求。(8 分) 锆是一种战略性稀有重金属。锆资源集中分布在澳大利亚和非洲,绝大多数由澳 大利亚、英国和美国的三大供应商开发,消费集中在中国、欧洲和北美。莫桑比 克锆砂矿资源丰富,其成矿物质主要来源于前寒武纪火成岩。含锆重砂矿物多在 海岸带低潮线附近富集,1~3月在高潮线以上也有大量沉积。 “一带一路”背 景下,某中资企业与莫桑比克合作开发锆砂矿。下图示意采矿区及所在区域。 (1)甲、乙、丙、丁四地中,哪一处最有可能是该采矿区成矿物质的来源地,并说 明理由。(4分) (2)根据材料,简述我国锆资源供应安全面临的主要问题。(4 分) 答案 (1)丙地。丙地是太古宙侵入岩,属于前寒武纪火成岩,含有锆砂矿;位于 河流上游,含锆的矿石被风化侵蚀后,矿砂被河流挟带入海,并在海岸带沉积。 (2)锆资源主要分布在国外,国内锆资源的储量不足,无法满足国内生产需求;锆资源分布地与我国距离较远,海上运输会经过部分风险较高的海域;锆资源被少 数发达国家的供应商开发,贸易规模和价格被垄断,我国缺乏话语权;锆是战略 性稀有矿产资源,在我国经济快速发展的背景下,对锆资源的需求增大。 解析 第(1)题,由材料可知,该地锆砂矿的成矿物质主要来源于前寒武纪火成岩。 读图可知,丙地是太古宙侵入岩,属于前寒武纪火成岩,含有锆砂矿;丙地位于 某中资企业采矿区河流上游,河流可以将被风化侵蚀后的锆矿砂挟带至沿海地区, 并在潮汐等海水作用下在海岸带沉积。甲地虽然也是太古宙侵入岩,但不靠近河 流;乙地是中生代变质岩、丁地是中生代沉积岩,不含锆砂矿。第(2)题,根据材 料,主要从资源储量、需求量、进口阻力等方面考虑。锆资源主要分布在国外, 国内锆资源储量有限。锆资源分布地与我国距离较远,海上运输会经过部分风险 较高的海域,运输成本较高且存在一定的安全问题。锆资源由少数发达国家的供 应商垄断开发,我国在锆资源的供应方面缺乏话语权。锆是战略性稀有矿产资源, 随着我国经济的快速发展,我国对锆的需求不断增大,对锆资源供应的安全性提 出了更高的要求。 【高考还会这样考】 (2023·北京石景山区期末)镍矿是战略性资源,目前我国镍的生产量远低于消费量。 印度尼西亚镍矿储量丰富,易开采,难冶炼。2006年后中国企业在印度尼西亚投 资采矿。2014年印度尼西亚政府颁布禁止镍矿出口政策后,中国企业利用先进冶 炼技术,开始在该国建设镍冶炼厂,产品主要销往中国。下图为2006~2016年中 国镍矿进口量及从印度尼西亚、菲律宾镍矿进口占中国镍矿进口总量之比变化图。 读图,完成1~2题。 1.我国镍矿进口特点( ) ①进口量大,对外依存度高 ②从菲律宾进口量先降后升 ③镍矿进口集中于少数国家 ④从印度尼西亚进口量2008年最高 A.①②③ B.②③④ C.①③④ D.①②④ 答案 A 解析 由材料可得,目前我国镍的生产量远低于消费量,说明镍矿进口量大,对 外依存度高,①正确;观察图示,虚线代表菲律宾,根据进口量和进口占比的计 算,从菲律宾进口量先下降,后总体上升,②正确;由图可知,中国的镍矿进口 来源主要为印度尼西亚和菲律宾,③正确;印度尼西亚镍矿进口量=中国进口总 量×印度尼西亚进口占比,2013年进口量最高,④错误。故选A。 2.保障中国镍资源安全的途径( ) ①进口多元化,从各个国家进口镍矿 ②减少海外矿业投资项目 ③积极探查国 内未被发现的镍矿 ④提高镍资源的战略储备 ⑤提高技术和产量,提升市场定 价权 A.①②③ B.②④⑤ C.①③⑤ D.③④⑤ 答案 D 解析 镍作为战略资源,只在少数国家探明,无法使得进口多元化,①错误;需 要增加海外矿业投资项目,扩大镍矿产量,保障中国镍资源安全需要,②错误; 积极探查国内未被发现的镍矿,提高国内镍矿产量,减少对外依赖,③正确;提 高镍资源的战略储备,减少国际市场波动对中国镍资源安全的影响,④正确;镍 矿易开采,难冶炼,中国可以发挥技术优势,提高技术和产量,提升市场定价权, ⑤正确。故选D。 主题 2 能源资源与国家安全 未来我国能源的消费特点与安全保障措施 消费特点 保障措施 充分发掘常规能源的资源潜力,通过转 变发展方式、调整产业结构、发展节能 能源消费总量将继续增长,但增速降低 技术、提倡节约消费等途径,提高能源 利用率煤炭在很长一段时期内仍然是最主要的 能源,但其在能源消费结构中的比例将 改善能源消费结构,大力发展低碳能源, 不断降低,消费总量也将在率先达到峰 其包括可再生能源(水、风、光、生物质、 值后持续下降 地热、海洋能和垃圾能源化利用等)、核 核能、水电、太阳能和风能等非化石能 能和天然气等 源在能源消费结构中的占比将显著提高 石油、天然气消费量将进一步增长,但 开辟多源、稳定的国际能源供应市场, 受我国油气资源储量和生产能力限制, 确保能源运输通道畅通;加强国家战略 未来相当长的时期内对国外石油和天然 能源储备,提高应对国际能源市场冲击 气资源高度依赖的状况可能难以得到根 的能力 本改善 技法点拨 新能源开发利用条件分析 (1)资源的数量和质量(集群状况)。 (2)与市场(发达地区)的距离。 (3)太阳能、风能的开发占地面积大,需要广阔的土地;生物能的开发需要考虑靠 近原料地;水能的开发需要考虑建坝条件(地质、地形、聚落分布等)。 (4)科学技术水平。 【高考曾这样考过】 (2023·1 月浙江卷,11~12)建设大型清洁能源基地是我国“十四五”规划的重要 目标之一,下图为部分清洁能源基地分布示意图。完成1~2题。 1.图中三大能源基地共同的主要清洁能源是( ) A.核能 水能 B.风能 火电 C.水能 地热 D.风能 太阳能 答案 D解析 图中三大能源基地都位于我国内陆地区,而我国核能的开发主要是在沿海 地区,核能并不是图中三大能源基地共同的主要清洁能源,A 错误;火电不是清 洁能源,B 错误;青藏高原南部雅鲁藏布江流域到云南西部腾冲一带是我国地热 能集中分布的区域,图中三大能源基地地热能相对缺乏,C 错误;图中三大能源 基地主要位于我国青藏高原区和西北干旱半干旱区,风能和太阳能都较为丰富, D正确。 2.我国建设大型清洁能源基地可以( ) A.促进低碳能源发展 B.改变能源资源分布 C.控制能源消费总量 D.缩短能源输送距离 答案 A 解析 清洁能源开发利用可以减少向外界排放二氧化碳,促进低碳能源发展,A 正确;建设大型清洁能源基地不会改变我国现有的能源资源分布,B 错误;我国 经济发展迅速,对能源的需求呈增加趋势,我国建设大型清洁能源基地是为了增 加能源供给,而不是为了控制能源消费总量,C 错误;图中三大能源基地远离我 国东部主要的能源消费市场,并不能缩短能源输送距离,D错误。 【高考还会这样考】 (2023·山东日照模拟)我国石油对外依赖度高且以海运为主。一般将流量大于均值 的货流线称为显著流。下图示意我国海上丝绸之路进口石油货流在八大区域的分 布脆弱度(单位时间内港口最大流量/总流量)和集中度(某港口货流量/区域内所有 港口货流总量)。据此完成1~2题。 1.我国石油进口中( ) A.从南非进口的石油时间分配均匀 B.从东北亚进口石油货运线最集中C.从欧洲进口的石油集中在少数港口 D.各货运线路上的石油运量差别较小 答案 C 解析 由图可知,我国从南非进口石油的分布脆弱度较高,说明一定时间内大量 进口的石油货流量大,时间较为集中;东北亚的显著流占总流量的比例较低,说 明从东北亚进口石油货运线比较分散;欧洲进口石油的集中度最高,即主要从少 数港口进口石油;图示显著流占总流量的比例在各大洲的数值不同,同时各大洲 的石油进口量没有具体的数值,无法判断各货运线路上的石油运量的差别。 2.有利于保障我国海上丝绸之路石油进口的措施有( ) ①投资建设沿线的中小港口,降低集中度 ②投资核心港口,增加港口的石油货运量 ③开辟新的石油运输线路,降低显著流 ④加强海运船队管理,集中时间进口 A.①② B.①③ C.②③ D.③④ 答案 B 解析 投资建设沿线的中小港口,通过潜力港口分担核心港口货流量,可避免因 货流过度集中而导致脆弱性高的问题,缩减运输时间和成本,提高运输效率;中 国进口石油海运网络货流分布格局不均衡,投资核心港口会导致该港口出现泊位 紧张、装卸货物不及时等问题;开辟新的石油运输线路,可减少因路线过度集中 而导致脆弱性高的问题,同时也可降低显著流,从而缩减运输时间和成本,提高 运输效率;集中时间进口会造成港口、航线等拥堵,不利于保障石油的进口。 