当前位置:首页>文档>2024年高考地理一轮复习(新人教版)第1部分 第4章 课时23 陆地水体及其相互关系_9.2025地理总复习_2024年新高考资料_1.2024一轮复习_2024年高考地理一轮复习讲义(新人教版)

2024年高考地理一轮复习(新人教版)第1部分 第4章 课时23 陆地水体及其相互关系_9.2025地理总复习_2024年新高考资料_1.2024一轮复习_2024年高考地理一轮复习讲义(新人教版)

  • 2026-04-01 17:45:19 2026-03-11 23:59:29

文档预览

2024年高考地理一轮复习(新人教版)第1部分 第4章 课时23 陆地水体及其相互关系_9.2025地理总复习_2024年新高考资料_1.2024一轮复习_2024年高考地理一轮复习讲义(新人教版)
2024年高考地理一轮复习(新人教版)第1部分 第4章 课时23 陆地水体及其相互关系_9.2025地理总复习_2024年新高考资料_1.2024一轮复习_2024年高考地理一轮复习讲义(新人教版)
2024年高考地理一轮复习(新人教版)第1部分 第4章 课时23 陆地水体及其相互关系_9.2025地理总复习_2024年新高考资料_1.2024一轮复习_2024年高考地理一轮复习讲义(新人教版)
2024年高考地理一轮复习(新人教版)第1部分 第4章 课时23 陆地水体及其相互关系_9.2025地理总复习_2024年新高考资料_1.2024一轮复习_2024年高考地理一轮复习讲义(新人教版)
2024年高考地理一轮复习(新人教版)第1部分 第4章 课时23 陆地水体及其相互关系_9.2025地理总复习_2024年新高考资料_1.2024一轮复习_2024年高考地理一轮复习讲义(新人教版)
2024年高考地理一轮复习(新人教版)第1部分 第4章 课时23 陆地水体及其相互关系_9.2025地理总复习_2024年新高考资料_1.2024一轮复习_2024年高考地理一轮复习讲义(新人教版)
2024年高考地理一轮复习(新人教版)第1部分 第4章 课时23 陆地水体及其相互关系_9.2025地理总复习_2024年新高考资料_1.2024一轮复习_2024年高考地理一轮复习讲义(新人教版)
2024年高考地理一轮复习(新人教版)第1部分 第4章 课时23 陆地水体及其相互关系_9.2025地理总复习_2024年新高考资料_1.2024一轮复习_2024年高考地理一轮复习讲义(新人教版)
2024年高考地理一轮复习(新人教版)第1部分 第4章 课时23 陆地水体及其相互关系_9.2025地理总复习_2024年新高考资料_1.2024一轮复习_2024年高考地理一轮复习讲义(新人教版)
2024年高考地理一轮复习(新人教版)第1部分 第4章 课时23 陆地水体及其相互关系_9.2025地理总复习_2024年新高考资料_1.2024一轮复习_2024年高考地理一轮复习讲义(新人教版)
2024年高考地理一轮复习(新人教版)第1部分 第4章 课时23 陆地水体及其相互关系_9.2025地理总复习_2024年新高考资料_1.2024一轮复习_2024年高考地理一轮复习讲义(新人教版)
2024年高考地理一轮复习(新人教版)第1部分 第4章 课时23 陆地水体及其相互关系_9.2025地理总复习_2024年新高考资料_1.2024一轮复习_2024年高考地理一轮复习讲义(新人教版)
2024年高考地理一轮复习(新人教版)第1部分 第4章 课时23 陆地水体及其相互关系_9.2025地理总复习_2024年新高考资料_1.2024一轮复习_2024年高考地理一轮复习讲义(新人教版)
2024年高考地理一轮复习(新人教版)第1部分 第4章 课时23 陆地水体及其相互关系_9.2025地理总复习_2024年新高考资料_1.2024一轮复习_2024年高考地理一轮复习讲义(新人教版)

