当前位置:首页>文档>第六章 第1讲 训练36 整体性_9.2025地理总复习_2025年新高考资料_一轮复习_2025高考大一轮复习讲义+练习(完结)_2025高考大一轮复习地理(人教版)_2025一轮复习87练_第一部分 自然地理

第六章 第1讲 训练36 整体性_9.2025地理总复习_2025年新高考资料_一轮复习_2025高考大一轮复习讲义+练习(完结)_2025高考大一轮复习地理(人教版)_2025一轮复习87练_第一部分 自然地理

  • 2026-04-01 04:51:41 2026-03-14 03:43:35

文档预览

第六章 第1讲 训练36 整体性_9.2025地理总复习_2025年新高考资料_一轮复习_2025高考大一轮复习讲义+练习(完结)_2025高考大一轮复习地理(人教版)_2025一轮复习87练_第一部分 自然地理
第六章 第1讲 训练36 整体性_9.2025地理总复习_2025年新高考资料_一轮复习_2025高考大一轮复习讲义+练习(完结)_2025高考大一轮复习地理(人教版)_2025一轮复习87练_第一部分 自然地理
第六章 第1讲 训练36 整体性_9.2025地理总复习_2025年新高考资料_一轮复习_2025高考大一轮复习讲义+练习(完结)_2025高考大一轮复习地理(人教版)_2025一轮复习87练_第一部分 自然地理
第六章 第1讲 训练36 整体性_9.2025地理总复习_2025年新高考资料_一轮复习_2025高考大一轮复习讲义+练习(完结)_2025高考大一轮复习地理(人教版)_2025一轮复习87练_第一部分 自然地理

文档信息

文档格式
docx
文档大小
1.531 MB
文档页数
4 页
上传时间
2026-03-14 03:43:35

文档内容

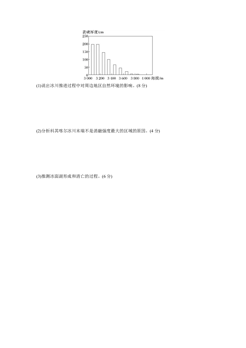
训练 36 整体性 (2023·河北邢台模拟)2022年夏季为我国自1961年以来最热的夏季,极端高温天气频发。 塔克拉玛干沙漠出现了众多湖泊,但只是暂时性积水,沙漠湖泊演变为永久性绿洲的概率并 不大,却会影响区域自然地理环境。如图为“塔克拉玛干沙漠中的湖泊景观图”。据此完成 1~3题。 1.塔克拉玛干沙漠出现众多湖泊的原因是( ) A.冰雪融水和降水均增加 B.地下水出露量大 C.冻土加速融化 D.植被覆盖率提高 2.沙漠湖泊演变为永久性绿洲的概率小的原因可能有( ) ①农业需水量大 ②蒸发旺盛 ③下渗量大 ④生活用水量大 A.②③ B.①③ C.①④ D.②④ 3.塔克拉玛干沙漠出现众多湖泊后,湖区周边( ) A.地下水位下降 B.物种减少 C.气候彻底湿润化 D.土地盐碱化加剧 (2023·福建厦门第六中学期末)下图示意长江口部分沙岛群演变过程。读图完成4~6题。 4.1880~1945年,①②③④四处侵蚀速率大于堆积速率的是( ) A.① B.② C.③ D.④ 5.据河口沙岛群的空间演变趋势,推测长江河口地区近百年来( ) A.北航道航行条件好于南航道 B.河口不断拓宽,河道不断淤浅 C.海水侵蚀作用大于河流堆积作用D.海平面上升速率小于泥沙沉积速率 6.近年来,长江口水下沙洲淤积速度明显变慢,其原因可能是( ) A.流域内围湖造田 B.流域内降水强度减小 C.流域内植被覆盖率提高 D.流量增大,输沙力增强 (2024·江西南昌模拟)1960年以来,青海湖水位变化明显,对该区域的生态环境影响较 大,下面图甲为“青海湖水系分布示意图”,图乙为“1961~2021年青海湖年平均水位变 化趋势图”。完成7~8题。 7.据图可知,青海湖( ) A.水位逐年降低 B.面积逐渐缩小 C.水深超过3 000米 D.面积波动变化 8.随着水位的变化,推测2025年布哈河( ) A.入湖口西退 B.凌汛更加严重 C.径流量减少 D.下游流速加快 9.(2023·山东青岛模拟)阅读图文资料,完成下列要求。(16分) 生物避难所通常是指在气候变恶劣的条件下动植物能够存活的区域。生物避难所能在冰 期保护原有及迁入物种免遭劫难,受保护物种在冰期后以此为起点,借风力、流水、动物等 媒介扩散并演化出亚种和新物种。第四纪冰期长白山和朝鲜半岛是温带针阔叶混交林最重要 的两个避难所。下图示意我国东北温带针阔叶混交林植物的避难所与扩张路线。(1)简述第四纪冰期温带针阔叶混交林树种可以在山东半岛、辽东半岛和朝鲜半岛之间扩散 的有利条件。(4分) (2)分析温带针阔叶混交林在第四纪冰期由长白山大规模向朝鲜半岛扩散的原因。(6分) (3)第四纪冰期结束后,温带针阔叶混交林树种多样性显著提高,对此作出合理解释。(6分) 10.阅读图文材料,完成下列要求。(18分) 西天山托木尔峰地区是中亚山地冰川作用中心之一,集中发育着许多大型山谷冰川。该 地区规模巨大的冰川消融区表碛广泛覆盖,表碛的厚度对冰面消融起着加速或抑制两种完全 不同的作用。科其喀尔冰川是一条典型的“托木尔型”大型树枝状山谷冰川,位于托木尔峰 南部。以科其喀尔冰川为例,其末端海拔3 000 m左右,地势相对开阔,6~9月平均气温 6.8 ℃,地形上利于消融、理论上也应该是冰川消融最强烈的部位。但实际的观测表明,冰 川末端并不是消融强度最大的区域。冰面湖是由差异消融在冰川表面形成的湖泊,当封闭的 冰面湖发育到一定程度后,冰面湖会出现溃决。下图表示科其喀尔冰川冰舌区不同海拔表碛 厚度变化趋势。(1)说出冰川推进过程中对周边地区自然环境的影响。(8分) (2)分析科其喀尔冰川末端不是消融强度最大的区域的原因。(4分) (3)推测冰面湖形成和消亡的过程。(6分)