主题 3 氢能源 1.氢能特点 氢气,化学式为H ,分子量为2.01588,常温常压下,是一种极易燃烧的气体。 2 无色透明、无臭无味且难溶于水的气体。其特点如下: (1)氢燃烧性能好,点燃快,与空气混合时有广泛的可燃范围,而且燃点高,燃烧 速度快。(2)氢本身无毒,与其他燃料相比氢燃烧时最清洁,除生成水和少量氮化氢外不会 产生对环境有害的污染物质。 (3)氢能利用形式多,既可以通过燃烧产生热能,在热力发动机中产生机械功能, 又可以作为能源材料用于燃料电池,或转换成固态氢用作结构材料。 (4)氢可以以气态、液态或固态的金属氢化物出现,能适应贮运及各种应用环境的 不同要求。 2.氢能分类 目前,氢的制取产业主要有三种较为成熟的技术路线:一是以煤炭、天然气为代 表的化石能源重整制氢;二是以焦炉煤气、氯碱尾气、丙烷脱氢为代表的工业副 产气制氢;三是电解水制氢。在生产氢气的过程中,会伴随着不同程度的碳排放。 根据排放程度,我们把氢能分为灰氢、蓝氢、绿氢。 (1)灰氢:通过化石燃料制氢,这种氢气在全球占比最大,虽然成本相对其他制氢 方式更低,但其碳排放量大。 (2)蓝氢:蓝氢是将天然气中的甲烷制成氢气,其碳排放量较“灰氢”更低。实际 上它是在“灰氢”生产过程中经碳捕获与储存(CCS)技术处理后,就变成了蓝氢, 而该技术需要使用天然气作为动力能源。 (3)绿氢:利用可再生能源(如风能、太阳能、水能等),通过电解工序产生氢气。 这个生产过程可以实现零碳排放,但经济成本很高。 3.西氢东送 “西氢东送”起点位于内蒙古乌兰察布市,终点位于北京市的燕山石化。管道将 会经过内蒙古、河北、北京等 3 省(市)9 个县区,全长 400 多千米。一期运力 10 万吨/年,还预留了50万吨/年的远期提升潜力,沿线地区预留了氢能的接入端口。 “西氢东送”工程落地运行后,我国氢能有望进入大规模商用的阶段,不仅可以 带动氢能产业的快速发展,还有利于实现国家碳达峰、碳中和的双碳目标。这个 项目给我国能源和环保领域带来的益处不亚于“西气东输”和“西电东输”。 【高考曾这样考过】 [2021·海南卷,21(1)(2)]阅读图文材料,完成下列要求。(14 分) 材料一 为应对全球气候变化,中国政府承诺力争 2030 年前实现碳达峰、2060 年前实现碳中和。大兴是北京新的产业集聚区,承担疏解中心城区人口和公共服务等功能。国际氢能示范区(图1)是大兴区和清华大学等科研机构的共建项目,旨 在建设氢能产业创新中心,探索氢燃料电池汽车在公交、环卫等服务领域的应用。 材料二 新能源的广泛使用是我国实现碳达峰和碳中和目标的主要途径,海南省 作为中国改革开放示范新标杆,对生态环境有更高的要求。关于现代产业体系, 《海南自由贸易港建设总体方案》中提出“坚持生态优先、绿色发展”“围绕生态 环保、生物医药、新能源汽车、智能汽车等壮大先进制造业”。 材料三 轨道交通是都市居民日常出行的高效方式。为了亦庄新城居民出行更加 便捷,交通部门设计了沿宏达路和荣华路的两条轨道线路,每条线路均有地下方 案和高架方案(图2)。 (1)分析北京氢能示范区落户大兴产业集聚区的区位条件。(6 分) (2)简述大兴氢能示范区的创建对海南自由贸易港产业发展的启示。(8 分) 答案 (1)大兴作为北京的新城区,土地较充足,地价较低,有利于降低示范区建 设成本;新城区公交、环卫等服务领域为氢能技术的推广提供了市场;位于产业 集聚区,产业发展基础好,协作条件好。 (2)围绕国家碳达峰和碳中和目标,发展绿色低碳产业;充分发挥海南自由贸易港独特的政策优势,与国内外高校、科研机构及企业合作,引进高科技人才和技术; 建立产业示范园区;发展先进制造业,注重新技术的推广应用。 解析 第(1)题,读材料“大兴是北京新的产业集聚区,承担疏解中心城区人口和 公共服务等功能”可知,大兴作为北京的新城区,土地较充足,地价较低,有利 于降低示范区建设成本;由材料“探索氢燃料电池汽车在公交、环卫等服务领域 的应用”可知,新城区公交、环卫等服务领域为氢能技术的推广提供了市场;由 材料“大兴是北京新的产业集聚区”可知,产业发展基础好,协作条件好。第(2) 题,读材料二“新能源的广泛使用是我国实现碳达峰和碳中和目标的主要途径” 可知,围绕国家碳达峰和碳中和目标,发展绿色低碳产业;由材料“《海南自由贸 易港建设总体方案》中提出‘坚持生态优先、绿色发展’‘围绕生态环保、生物医 药、新能源汽车、智能汽车等壮大先进制造业’”可知,充分发挥海南自由贸易港 独特的政策优势,与国内外高校、科研机构及企业合作,引进高科技人才和技术; 由材料“海南省作为中国改革开放示范新标杆,对生态环境有更高的要求”可知, 建立产业示范园区,同时发展先进制造业,注重新技术的推广应用。 【高考还会这样考】 (2023·山东济南模拟)氢能清洁、高效、用途广泛,制取方法有多种,其中利用可 再生能源发电来电解水制取的氢,因全程没有碳排放被称为“绿氢”。下图为“我 国宜构建两大‘绿氢’经济带分布图”。据此完成1~3题。 1.与太阳能相比,氢能的优势为( ) A.可再生性 B.获取方便 C.零碳排放 D.供能稳定 答案 D解析 太阳能有可再生性,利用可再生能源发电来电解水制取的氢也属于可再生 能源,A 不符合题意;太阳能的获取与利用可再生能源发电来电解水制取氢的过 程相比更方便,B 错;太阳能的利用过程也可实现零碳排放,C 与题意不符;太 阳能受天气等多种因素影响,不稳定,而氢能更稳定,D正确。故选D。 2.两大“绿氢”经济带所跨省份发展“绿氢”产业的共同区位优势是( ) A.水资源丰富 B.可再生能源丰富 C.能源需求量大 D.劳动力丰富 答案 B 解析 由材料可知,“绿氢”的制取需要利用可再生能源发电来电解水制取。而 图中的两大“绿氢”经济带,地跨我国西北地区及沿海地区,风能、太阳能等可 再生能源是丰富的,B 正确;西北地区水资源不丰富,A错;西北地区能源需求 量相对较少,C 错;“绿氢”产业对劳动力需求较小,D错。故本题选B。 3.甲地是我国目前煤电重要输出地,发展“绿氢”产业主要是为了( ) A.实现能源替代 B.缓解就业压力 C.完善基础设施 D.促进产业转型 答案 D 解析 甲地是我国目前煤电重要输出地,以传统的重工业为主,“绿氢”属于新 兴产业,发展“绿氢”产业有利于甲地产业转型升级,D 正确;“绿氢”产业不 可能完全实现能源替代,A错;发展“绿氢”产业的目的更不是为了缓解就业压 力与完善基础设施,B、C 错。故本题选D。 主题 4 环境污染与国家安全 1.环境污染问题的产生与治理 (1)环境污染问题产生原因的思路分析 (2)环境污染问题治理措施的思路分析2.污染物跨境转移对环境安全的影响 (1)人为因素导致的污染物跨境转移 (2)污染物跨境转移的特点及危害 3.污染物跨境转移针对性措施【高考曾这样考过】 (2023·北京卷,18)读图,回答下列问题。(10分) (1)分析南极半岛地表污染物少的原因。(4 分) 含碳物质不完全燃烧产生黑碳。在科考站附近采样点积雪中,黑碳含量较其他区 域偏高。 (2)说出采样点积雪中黑碳的可能来源。并说明黑碳对当地积雪的影响。(6 分) 答案 (1)南极半岛人类活动少,排放的污染物少;南极半岛位于极地东风带控制 区,风力强劲,不利于污染物沉降。 (2)化石燃料和生物质燃烧产生的黑碳进入大气层,受大气环流影响带至南极半岛 上空,水汽凝结过程中混入黑碳物质,通过降雪带至采样点;旅游和科学工作等 人类活动排放的废弃物中含有碳元素。影响:黑碳会降低地表对太阳辐射的反射 率,使地表温度升高,从而加速积雪融化。 解析 第(1)题,南极半岛纬度高,气候寒冷,人类活动少,排放的污染物少;南 极半岛位于极地东风带控制区,风力强劲,大气中的污染物容易扩散吹走,不利 于污染物沉降至南极半岛地表。第(2)题,黑碳的来源可从直接来源和间接来源两 方面分析,直接来源主要是游客和科学工作等人类活动,随着科学技术的发展和 经济发展,前往南极半岛的游客和科学工作人员增多,排放的废弃物也增多,排 放的废弃物中含有碳元素;间接来源主要通过大气环流,化石燃料和生物质燃烧 产生的黑碳进入大气层,受大气环流影响带至南极半岛上空,水汽凝结过程中混 入黑碳物质,通过降雪带至采样点。对积雪的影响:黑碳颜色较深,会降低地表 对太阳辐射的反射率,使地表吸收的太阳辐射量增多,地面温度升高,从而加速 积雪融化。 