文档信息

文档格式
docx
文档大小
1.979 MB
文档页数
14 页
上传时间
2026-03-11 23:59:29

文档内容

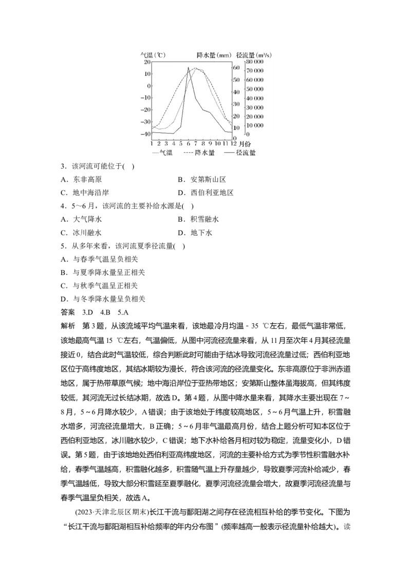
课时 23 陆地水体及其相互关系 1.陆地水体 (1)类型:河流、湖泊、冰川、沼泽、地下水等。 (2)陆地水体的类型、水量、分布等受自然环境的制约。 自然环境 对陆地水体的影响 气候湿润 河网密度大,水量丰富 气候寒冷 高海拔、高纬度地区冰川发育 地势较低 易积水形成湖泊或沼泽 断陷凹地 可形成较大湖泊 (3)对自然环境的影响 ①河流、湖泊、沼泽对周边气候具有调节作用。 ②冰川、河流是塑造地表形态的主要动力。 ③提供人类活动所必需的淡水资源。 ④具有航运、发电、水产养殖、生态服务等价值。 2.陆地水体的相互关系 在下图中添加箭头以表示水体之间的相互补给关系。 答案 特别提醒1.河流水与地下水、湖泊水之间的特殊补给关系 河流水与地下水、湖泊水之间并不总是存在相互补给的关系。在特殊情况下,如黄河下游为 地上河,河流水位总是高于地下水位,因此总是河流水补给地下水;河流源头的湖泊,水位 总是高于河流水位,因此总是湖泊水补给河流水。 2.季节性积雪融水补给和冰川融水补给的区别 季节性积雪融水补给主要在纬度较高地区,春季气温回升,季节性积雪融水大量补给河流形 成春汛。 冰川融水补给是在高海拔地区,夏季气温升高,高山冰川融水补给河流形成夏汛。在干旱地 区,以冰川融水补给为主的河流,冬季多出现断流。 思考 说明湖泊(水库)对河流的调蓄作用。 答案 (1)湖泊对河流径流具有削峰补枯的作用,受此作用影响,在相同情况下,湖泊上游 河段水位变化大,而湖泊下游河段水位变化相对平缓。 (2)修建水库前后,受水库调蓄作用影响,水库下游河段在修建水库前水位变化大,修建水 库后水位变化平缓。 1.明确三类水体补给关系 (1)地下水与河流水的相互补给关系 (2)湖泊水与河流水的相互补给关系 (3)湖泊水与地下水的相互补给关系 2.理清五种河流补给类型 我国主要分布地 径流量的季节变化 补给类型 补给季节 主要影响因素 区 示意图 普遍,尤其以东 降雨量的多少、季节 雨水补给 多雨季节 部季风区最为典 变化和年际变化 型季节性积雪融 气温高低、积雪多 春季 东北地区 水补给 少、地形状况 永久性积雪和 主要在夏 太阳辐射、气温变 西北和青藏高原 冰川融水补给 季 化、积雪和冰川储量 地区 湖泊水位与河流水位 湖泊水补给 全年 普遍 的高低关系 地下水位与河流水位 地下水补给 全年 普遍 的高低关系 3.掌握河流流量曲线图的判读 (1)识别图中纵、横坐标代表的地理事物名称、单位及数值,特别是纵坐标 一般横坐标表示时间变化,纵坐标反映数值特征(高低、变化幅度以及极值出现的时间)。上 面甲、乙两图中横坐标均表示时间,甲图中纵坐标为河流流量与降雨量,乙图中纵坐标为河 流流量与气温。 (2)以横坐标的时间变化为主线,结合流量过程曲线的数值变化,分析其水文特征 ①阅读图中流量过程曲线,依据纵坐标中的流量数值(绝对值或相对值)推断河流全年流量(或 多年平均流量)的大小。 ②分析图中流量过程曲线的变化幅度,确定河流流量的枯水期、丰水期(或枯水年、丰水年) 的时间段、丰水期和枯水期流量的差值大小;是否有断流,断流出现在哪几个月份等,说明 河流流量年内季节变化规律(或流量年际变化规律)。如上图,甲河流量较大,汛期出现在4 ~7月份,冬季是枯水期。乙河流量较小,气温越高,流量越大,冬季出现断流。 (3)结合河流的流量,并对照河流汛期确定河流的补给类型 ①汛期出现在夏秋季、枯水期在冬春季的河流,一般多为雨水补给,但地中海气候区河流刚 好相反。 ②汛期出现在夏季的河流,除雨水补给外,也可能是永久性积雪和冰川融水补给。 ③春季和夏季出现两个汛期的河流,除雨水补给外,还可能有季节性积雪融水补给。 ④河流在冬季断流可能是河水封冻的缘故,内流河往往是由于气温低,冰川不融化,没有冰 川融水补给所致。 ⑤曲线变化和缓,多是地下水补给,也可能是热带雨林气候区或温带海洋性气候区的河流。 如上图,甲河流量与降雨量的对应关系明显,说明以雨水补给为主;乙河流量与气温的对应 关系明显,说明以永久性积雪和冰川融水补给为主。(4)确定河流所在区域的气候特征 图中甲河水量丰富,主要分布于我国东南沿海的季风气候区;乙河水量较小,主要分布于我 国西北内流区,以温带大陆性气候为主。 (2022·湖南地理)位于中亚的某内陆咸水湖,拥有较丰富的湿地和动植物资源,该湖泊 近60年水量变化显著。湖滨地下水与湖泊互为补给,但补给量较少。下图示意该湖泊 1961~2020年各时期入湖地表径流量、降水量、蒸发量的变化。据此完成1~3题。 1.引起该湖泊近60年水量变化的主导因素是( ) A.气温 B.降水量 C.蒸发量 D.地表径流量 2.推测湖滨地下水补给该湖泊较多的时期是( ) A.1961~1979年 B.1970~1989年 C.1980~1999年 D.2000~2020年 3.与20世纪80年代相比,2000年以来该湖泊湖岸地区( ) A.沙尘天气增多 B.灌溉面积扩大 C.湖岸线较稳定 D.绿洲面积增加 [关键信息点拨] 该湖泊地处亚欧大陆内部,为温带大陆性气候,气候干旱,降水较少,植被为草原和荒 漠, 主要发展畜牧业、灌溉农业;内陆咸水湖,水分收入主要是地表径流汇入和大气降水,水分 支出主要是蒸发。 湖泊水量变化显著,会直接导致湖水水位的升降,进而影响湖泊水与地下水的相互补给关 系。 湖水水位高于地下水位时,湖水补给地下水;湖水水位低于地下水位时,地下水补给湖 水。 水位差越大,补给量越大。 地下水与湖泊水的相互补给量少,就可以大致根据蒸发量、降水量与入湖地表径流量的数 据来判断湖泊水量的收支平衡关系,进而判断湖泊水量、水位的变化趋势。 图示三类柱状图,入湖地表径流量+降水量是湖泊水分收入,蒸发量是支出,对比发现每个时间段的收入、支出并不相等,其收支差值基本上就代表了地下水的补给量。例如 1961 ~1969年,收入为入湖地表径流量 15.5 km3+降水量3.5 km3=19 km3,支出为蒸发量18 km3, 收入与支出的差值为1 km3,这就是下渗量,也就是湖泊水补给地下水的数量。 答案 1.D 2.B 3.D 解析 第1题,气温一般是通过蒸发来影响湖区水量的,气温越高、蒸发量越大,水量可能 就越少。蒸发量虽然也受湖面面积、风力大小、湿度、辐射、气压等因素的共同影响,但主 要是受气温影响。图中蒸发量变化幅度较小,意味着气温也没有趋势性明显的变化,A、C 错;图中柱状图显示,降水量略有波动,但没有明显的趋势性变化,与“水量变化显著”不 符,B错;图示中,有明显变化趋势的只有入湖地表径流量,D正确。第2题,材料信息表 明,湖滨地下水与湖泊互为补给,补给方向取决于两者的水位高低,读图可知,1961~1969 年,入湖地表径流量+降水量>蒸发量,湖水水位应上升,此时湖水补给湖滨地下水;1970 ~1989年,入湖地表径流量+降水量<蒸发量,湖水水量明显减少,水位明显下降,此时 湖滨地下水补给湖水明显;1990~2020年,入湖地表径流量与降水量之和略大于蒸发量, 湖水水位缓慢上升,此时湖滨地下水与湖水之间相互补给量不大。因此湖滨地下水补给该湖 泊较多的时期是1970~1989年,故选B。第3题,根据湖区水量收支差额比较,20世纪80 年代蒸发量>入湖地表径流量+降水量,是湖泊面积最小的时期。