【高考还会这样考】 (2023·辽宁丹东质检)近年来,全国水环境质量明显改善。但部分地区河流出现了平时水环境质量较好,汛期污染物浓度大幅上升的情况,生态环境部近期开展了 汛期污染强度分析和治理。据此完成1~2题。 1.部分地区河流汛期污染物浓度大幅上升,其污染源主要是( ) ①旱季藏污纳垢 ②城市生活排污 ③污水处理厂溢流 ④运输船舶 ⑤企业非 法排污 A.①②③ B.①②④ C.①③⑤ D.③④⑤ 答案 C 解析 一般来说,汛期水量大幅度增加,增加了水体的生态流量,可降低污染物 浓度,但汛期出现污染物浓度大幅上升的情况,说明地表径流挟带了大量污染物 进入水体。其污染源主要是旱季地表藏污纳垢,雨季零存整取;汛期雨量过大, 超出污水处理厂的处理能力时,雨污混合水就会以溢流的方式直接排放;部分企 业趁雨季非法排污。城市生活排污和运输船舶产生的污染不会出现汛期和平时差 异大的情况。故①③⑤正确。 2.下列关于汛期水污染的防治措施,合理的是( ) A.汛期禁止污水排放 B.全面关停相关污染企业 C.利用遥感技术对汛期污染强度进行监测和预警 D.制定水污染事件应急处理方案 答案 D 解析 汛期水污染的防治措施最合理的是在汛期来临时,提前做好预案,制定水 污染事件应急处理方案,D正确;禁止污水排放、全面关停相关污染企业,这样 一刀切的做法不符合实际生活、生产情况,A、B 错误;利用遥感技术对汛期污 染强度进行监测和预警,不属于防治措施,C 错误。 3.阅读材料,回答下列问题。(12分) 下表为东北亚部分地区酸雨污染源及受害区域统计,数据由世界银行和亚洲开发 银行共同开展的酸雨调查分析得出,显示中、日、韩三国排放的污染物都不同程 度地对邻国造成了影响。污染源国(地区) 受害国(地区) 中国(北部) 日本 韩国 四国 28% 56% 13% 中部地区 3% 90% 3% 日本 北海道—东北地区 9% 79% 9% 关东地区 11% 78% 9% 近畿—关西地区 13% 66% 18% 北部 14% 0 80% 首尔—仁川 13% 0 84% 韩国 南部 9% 0 88% 釜山 4% 1% 93% (1)酸雨如何影响日本和韩国的自然环境安全?(6 分) (2)简述针对三国跨区域大气污染问题,该区域国家在国际合作方面可采取的主要 措施。(6分) 答案 (1)酸雨使河湖水酸化,破坏水体生态系统;使土壤酸化,肥力下降;腐蚀 树叶,使光合作用受阻,影响森林生长,林木成片死亡;土壤、水体、森林中的 动物和微生物因生存环境恶化、食物减少而大量死亡。 (2)加强环境管理合作,定期召开高层环境会议,签署双边或多边环境协议;共享 节能和污染治理技术;发达国家向欠发达国家提供资金和技术支持,共同治理环 境污染。 解析 第(1)题,结合酸雨对水、大气、土壤和生物及微生物环境的影响分析。第 (2)题,必须加强国际合作,通过高层双边或多边协议、技术交流与协作、发达国 家向欠发达国家提供资金和技术支持等方式进行跨区域大气污染问题治理。 主题 5 碳排放与全球气候变暖 1.自然界中的碳循环与温室效应2.全球气候变暖对国家安全的影响 3.碳减排的对策 【高考曾这样考过】(2023·海南卷,7~8)气候变化造成的不利影响在空间分布上是不均匀的,一些低 收入国家和地区因全球变暖引起海平面上升而受到不利影响,他们的碳排放总量 和人均量都很小,但其自然环境和社会经济受到的影响很大。据此完成1~2题。 1.以下区域中,此类国家和地区主要分布在( ) A.欧洲西部 B.南太平洋 C.南美洲中部 D.中亚地区 答案 B 解析 结合材料可知,一些低收入国家和地区因全球变暖引起的海平面上升而受 到不利影响,此类国家和地区主要是指南太平洋上的岛国,该区域地势低平,海 平面上升易淹没该区域的国家和地区,B正确。欧洲西部为世界经济发达区域, 大多为高收入国家和地区,A错误;南美洲中部地势较高,受海平面上升产生的 不利影响较小,C 错误;中亚地区地处内陆,远离海洋,受海平面上升产生的不 利影响很小,D错误。 2.为减缓上述不利影响,下列措施中合理的是( ) A.禁止发达国家碳交易 B.加大区域间产业转移力度 C.加强碳减排国际合作 D.鼓励发展中国家大量移民 答案 C 解析 加强碳减排国际合作有利于减少人类碳排放总量,减轻温室效应,缓解全 球变暖,进而减缓海平面上升带来的不利影响,C 正确。碳交易可促进发达国家 减少碳排放,利于缓解全球变暖,A错误;加大区域间产业转移力度只能使碳排 放量大的企业从一地转移至另一地,但碳排放总量没有发生变化,B 错误;鼓励 发展中国家大量移民会影响世界人口分布,但并不能控制碳排放,D错误。 【高考还会这样考】 (2023·河北石家庄调研)碳强度是指单位GDP 的二氧化碳排放量。一般情况下,碳 强度指标是随着技术进步和经济增长而下降的。下图为“2010~2019年北京与全 国碳强度变化趋势图”。据此完成1~2题。1.关于图中信息的说法,错误的是( ) A.全国和北京的碳强度均呈现下降趋势 B.北京的碳强度明显优于全国,呈现更好的低碳发展状态 C.北京碳强度与全国碳强度的比值从2010年的0.36下降到2019年的0.25 D.2010 年后,全国的碳排放量比北京下降更快 答案 D 解析 由材料可知,碳强度是指单位 GDP 的二氧化碳排放量,数值越小,说明单 位GDP 二氧化碳排放量越少。据图可知,全国和北京的碳强度均呈现下降趋势, A 说法正确;北京的碳强度更小,能呈现更好的低碳模式,B 说法正确;北京碳 强度与全国碳强度的比值,从2010年的0.36下降到2019年的0.25,C 说法正确; 2010年后,北京与全国的比值呈下降趋势,说明北京碳排放量比全国下降更快, D说法错误。根据题意,故选D。 2.下列北京降低碳排放总量采取的合理举措有( ) ①调整能源结构 ②产业转型和升级 ③分散非首都职能 ④推广新能源汽车 ⑤降低能源消耗总量 A.①②③⑤ B.①②③④ C.②③④⑤ D.①③④⑤ 答案 B 解析 调整能源结构、产业转型和升级、分散非首都职能、推广新能源汽车,都 能降低温室气体的排放量,①②③④正确;降低能源消耗总量不利于经济的持续 发展,⑤不合理。综上所述,B 正确,A、C、D错误。 (2023·广东梅州一模)大西洋经向翻转环流系统(AMOC),是指赤道附近的暖海水 向欧洲北部流动,在高纬度海域受到冷海水的影响导致密度增加,致使其下沉到 深海并回流至大西洋低纬度海域。研究表明,全球气候变暖将显著影响大西洋经向翻转环流系统的势力。下图为大西洋经向翻转环流系统的示意图。据此完成3~ 4题。 3.全球变暖背景下,AMOC 的势力将( ) A.变弱 B.变强 C.不变 D.强弱交替 答案 A 解析 全球变暖,高低纬度间气温差减小,气压差减小,西风带势力减弱,表层 海水向北传送减弱,导致深层环流减弱,AMOC 的势力减弱,A正确,B、C、D 错误。 4.另有研究表明,全球变暖背景下 AMOC 势力的变化也会加速气候变暖,可能的 理由是( ) A.低纬海域输送热量增多 B.高纬度海洋冰面减少 C.向深海输送的热量减少 D.大气中温室气体增多 答案 C 解析 在全球变暖背景下,当AMOC 势力较强时,大量大气中的热量被环流带入 了深海中,一定程度上可以减少大气中热量;当AMOC 减弱时,大气中的热量被 环流带入深海的量减少,从而使得全球变暖,C 正确;低纬海域输送热量增多与 AMOC 变化无关,A 错误;高纬度海洋冰面减少对AMOC 势力变化影响不大,B 错误;大气中温室气体增多与AMOC 无关,D错误。 主题 6 生态保护与国家安全1.正确认识生态脆弱区 (1)从成因看 生态脆弱区的生态系统抗干扰能力弱、易于退化且难以恢复,往往是气候变异以 及人类不合理的经济活动对其脆弱的生态产生强烈干扰,造成生态系统的破坏。 (2)从分布看 生态脆弱区往往具有过渡性特征,主要分布在干湿交替、农牧交错、水陆交界、 森林边缘、沙漠边缘等地区。 (3)从表现看 生态脆弱区的土地易退化,呈现出荒漠化景观,不同的区域呈现出不同的表现。 土地退化表现 我国主要的分布地区 土地沙化 “三北”地区 土壤侵蚀 黄土高原地区、南方低山丘陵地区 石漠化 南方喀斯特地区 土壤盐碱化 西北干旱灌溉区、华北半湿润区 土壤肥力下降 东北平原黑土分布区 2.生态脆弱区环境问题成因及治理 (1)以位置推“病”因——区域环境决定区域生态问题 思路如下: 位置 → 生态问题 ← 原因 例如: (2)找方法对症下药——根据成因提出土地荒漠化的治理措施 思路如下: 生态问题 → 成因 → 措施例如: (3)分析区域生态环境问题治理措施的角度 ①退:退耕还林、还草、还牧、还湖。 ②建:建设自然保护区、生态走廊、草方格沙障、森林公园、淤地坝工程等。 ③改:改变经济结构,改坡地为梯田。 ④法:健全环保法律和法规;加强管理和执法力度。 3.自然保护区 (1)设立自然保护区的意义 (2)自然保护区对维护国家生态安全的意义 ①遏制生态恶化、维持自然稳定; ②保障国民经济发展的潜在战略资源需求; ③是生态保护、人工种苗繁育和生态修复技术研发的基地; ④是培养公众生态文明观、提高公众环境保护意识和科学文化素质的重要科普与 宣传教育平台。【高考曾这样考过】 (2023·1月浙江卷,5~6)生态系统生产总值(GEP)是指生态系统能够为人类生活和 社会发展提供的最终产品与服务价值的总和,由物质产品、调节服务和文化服务 构成,2019年海南热带雨林国家公园GEP 高达2045亿元,其各项价值量占比如 图所示。完成1~2题。 1.属于图中“其他”项目的是( ) A.农林产品 B.科普教育 C.休闲旅游 D.净化空气 答案 D 解析 净化空气属于调节服务功能,D正确;农林产品属于物质产品,A 错误; 科普教育属于文化服务,B 错误;休闲旅游属于文化服务,C 错误。 2.该公园GEP 高的主要原因是( ) A.土壤肥力高 B.科研价值高 C.森林面积大 D.纬度跨度大 答案 C 解析 海南位于热带地区,以热带季风气候为主,受海洋影响较强,降水较多, 森林面积广阔,能够提供的生态系统生产总值较高,C 正确;土壤肥力、科研价 值对于海南岛生态系统生产总值影响较小,A、B 错误;海南岛纬度跨度较小,D 错误。 3.[2023·湖北卷,18(2)(3)]阅读图文材料,完成下列要求。(12 分) 四川绵(竹)茂(县)公路属于汶川地震灾后恢复重建项目,于 2009年9 月 9日正式 动工,2022年12月27日建成通车。公路起于绵竹市汉旺镇,沿绵远河上行,与 茂北公路相接,全长56千米。沿线穿越龙门山4条断裂带,岩石破碎,暴雨多发, 地质灾害频繁,河道演变剧烈,水文条件复杂,给项目选线、设计和施工建设带 来严重影响。图1示意绵茂公路位置,图2示意绵茂公路局部景观。图1 图2 (1)绵茂公路不可避免地要穿越大熊猫国家公园,工程该如何协调建设与保护的关 系?请谈谈你的看法。(6分) (2)该工程攻克了一系列世界级难题,创造了又一个中国奇迹,被新华社评为2021 年度“大国工程”。假设你是评委,请你给出推荐理由。(6分) 答案 (1)协调多部门,建立有序的管理机制,统筹交通建设与生态保护的关系; 规划路径时尽量以桥梁、隧道代路,减少对大熊猫栖息地的分割;施工期间减少 破坏林地、渣土堆放,控制施工时间和范围;运行时加强巡护,控制车速,在大 熊猫活动期间可以局部封路。 (2)攻克了若干设计、工程与运维技术难题;实现了交通建设与生态保护的统筹; 为生态脆弱地区基础设施建设与经济发展提供中国经验;通过保护“国宝”熊猫, 展示了负责任的大国形象,体现中国智慧、中国力量。 解析 第(1)题,协调林业等多部门,建立有序、有效的管理机制,统筹交通建设 与生态环境保护的关系;规划交通线路时尽量减少对生态环境影响,以桥梁、隧 道代路,减少对大熊猫栖息地的分割、干扰;施工期间减少破坏林地、渣土堆放, 减少对大熊猫的生活环境的破坏,严格控制施工时间和施工范围;交通线路运行 时,要加强巡护,控制车速,及时监测交通线路运行对大熊猫生活的影响;在大 熊猫活动期间可以局部区域封路,停止施工,减少对大熊猫生活活动的影响。第(2) 题,由材料可知,该工程克服了复杂的地质和水文障碍,技术难度大。结合上题可知,该工程实现了公路建设与生态保护的统筹,为相似地区的基础设施建设提 供经验等。 【高考还会这样考】 (2023·四川绵阳三模)蒙古国地处亚欧大陆内部。甲地位于蒙古国中东部一平坦河 谷,植被覆盖较高,但年输沙量很大。下图为甲地近地面一年中风沙流输沙量随 高度的累积分布图。据此完成1~3题。 1.甲地防控风沙流的关键高度是( ) A.0~20cm B.21~40cm C.41~60cm D.61 cm 以上 答案 A 解析 读图可知,在 0~20 cm 的高度,输沙累积增加最快,占比达 60%以上, 说明风沙流主要来自该高度,应是防控的关键高度。 2.甲地防控风沙流的有效生态措施是大量种植( ) A.灌木和乔木 B.草本和灌木 C.草本和乔木 D.藤本和水生 答案 B 解析 蒙古国属于温带大陆性气候,降水少,适宜草本和灌木生长,同时其生长 高度与风沙流发生的主要高度(0~35cm)一致,防控效果好。 3.甲地植被覆盖较高,但年输沙量很大,表明其( ) A.气候极为干旱 B.土壤表层含水量较大 C.水土流失严重 D.生长季与风季不一致 答案 D解析 该地为季节性植被,河谷地带夏半年热量、水分条件好,植被覆盖率高、 土壤含水量大而不易起沙;但冬春季节土壤干燥,植被少,在大风作用下扬沙严 重而年输沙量大。 主题 7 水土流失 1.水土流失的成因及治理措施 2.水土流失的危害 从表面上看,水土流失表现为土壤侵蚀,但水土流失过程是地貌、土壤、生物、 水文统一变化的过程。如下图所示:3.水土流失治理措施的分析方法 (1)工程技术措施:主要是采取土石方及混凝土工程等措施来控制、固定水土流失 状况,使其不再继续发生和发展。 (2)生物技术措施:主要是采取植树种草、封山育林等植被绿化的方法进行治理。 (3)农业技术措施:主要是应用农业生产耕作中的农业技术手段,如土壤培肥、品 种改良、间作轮作、套种耕作、提高复种指数等。 【高考曾这样考过】 (全国Ⅰ卷,1~3)治沟造地是陕西省延安市对黄土高原的丘陵沟壑区,在传统打 坝淤地的基础上,集耕地营造、坝系修复、生态建设和新农村发展为一体的“田 水路林村”综合整治模式,实现了乡村生产、生活、生态协调发展(下图)。据此 完成1~3题。 1.与传统的打坝淤地工程相比,治沟造地更加关注( ) A.增加耕地面积 B.防治水土流失 C.改善人居环境 D.提高作物产量 答案 C解析 与传统的打坝淤地工程相比,治沟造地是集耕地营造、坝系修复、生态建 设和新农村发展为一体的“田水路林村”综合整治模式,其更加关注改善人居环 境,A、B、D是传统的淤地坝也具有的功能,选 C。 2.治沟造地对当地生产条件的改善主要体现在( ) A.优化农业结构 B.方便田间耕作 C.健全公共服务 D.提高耕地肥力 答案 B 解析 抓住关键词“生产条件”,优化农业结构、健全公共服务和提高耕地肥力 不属于生产条件。由于治沟造地是“田水路林村”综合整治模式,不是单纯淤地 坝的功能,还增加了“水、路、林、村”多项功能,尤其是铺设了道路、平整了 土地,为农机具进地提供了便利条件,方便田间耕作,选B。 3.推测开展治沟造地的地方( ) ①居住用地紧张 ②生态环境脆弱 ③坡耕地比例大 ④农业生产精耕细作 A.①③ B.①④ C.②③ D.②④ 答案 C 解析 图中信息提示:复垦空废宅基地和易地移民搬迁,说明该地居住用地不紧 张;精耕细作不是在该地区实施的农业生产模式;治沟造地属于生态修复,对生 态环境脆弱、坡耕地比例大的区域效果明显,②③正确,选C。 【高考还会这样考】 (2023·湖南雅礼中学模拟)阅读图文资料,完成下列要求。(16分) 材料一 土壤侵蚀与年降水量关系(图a)、土壤侵蚀与森林覆盖率关系(图b)。 材料二 黄土高原降水分布(图c)和图c中乙所在省北部某县某年的经济结构表。乙所在省北部某县某年的经济结构 类型 比重(%) 三次 第一产业 第二产业 第三产业 产业 27.6 46.1 26.3 种植业 畜牧业 渔业 其他 农业 68.5 27.7 1.0 2.8 重工业(包括采掘业) 轻工业 工业 67.0 33.0 (1)结合图b,分析说明图a中土壤侵蚀与年降水量之间的关联性。(6 分) (2)结合材料二,分析说明该县可能存在的环境问题。(6 分) (3)有关学者提出了黄土高原水土流失的两种治理方案: 方案Ⅰ:以工程措施如修建梯田、修建淤地坝为主;同时种植低矮的灌木和恢复 草坡。 方案Ⅱ:以生物措施为治理侵蚀的主要措施;但必须与梯田、淤地等工程措施相 结合。 请你在图 c的甲、乙两地区中任选一地,选择该地合理的水土流失治理方案。并 阐明选择方案的理由。(4分) 答案 (1)降水量小于450 mm时,森林覆盖率低,土壤侵蚀强度随降水量的增加 而快速增强;年降水量大于 450 mm 时,森林覆盖率会随降水量的增加剧增,土 壤侵蚀强度随降水量的增加(和森林覆盖率增大)而迅速减弱;降水量大于600mm 时,森林覆盖率高,土壤侵蚀强度变化不大(相对比较稳定)。 (2)该县第一产业比重过高,且种植业和畜牧业比重偏高,会出现过度开垦、过度 放牧等现象,造成地表植被破坏,水土流失加重;该县重工业(包括采掘业)比重很高,如果在矿产资源的开发利用过程中不注意环境保护,就会出现地表植被破 坏,水土流失加重,同时还会出现环境污染严重等问题。 (3)甲地应选择方案Ⅱ。 理由:甲地降水超过 450 mm,提高森林覆盖率,能降低土壤侵蚀强度,在降水 量较大地区恢复植被比较容易;但在坡度较大的沟坡应采取相应的工程措施。 乙地应选择方案Ⅰ。 理由:乙地降水量小于450mm,植被生长的降水条件较差,(在降水量接近450mm 的地区仍有较强的侵蚀力)应以工程措施为主,降水量较小,选择需水较少的灌木 和草坡更适宜。 解析 第(1)题,要结合图b来分析图a内容,分析土壤侵蚀时,要考虑与年降水 量的关系,同时还要考虑森林覆盖率的因素,而森林覆盖率与年降水量呈正相关; 图 a 显示年降水量在 450mm 以下时,森林覆盖率低,随着降水量的增加,土壤 侵蚀快速增强;在年降水量介于 450 mm 至 600 mm 之间时,土壤侵蚀强度又随 降水量的增加而快速下降;在降水量大于 600 mm 时,森林覆盖率高,土壤侵蚀 稳定在低水平。第(2)题,从表中可看出第一产业中种植业、畜牧业比重高,而该 地降水较少,则植被以草地为主,易出现植被破坏和水土流失现象;同时重工业(采 掘业)比重高,开矿易造成植被破坏,还会出现环境污染等问题。第(3)题,甲、乙 两地的区别在于年降水量的差异,在年降水量大的甲地水分条件较好,应以生物 措施为主恢复植被,沟谷内水土流失量大,应结合工程措施;乙地年降水量较小, 水分条件较差,以工程措施为主,结合种植需水量较小的灌木和草本植物,符合 因地制宜的原则。 主题 8 湿地 1.湿地的含义(1)湿地的定义:水位经常接近地表或为浅水覆盖的土地。 天然湿地:沼泽、滩涂、低潮时水深 (2)湿地的 不超过6米的浅海区、河流、湖泊等 分类 人工湿地:水库、稻田等 地表常年或经常有水,属于陆地与水 (3)湿地的 体之间的过渡带 特点 分布广泛,类型多样 2.湿地的形成原因 湿地形成必备条件:来水较多,地势低洼。其他条件:蒸发较少,不易下渗。如 下图所示: 3.湿地的功能 4.湿地破坏 (1)破坏的原因 ①自然原因:沉积物自然充满湖沼;全球变暖,气候干旱,蒸发量大,冰川退缩, 水量减少。 ②人为原因:环境污染、围湖(海)造田,围海养殖、填海造陆;引水灌溉以及河 流的截流改向、排水开荒、各种建设占用、植被破坏造成的土地荒漠化。 (2)造成危害气候恶化:降解污染物(净化污染物)的能力减弱;旱涝灾害频发;水污染严重; 影响农作物产量与品质;影响人类身体健康;栖息地减少,食物来源减少,生物 种类减少;矿化度升高,水质变差。 5.湿地的保护措施 下图为不同类型湿地的具体保护措施: 【高考曾这样考过】 (2023·6月浙江卷,17~18)在“双碳”目标背景下,湖泊湿地的生态修复是个重 要的固碳举措。下图为湖泊湿地碳循环示意图。完成1~2题。 1.植物多样性增加对湖泊湿地固碳作用的影响是( ) A.土壤碳含量降低 B.根系吸碳量减少 C.碳净排放量降低 D.微生物活性减弱 答案 C 解析 植物多样性增加将增强光合作用,植物碳库的碳含量增加,土壤碳含量升 高,A错误;根系可吸收水、有机质、无机盐,不能吸收碳,呼吸作用可能排出 碳,B错误;植物多样性增加,通过光合作用吸收的二氧化碳增多,碳净排放量 降低,C 正确;植物多样性增加,微生物活性增强,D错误。故选C。 2.下列对湖泊湿地生态修复的措施,合理的是( ) A.减少湖滨植物,清除入湖污染物B.放生外来物种,增加生物多样性 C.降低湖面水位,重建微生物群落 D.改变湿地地形,建设生态缓冲岛 答案 D 解析 湖滨植物具有净化水质、增加生物多样性、释氧吸碳等作用,减少湖滨植 物不利于湖泊湿地生态修复,A 错误;外来生物往往因缺少天敌,可能造成物种 入侵,破坏生态环境,生物多样性可能减少,B 错误;降低湖面水位,水体减少, 水体的生态功能降低,不利于湖泊湿地生态修复,C 错误;借鉴珠江三角洲的基 塘农业,把浅的湿地淤泥挖掘堆放到地势较高的地方,建设生态缓冲岛,使湿地 容量增大,水体增多,同时形成水生陆生植被,湿地生态系统更加复杂和稳定, 从而起到有效的生态修复作用,D正确。故选D。 【高考还会这样考】 (2023·山东聊城二模)滨海湿地是受人类活动影响最显著的地区之一,湿地面积的 变化与不同的人类活动强度密切相关,山东渤海滨海地区的人工湿地主要包括水 库、池塘、盐田和养殖池等。下图示意山东渤海滨海地区1990~2019年不同时间 湿地面积演变与人类活动强度的关系。据此完成1~2题。 1.导致该区域较高和高强度区湿地面积变化的是( ) A.池塘 B.滩涂 C.耕地 D.盐田 答案 D 解析 山东渤海滨海地区,人类活动对池塘、滩涂水域面积的影响较小,A、B 错误;该地区土地盐碱化严重,耕地较少,C 错误;该地区盐田较多,利用海水 晒盐,人类活动对其影响较大,强度较高,D正确。 2.据图分析,关于湿地面积和人类活动强度的描述,不正确的是( ) A.低强度区湿地面积不断减少但总量较多B.高强度区湿地面积总量较少但不断增加 C.强度越高地区,湿地面积变化越不稳定 D.人工湿地显著增加,自然湿地显著减少 答案 C 解析 由图可知,低强度区湿地面积不断减少但总量较多,A 不符合题意;高强 度区湿地面积总量较少但不断增加,B 不符合题意;湿地面积变化最不稳定的是 低强度区,C 符合题意;低强度区湿地面积不断减少说明自然湿地显著减少,高 强度区湿地面积不断增加说明人工湿地显著增加,D不符合题意。 (2023·山东烟台一中模拟)沼泽湿地积水深度的变化反映着湿地蓄水量的变化,而 湿地蓄水量的变化则是湿地水分收支变化的结果。下图为“实测的 1997~1999 年植物生长季三江平原某沼泽试验场湿地积水深度变化折线图”。据此完成3~4 题。 3.1997年5月~1999年9月,该沼泽试验场( ) A.水分收支大致平衡 B.水深逐渐下降 C.蓄水量一直减少 D.5 月初水位稳定 答案 D 解析 该地区沼泽积水深度波动变化,但1997年5月~1999年9月之间的每年5 月初的水位基本相同,表明每年5月初的水位很稳定,D正确;该地区1997年5 月水位较高,1999年9月时积水深度为0,整体呈下降趋势,水分收支不平衡, A 错误;沼泽积水深度波动变化,1998年的 5~8 月积水深度呈波动下降,8~9 月呈波动上升,B 错误;在1998年8月积水深度有明显上涨,蓄水量增加,C 错 误。 4.由图推测,该地( ) ①生物多样性减少 ②气候变率减小 ③水质趋于恶化 ④湿地面积减少A.①②③ B.②③④ C.①②④ D.①③④ 答案 D 解析 沼泽水位下降,生物调节功能减弱,生物多样性减少,①正确;沼泽水位 下降,水域面积波动较大,气候变率增大,②错误;沼泽水位下降,水体更新慢, 水域自净能力减弱,水质趋于恶化,③正确;沼泽水位下降,周围流域干涸,被 开垦的可能性加大,湿地面积减少,④正确。选D。 主题 9 土地盐碱化 1.形成过程 地下水位上升,盐分进入到土壤;后随着蒸发,盐分在土壤表层积累。 2.形成原因 气候 比较干旱,降水少,蒸发量大 自然 地形 地势低洼,排水不畅 原因 地下水 地下水位高,接近于地表,促使积盐 人为 ①不合理的灌溉(如,只灌不排、大水漫灌),地下水位升高,盐分被带到 原因 地表。②沿海地区过度抽取地下水,围垦养殖导致海水入侵(海水倒灌) 3.变化规律 (1)春、秋季有旱情,春、秋季积盐(盐分在地表积累)。 (2)夏季降水多,夏季淋盐(地表盐分随雨水下渗至地下深处)。 (3)冬季相对稳定,变化不大。 4.危害5.防治措施 (1)原则:控制水盐运动。 (2)措施 【高考曾这样考过】 (2021·福建卷,9~10)罗布泊地区原为湖泊,是塔里木盆地的汇水与积盐中心之一, 干涸过程中盐壳(盐分在地表集聚形成的坚硬壳状物质)广泛发育。下图示意罗布 泊地区内相邻且不同海拔的甲、乙、丙三处地下水埋深、盐壳厚度和含盐量。据 此完成1~2题。 1.甲、乙、丙三处盐壳形成的先后顺序依次是( )A.甲乙丙 B.甲丙乙 C.乙甲丙 D.乙丙甲 答案 B 解析 一般情况下,距湖越近的地区,地下水埋深越浅,距湖越远地下水埋深越 深。根据地下水埋深图可推知,甲距离湖泊最远,乙距离湖泊最近,丙在甲、乙 之间。湖泊的干涸使湖面逐渐降低,距离湖泊越远意味着形成盐壳的时间越早, 所以形成盐壳的先后顺序是甲丙乙,选B。 2.丙处盐壳刚开始形成时,甲、乙、丙三处中( ) A.甲处降水量最多 B.甲处地下水位最高 C.乙处蒸发量最多 D.丙处地表温度最高 答案 C 解析 丙处盐壳刚开始形成时,乙处还是湖泊,水面的蒸发量最大,选 C。甲距 离湖泊最远,地下水埋深最深,水位低,B 错;甲、乙、丙三地空间相邻,降水 量和地表温度的差异较小,A、D 错。 【高考还会这样考】 (2023·广东梅州模拟)土壤盐碱化是土地退化的一种重要形式,土壤盐碱化导致农 作物产量低下,土地资源无法可持续利用。黄土高原由于降雨量少、蒸发量高、 黄土呈碱性等特征,使得该地区土地容易发生盐碱化。下图示意黄土高原地区常 见的农业种植区。据此完成1~2题。 1.图中所示的农业种植区中最容易发生土壤盐碱化的地区是( ) A.坡耕地 B.坝地 C.黄土塬 D.黄土梁 答案 B 解析 坡耕地坡度大,排水条件好,地下水位低,不容易发生土壤盐碱化,A错 误;坝地内积水导致地下水位高,又因蒸发旺盛,易发生土壤盐碱化,B 正确; 黄土塬和黄土梁地势较高,地下水埋藏较深,C、D错误。2.针对上述区域的土壤盐碱化问题,可采取的有效应对措施是( ) A.加强沟道排水 B.修建水平梯田 C.加强土地平整 D.减少灌溉用水 答案 A 解析 坝地加强排水,控制地下水位,可以有效应对土壤盐碱化,A 正确;修建 水平梯田也容易产生土壤盐碱化,B 错误;加强土地平整是应对水土流失的措施, C 错误;减少灌溉用水可能无法保证农业生产,D错误。 (2023·山东潍坊模拟)苏打盐碱土(盐分为Na CO 和NaHCO )在我国松嫩平原西部 2 3 3 地区广泛分布,由于长期的排水不畅,区域内土壤水分运动以上行为主,积盐作 用强烈。它以透水性差、碱性强为主要特点,是世界上最难治理的一类障碍性土 壤。据此完成3~4题。 3.形成松嫩平原西部苏打盐碱土的主要因素是( ) A.地形 人类活动 B.地形 水文 C.植被 人类活动 D.水文 植被 答案 B 解析 根据材料可知,长期的排水不畅导致区域内土壤水分运动以上行为主,积 盐作用强烈,可知形成松嫩平原西部苏打盐碱土的主要因素是地形和水文,B 正 确;结合材料,该地区的盐碱化与人类活动、植被的关系较小,A、C、D错误。 4.松嫩平原西部的低洼地区冻融作用对土壤中盐分运移也有重要的推动作用,其 中冻结期内土壤盐分的移动规律最可能是( ) A.随地下水向上运移,向冻结区汇集 B.随地下水向下运移,向冻结区汇集 C.随地下水向上运移,向未冻结区汇集 D.随地下水向下运移,向未冻结区汇集 答案 A 解析 土壤冻结时,水分由暖区向冷区上移,盐随水走,盐分也上移,所以土壤 盐分随地下水向上运移,向冻结区汇集,导致该地区土壤盐碱化,A正确,B、C、 D错误。主题 10 生态修复 1.概念 利用自然环境自身恢复能力或辅以人工措施,使受损的生态系统逐步恢复或趋向 良性循环。 2.类型 (1)自然修复:使未完全崩溃的生态系统,从退化或破坏状态中逐步恢复,维持其 可更新能力。 (2)人工修复:加快生态系统的恢复速度,或帮助丧失自我调节能力的生态系统恢 复到安全水平。 3.措施 (1)退化坡面生态系统的生态修复 ①退化耕地生态系统的生态修复:少施化肥,增施农家肥料;种植绿肥植物,增 加固氮作物品种;轮作、套作,间种、混种;减少化学防治,增加生物防治;种 植等高植物篱等。 ②退化林地、草地、荒地生态系统的生态修复:在封禁的基础上,补种乡土树种、 草种。封禁时间的长短因生态系统类型、受损程度、气候等因素的不同而不同, 一般来说,乔木林、灌木林、草地生态系统分别为8年以上、5~8年、3~5年。 (2)退化河流生态系统的生态修复 在土壤侵蚀地区,导致河流退化的因素主要有修路、开矿、樵采、河岸放牧、化 肥与农药的面源污染、工业废水与生活污水的点源污染、过度捕鱼等。对这些因 素所导致的退化河流生态系统进行生态修复,最重要的是减轻或解除导致河流生 态系统退化的因素,让河流休养生息。 (3)内陆河流域退化绿洲生态系统的生态修复 合理开发利用水资源,实施生态应急补水工程,至少要满足天然绿洲生态系统最 小生态需水量;合理调整土地利用结构,适当减少人工绿洲面积,使人工绿洲和 天然绿洲面积比例调整到1∶1左右。 (4)退化矿山生态系统的生态修复 该生态系统的土壤、植物等组分完全受损,缺乏植物生长所需要的营养元素。对这种严重退化的生态进行生态修复,可采取的方法有覆盖土壤;对土壤进行物理 处理,添加营养物质,去除有害物质;种植适应性强的先锋树种或草种、间种乡 土树种或草种。 【高考曾这样考过】 (2023·1月浙江卷,17~18)辽河口湿地生长着一种耐盐碱的一年生草本植物—— 翅碱蓬。翅碱蓬在维护湿地生态系统方面具有重要作用,其生长与潮滩湿地水体 盐度显著相关。下图为辽河口潮滩植被分布示意图。完成1~2题。 1.辽河口潮滩植被演替的总体趋势是( ) A.翅碱蓬—芦苇—光滩 B.翅碱蓬—光滩—芦苇 C.光滩—芦苇—翅碱蓬 D.光滩—翅碱蓬—芦苇 答案 D 解析 读图可知,从海洋向陆地植被的总体变化为光滩—翅碱蓬—芦苇,随着泥 沙淤积,潮滩向海洋拓展,植被演替的总体趋势与海洋到陆地的变化相同,为光 滩—翅碱蓬—芦苇,D正确。 2.针对辽河口翅碱蓬退化,较可行的生态修复措施是( ) A.潮滩上建水库蓄淡水 B.修建防潮大坝围垦潮滩 C.调控辽河入海径流量 D.人工大面积种植翅碱蓬 答案 C 解析 翅碱蓬的生长与潮滩湿地水体盐度显著相关,因此较为可行的生态修复措 施是调控潮滩水体盐度,潮滩地区的盐度与河流径流量汇入密切相关,因此调控辽河入海径流量是可行的,C 正确;潮滩上建水库蓄淡水、修建防潮大坝围垦潮 滩都不能很好地调控潮滩湿地水体盐度,且易对生态环境造成不利影响,A、B 错误;人工大面积种植翅碱蓬需要耗费大量人力财力,不能从根本上进行修复, 且易对周围生态环境造成一定破坏,D错误。 【高考还会这样考】 (2023·山东师大附中高三模拟)桑干河是永定河的重要源头,山西省境内流域面积 约占永定河总流域面积的40%。近10年来,永定河主要河段年均干涸120多天, 生态系统严重退化。2017年6月,山西省启动桑干河生态补水工程,黄河水经万 家寨引黄工程流入桑干河,接着汇入永定河,这是黄河水首次跨流域生态补水。 下图示意桑干河的位置。据此完成1~2题。 1.山西省实施桑干河生态补水工程可以( ) A.扩大永定河流域面积 B.减少桑干河水土流失 C.打通黄河新入海通道 D.保障北京水资源安全 答案 D 解析 根据图文材料可知,桑干河是永定河的重要源头,永定河是北京的“母亲 河”,对桑干河生态补水有助于保障北京水资源安全,D 正确;对桑干河进行生 态补水不会扩大永定河的流域面积,A错误;该补水工程没有增加植被覆盖率, 不能减少桑干河的水土流失,B 错误;桑干河生态补水工程是黄河水经万家寨引 黄工程流入桑干河,接着汇入永定河,没有改变黄河的入海通道,C 错误。 2.桑干河中上游流域属于农牧交错地带,山西省在桑干河流域实施永定河生态修 复的有效措施有( ) ①调整农业生产结构,大力推行退耕还草 ②应用高效节水设施,压减农业灌溉用水③实施人口异地搬迁,减少生活生产用水 ④大量开采流域的地下水 A.①② B.①③ C.②④ D.③④ 答案 A 解析 桑干河中上游流域属于农牧交错带,大力推行退耕还草,可以增加植被覆 盖率,防治水土流失,①正确;使用高效节水设施,压减农业灌溉用水,提高水 资源利用率,有利于保护水资源,减少浪费,②正确;山西省的人口稠密,不适 宜异地搬迁,③错误;过度开采地下水会形成地下水漏斗区,产生地面沉降,④ 错误。故选A。 (2023·江西上饶期末)玛曲县位于甘肃省甘南藏族自治州西南部,青藏高原东端, 黄河第一弯曲处。黄河进入玛曲时的年径流量仅占黄河年总流量的20%,而黄河 流出玛曲时的年径流量已达黄河年总流量的 65%。玛曲湿地被称为“黄河蓄水 池”。自 20 世纪 90 年代以来,玛曲湿地大面积萎缩,沼泽面积减少近 2/3。近 年来,玛曲县实施重大生态保护修复工程,取得了显著成效。据此完成3~4题。 3.玛曲湿地形成的原因不包括( ) A.地处高纬度地区,蒸发量较小 B.年降水量较多 C.地下冻土层导致地表滞水 D.地势低洼,河道弯曲 答案 A 解析 玛曲湿地在 34°N 附近的青藏高原,位于中纬度地区,A 说法错误;该地 区年降水量较多,B 说法正确;该地区海拔高,气温低,冻土广布,地下冻土层 导致地表滞水,C 说法正确;该地区地形平坦,地势低洼,河道弯曲,排水不畅,D说法正确。 4.生态修复后对玛曲以下黄河水环境的影响有( ) ①水温下降,结冰期延长 ②涵养水源,径流量季节变化减小 ③蒸发量减少, 河流径流增加 ④含沙量减少,水质改善 A.①② B.①③ C.③④ D.②④ 答案 D 解析 生态修复后,湿地的生态功能得到恢复,如调节径流,径流量季节变化减 小;涵养水源,含沙量减少,净化水质等,②④正确。水温下降和湿地恢复关系 不明显;蓄水量增加,水域面积扩大,蒸发量增加,①③错误。故选D。 综合提升练 一、选择题(在每小题给出的四个选项中,只有一项是符合题目要求的) (2023·湖北卷,10~12)藏色岗日位于羌塘高原(青藏高原主体)中北部。下表示意 2006~2015年藏色岗日不同朝向冰川数量和面积变化。完成1~3题。 2006年 2015年 冰川朝向 数量(条) 面积(km2) 数量(条) 面积(km2) 西北 18 22.3 19 21.9 北 12 13.4 12 12.9 东北 13 89.3 13 87.9 东 12 64.5 13 63.6 东南 5 9.4 5 9.1 南 5 72.9 5 72.2 西南 6 8.0 6 8.2 西 11 22.0 11 21.8 1.据表中数据分析可知,在2006~2015年期间,该区( ) A.北朝向冰川面积退缩率较南朝向小,平均面积较大 B.南朝向冰川面积退缩率较北朝向小,平均面积较小 C.北朝向冰川面积退缩率较南朝向大,平均面积较小 D.南朝向冰川面积退缩率较北朝向大,平均面积较大答案 C 解析 结合表中数据分析可知,北朝向冰川的平均面积较小,南朝向冰川的平均 面积较大,A、B 错误;北朝向的冰川面积退缩率较南朝向大,C 正确,D错误。 2.与其他朝向相比,西南朝向冰川面积增加,原因可能是( ) A.受全球变暖影响较小 B.受人类活动影响较小 C.山地植被覆盖率较高 D.受西风影响降水较多 答案 D 解析 西南朝向与其他朝向受全球变暖影响较为接近,A 错误;此处位于羌塘高 原,各区域人类活动较少,且冰川增加与山地植被覆盖率并无直接关联,B、C 错误;受西风影响,西南方向降水可能增多,冰川面积增加,D正确。故选D。 3.表中数据变化反映出,该区冰川整体上( ) A.保持稳定不变 B.处于退缩状态 C.正向山麓延伸 D.处于扩张状态 答案 B 解析 结合表中数据分析可知,藏色岗日的冰川整体上面积缩小,处于退缩状态, A、D 错误,B正确;冰川退缩时,面积缩小,并向高处后退,C 错误。 (2023·江苏如皋一模)稀土是宝贵的战略资源,广泛应用于尖端科技领域和军工领 域,我国在稀土采掘、冶炼、分离提纯等产业占据绝对领先地位。近年来,随着 国家对资源安全的关注,我国逐步加强了稀土出口管控。下图示意稀土产业链, 据此完成4~5题。 4.我国在稀土上游产业中具有明显的产业优势,其主要影响因素有( ) ①资源禀赋 ②交通条件 ③技术水平 ④劳动力成本 A.①② B.①③ C.②④ D.③④ 答案 B 解析 我国在稀土上游产业链中具有明显的产业优势,即赋存量和开采、分离提纯等方面有优势,对应的是资源禀赋和技术水平,①③正确;交通条件和劳动力 成本不属于上游产业链的重要因素,②④错误。B 正确,A、C、D错误。 5.近年来,我国加强稀土出口管控的主要原因是( ) A.稀土资源趋于枯竭 B.维护上游产业优势 C.保护有限稀土资源 D.促进企业节能减排 答案 C 解析 我国稀土矿产赋存量大,但近年来开采量不断减少,同时加强稀土出口管 控。这些措施为的是节约和保护这种重要的战略资源,A 错误,C 正确;维护上 游产业优势不需要减少产量,B 错误;促进企业节能减排可以通过工艺技术水平 的提高完成,D错误。 (2023·江苏常州高三检测)我国北方农牧交错带为典型生态脆弱带,对区域可持续 发展具有重要意义。某学者依据农业农村部界定的范围,并在此基础上进行改进, 将内蒙古河套区和宁夏河套区等地纳入了农牧交错带范围。左图为农业农村部界 定的农牧交错带县域范围,右图为改进后的农牧交错带县域范围。据此完成6~7 题。 6.与农业农村部界定的范围相比,改进后的农牧交错带侧重考虑的因素是( ) A.地形 B.热量 C.土壤 D.灌溉 答案 D 解析 划分种植区和畜牧区的重要标准是水分,题目中,将内蒙古河套区和宁夏 河套区等地纳入了农牧交错带范围,两者可以灌溉,改良了水分条件,故D正确, 因此排除A、B、C。 7.我国北方农牧交错带生态环境问题主要是( ) A.京津冀水源涵养区湖泊湿地破坏 B.大兴安岭东南麓地区土壤风蚀 C.黄土丘陵沟壑区的草地退化沙化D.长城沿线黑土退化,耕作层变浅 答案 B 解析 京津冀水源涵养区为山地,森林破坏严重,故A排除;黄土丘陵沟壑区主 要问题是水土流失,故C 排除;黑土主要分布在我国东北地区,故D排除;大兴 安岭东南麓地区地势起伏大,风力强劲,地表植被破坏,土壤风蚀加剧。因此B 正确。 (2023·山东潍坊一模)水华是淡水中藻类大量繁殖的水体富营养化现象,当水体含 有大量的营养物质(氮、磷等)和具有合适的水温时,藻类就会大量繁殖,使水体 呈现蓝色或绿色。巢湖位于长江中下游,是我国五大淡水湖之一。该湖入湖水系 众多,水体环境相对封闭,水体更新周期长,水华多发。下图示意巢湖分区及入 湖河流。据此完成8~9题。 8.推测巢湖水华最严重区域位于( ) A.中巢湖北部 B.中巢湖东南部 C.东巢湖东部 D.西巢湖西北部 答案 D 解析 西巢湖西北方向河流注入多,从陆地上带来的氮磷钾多,加之西北的河流 上游有大城市合肥,排放的含氮磷钾的生产生活污水多,故西巢湖的西北区域水 华严重,D正确;中巢湖、东巢湖注入的河流少,盐分注入少,水华较西巢湖轻, A、B、C 错误。 9.相比9月,7、8月巢湖水华较轻,原因可能是7、8月( ) ①治理力度加大 ②高温抑制藻类生长 ③降水稀释营养物质 ④排放到巢湖的 污水少A.①② B.②③ C.③④ D.①④ 答案 B 解析 相比9月,7、8月巢湖水华较轻,原因是7月、8月气温高,对藻类的生 长具有抑制作用,同时 7 月、8月较 9月降水多,稀释作用强,氮磷钾的含量较 少,②③正确;治理力度、排放的污水没有月份差异,①④错误。故B 正确,A、 C、D错误。 (2023·山东临沂一模)突尼斯(图1)东南部年降水量仅200mm左右,蚕豆为当地传 统农作物。过去,当地农民直接抽取浅层地下水进行随机灌溉,并不调节灌溉水 量及盐度。为提高蚕豆产量、降低对土壤的破坏,近年来农民通过配备淡水调节 灌溉用水。图2示意研究区不同灌溉模式下的蚕豆产量和土壤含盐量,其中100% 足额灌溉是指灌溉水量达到蚕豆蒸腾耗水量的100%,70%亏水灌溉是指仅提供相 当于蚕豆蒸腾耗水量70%的灌溉水量,以此类推。据此完成10~11题。 图1 图2 10.在调节灌溉用水情况下,不同灌溉模式土壤含盐量的差异主要取决于( ) A.作物蒸腾 B.地表径流 C.地表水下渗 D.地表蒸发答案 D 解析 作物蒸腾指作物根系把从土壤中吸入体内的水分,通过叶片的气孔扩散到 大气中的现象,它不会对土壤的含盐量造成影响,A 错误;干旱地区降水少,地 表径流和地表水下渗较少,主要是灌溉用水影响土壤盐分,B、C 错误;土壤含 盐量与地表蒸发强弱关系密切,旺盛的蒸发导致地下水盐分在地表积聚,含盐量 增加,D正确。 11.考虑投入、产出及对环境的影响,研究区综合效益最好的灌溉模式是( ) A.100%足额灌溉 B.70%亏水灌溉 C.40%亏水灌溉 D.传统随机灌溉 答案 B 解析 由图可知,100%足额灌溉的土壤,含盐量最低,蚕豆的产量最高;70%亏 水灌溉的产量略低于足额灌溉的产量,但土壤含盐基本一致,足额灌溉用水量大, 成本较高。综合比较,70%亏水灌溉综合效益最好,B 正确,A 错误。其他两种 灌溉模式产量低,土壤含盐量高,C、D错误。 (2023·江苏常州高三检测)20 世纪 90年代末,东北虎豹仅分布于中朝俄三国边界 线附近。2017年,我国依据东北虎豹集中分布和迁移扩散区划定了东北虎豹国家 公园,公园共划分出4个功能区(下图)。据此完成12~14题。 12.与东北虎豹国家公园所在区域主体植被特征相一致的是( ) A.根系发达 B.抗寒抗旱 C.垂直结构复杂 D.多革质叶片 答案 B 解析 由材料可知,东北虎豹国家公园纬度较高,水热条件较差,因此单位面积生物量少,又结合所学知识,东北虎和东北豹是红松针阔混交林的标志物种,所 以与东北虎豹国家公园所在区域主体植被特征相一致的是抗寒抗旱,B 对;旱生 植物为适应干旱环境,叶子退化为刺,根系发达,叶面有蜡质,茎粗大,不符合 东北虎豹国家公园所在区域主体植被(针阔混交林)特征,A 错;一般而言,气温 越高、降水越多的地方,植被高度越大,植物种类的数量越多,垂直结构越丰富, 不符合东北虎豹国家公园所在区域地理环境特征,C 错;亚热带常绿硬叶林分布 在地中海气候区,不符合东北虎豹国家公园所在区域主体植被特征,D错。故选 B。 13.影响划定东北虎豹国家公园中“特别保护区”的主要因素是( ) A.经济 B.地貌 C.位置 D.人口 答案 C 解析 读图并结合材料信息可知,特别保护区主要分布在中俄朝三国边界附近, 国家交界、距离东北虎豹主要分布区的远近的地理位置是划分特别保护区的主要 考虑要素;人口聚落的数量、密度和产业类型的会影响东北虎豹的分布,可根据 人口与聚落的相关因素划分镇域安全保障区等。综上所述,C 对,排除A、B、D。 故选C。 14.该国家公园内各功能区的发展定位正确的是( ) A.核心保护区是生态修复、改善栖息地质量和生态廊道的重点区域 B.特别保护区是开展自然教育、游憩、生态体验服务的主要场所 C.恢复扩散区是维护现有虎豹种群正常繁衍、迁移的关键区域 D.镇域安全保障区是林场职工和当地居民生产、生活主要区域 答案 D 解析 结合所学知识可知,核心保护区是东北虎豹目前主要分布和活动区,所以 发展定位应是维护现有虎豹种群正常繁衍、迁移的关键区域;恢复扩散区是根据 东北虎豹扩散迁移方向划分的,所以发展定位应是生态修复、改善栖息地质量和 生态廊道的重点区域;特别保护区主要分布在中俄朝三国边界附近,距离东北虎 豹主要分布区较近,所以不能定位为开展自然教育、游憩、生态体验服务的主要 场所;镇域安全保障区是人口聚落数量多、密度大和产业集中的地方,所以发展 定位应是林场职工和当地居民生产、生活的主要区域。综上所述,D对,排除A、B、C。故选D。 二、非选择题 15.(2023·湖北卷,17)阅读图文材料,完成下列要求。(18分) 西班牙加泰罗尼亚地区森林茂密,但多为结构相似的低龄次生林。该地区林冠层 主要由松树组成,光线可穿透到地面,促进了林下植物生长,这些植物富含油脂, 野火风险很高。研究人员在该地区开展了一项火灾应对试验项目,图1示意试验 区位置,图2示意项目技术方案。 (1)说明该地野火高发的原因。(4 分) (2)据图描述该项目技术方案,并分析这些策略对林下自然环境的影响。(8 分) (3)列举该方案的推广条件。(6 分) 答案 (1)夏季受副热带高压控制,高温干燥;森林茂密,枯落物积累多;植物富 含油脂,易燃。 (2)方案:冬季采用机械有选择性采伐部分林木,春季用机械移除地表枯枝落叶等 可燃物,通过放牧牲畜食草,减少地表枯落物的数量。 影响:减少地表枯落物数量,降低野火发生频率;利于减轻干扰,维持生态系统的稳定性;林下光照增加,利于幼苗萌发与群落更新;不利于枯落物归还,土壤 有机质含量降低。 (3)林下光照要充足;落叶具有季节性,相对集中;干湿季分明,湿季降水充足; 森林群落结构复杂;资金充裕。 解析 第(1)题,该地野火高发可以从当地的气候、植被等方面进行分析。当地气 候为地中海气候,夏季炎热干燥,森林茂密,枯枝落叶多且富含油脂,易发火灾。 第(2)题,根据图示可以判断该项目的技术方案为冬季机械疏伐,春季移除易燃物, 引入食草动物放牧。对林下自然环境的影响可以从对林下环境、野火发生频率、 土壤肥力和生态环境的影响进行分析。第(3)题,主要从自然条件(气候、植被等) 和经济条件(资金等)方面分析。 16.(2023·新课标卷,37)阅读图文材料,完成下列要求。(28分) 湖水中溶解性有机物可分为内源类有机物(主要来自湖中浮游生物排放和降解) 和外源类有机物(主要为入湖河水挟带的腐殖质等)。下图所示湖泊均为可人工调 控水量的天然湖泊,其中洪泽湖有淮河注入,泥沙沉积多,湖底高于周边地面。 有研究表明,各湖溶解性有机物含量多在夏季达到峰值,外源类有机物降解量秋 季大于夏季;洪水期不泄洪和泄洪两种情形下,湖水中溶解性有机物含量差异大; 洪泽湖溶解性有机物含量峰值出现的时间常滞后于其他湖泊。 (1)指出冬、夏季高邮湖内源类有机物占湖水溶解性有机物比例的高低。(4 分) (2)说明图示湖泊溶解性有机物含量多在夏季达到峰值的气候原因。(6 分) (3)解释图示湖泊外源类有机物降解量秋季大于夏季的原因。(4 分) (4)分析洪水期不泄洪和泄洪两种情形下,湖水中溶解性有机物含量不同的原因。 (8分) (5)根据洪泽湖的特征,解释洪泽湖溶解性有机物含量峰值出现时间常滞后的现象。(6分) 答案 (1)冬季内源类有机物占湖水溶解性有机物比重高;夏季内源类有机物占比 下降(低)。 (2)夏季气温高,湖泊水温高,浮游生物量大。降水量大(降水丰富),入湖河水挟 带的腐殖质多。 (3)秋季湖水更新慢,已积累的外源类有机物多。 (4)不泄洪:洪水挟带的腐殖质直接增加了湖水中溶解性有机物的累积量。加之腐 殖质可分解出营养盐,促进浮游生物的生长,湖水中溶解性有机物含量高。 泄洪:入湖河水中溶解性有机物含量低,下泄湖水中溶解性有机物含量高,稀释 作用强,湖水中溶解性有机物含量低。 (5)淮河注入洪泽湖,夏季入湖水量多;湖底高于周边地面(形成地上湖),防洪压 力大;调峰(泄洪)频繁,且持续时间长。 解析 第(1)题,主要结合淮河径流量的季节变化,分析并指出冬、夏季高邮湖内 源类有机物占湖水溶解性有机物比例的高低。淮河水注入洪泽湖后除少部分经苏 北灌溉总渠入海外,大部分南下经高邮湖、京杭运河注入长江。夏季,淮河流域 降水量大,大量淮河水注入洪泽湖并经高邮湖入长江,高邮湖湖水流动性强,外 源类有机物注入多,内源类有机物占湖水溶解性有机物的比例较低;冬季,淮河 流域降水量小,淮河径流量小,经洪泽湖、高邮湖入长江的水量少,高邮湖湖水 流动性弱,外源类有机物占湖水溶解性有机物的比例较低,来自湖中浮游生物排 放和降解的内源类有机物比例较高。第(2)题,湖泊溶解性有机物含量多在夏季达 到峰值是因为气候有利于内源类有机物和外源类有机物达到峰值。就外源类有机 物而言,夏季流域内降水丰富,大量降水形成地表径流,冲刷土壤中的腐殖质并 进入河流后汇入湖泊;就内源类有机物而言,夏季气温高,光照充足,大量废水 汇入湖泊中引起藻类等的大量繁殖。第(3)题,湖泊外源类有机物降解量秋季大于 夏季是有前提条件的,即图示区域秋季气温和水温仍较高,和夏季相似,均适于 微生物对湖泊外源类的有机物降解。但与夏季湖水交换量大不同,秋季湖水交换 量减少,降解环境稳定,作为主要分解者的微生物数量和活性可以保持较高水平。 经过前期积累,秋季湖泊外源类有机物充足,供降解的物质多,因此对于溶解性 有机物含量远未饱和的湖泊而言,外源类有机物含量高也是降解量秋季大于夏季的重要原因。第(4)题,主要从“流水不腐”的角度分析。洪水期不泄洪时,湖水 流动性减弱,水中大量外源类有机物被拦截在湖泊中,并且受水温高微生物活跃 的影响,内源类有机物增加较快,湖水中溶解性有机物含量较高。洪水期泄洪时, 湖水不断流动更新,水中溶解性有机物被排出,同时由于湖水中微生物分解受到 流水的制约,内源类有机物增加较慢,因而湖水中溶解性有机物含量较低。第(5) 题,由材料可知,洪泽湖面积大,湖底泥沙沉积多,所在的淮河流域夏季降水量 大,湖泊防洪压力大,需要频繁泄洪,因而形成了洪泽湖溶解性有机物含量峰值 出现时间常滞后的现象。