与 20世纪80年代相比 ,2000年以来的降水量基本一致,蒸发量略有增加,而入湖地表径流量增加明显,总体来说 是湖泊的水量收入>支出,湖水水位升高,湖泊面积扩大,湖岸地区沙尘天气减少,A错; 湖泊面积增大,湖岸线向陆地方向移动,C错;入湖地表径流量增大,湖岸地区水资源条件 改善,绿洲面积也相应增加,选D。灌溉面积扩大,会因引入湖河水灌溉而加剧入湖地表径 流量的减少,导致湖泊面积减小,与题意不符,B错。 考向1 通过“河流径流量的变化”考查“综合思维” 海拉尔河流域地处我国东北多年冻土区南界附近,降水是该流域的主要补给水源。受全 球气候变暖的影响,该流域冻土退化严重。近50年来该流域年径流量总体呈减少趋势,但 冬季径流量有所增加。下图示意近50年来该流域各季节径流量占年径流量的变化情况。据 此完成1~3题。1.近50年来该流域内各季节径流量变化的特点是( ) A.春季径流量先减少后增多 B.夏季径流量先增多后减少 C.秋季径流量呈减少趋势 D.冬季径流量一直增多 2.该流域春季径流量比重1990年后显著提升的主要原因是( ) A.春季降水量增多 B.春季气温异常升高 C.冬季降雪量增多 D.夏秋季节降水减少 3.推测近年来该流域冬季径流量增加的原因是( ) A.季节性积雪融水增多 B.地下水补给增多 C.高山冰雪融水增多 D.冬季降水量增多 答案 1.C 2.D 3.B 解析 第1题,图上纵坐标是各季节径流量占年径流量的比重,设问是各季节径流量变化的 特点,各季节径流量=各季节径流量占年径流量比重×年径流量,材料中“年径流量总体呈 减少趋势”,秋季径流量占年径流量的比重呈下降趋势,所以秋季径流量呈减少趋势,C正 确。第2题,该地位于我国东北地区,降水主要集中在夏秋季节,读图可以看出1990年后 夏秋季径流量占年径流量比重下降,所以可能是夏秋两个季节降水减少,使夏秋季径流量占 年径流量比重下降,春季比重相对上升,D正确。第3题,该流域地处多年冻土区南界附近, 受全球气候变暖的影响,冻土退化,夏季冻土融化,下渗增多,使得地下水位上升,冬季地 下水补给增多,B正确;冬季气温低,以降雪为主,多积雪,春季融化,A、C、D错误。 考向2 通过“河流与地下水的补给关系”考查“区域认知” (2023·江苏省南京师大附中模拟)下图是“我国某地地形剖面及该地春季地下水埋藏深度 (地下水面距地面的垂直距离)示意图”。读图,完成4~5题。4.若①②处有河流经过,则( ) A.①处地下水补给河水 B.②处可能是地上河 C.②处地下水补给河水 D.两处都是河水补给地下水 5.该地可能位于( ) A.黄土高原 B.四川盆地 C.华北平原 D.珠江三角洲 答案 4.C 5.D 解析 第4题,如下图,用地形剖面线上某点对应的海拔减去该点对应的地下水埋藏深度即 为该点地下水水位的海拔,将其海拔连成线,即等水位线。据等水位线则可推断出①处河水 水位高于两侧地下水水位,河水补给地下水,A错误;②处则是河水水位低于两侧地下水水 位,地下水补给河水,不可能为地上河,C正确,B、D错误。 第5题,由图可知,该地海拔大部分在30 m以下,而黄土高原海拔在1 000 m到1 500 m左 右,四川盆地底部海拔在250米到750米左右,A、B排除;该地春季地下水水位较高,且 出露地表,如②处,①处此时河水水位高于地下水水位,河水水位较高,应为我国南方地区, D正确;我国华北平原春季因气温回升快,蒸发旺盛,加上雨季没有到来,降水少,容易形 成春旱,河水水位和地下水水位都较低,C错误。答题指导 5 河流特征描述 1.河流水文特征分析 水文特 描述特征 影响因素 征要素 高或低,季节变化 主要与补给方式和河道特征有关。河流主要的补给季节为 水位 大或小,汛期出现 汛期,此时水位高。河流流量相同的情况下,河道的宽 的时间及长短 窄、深浅影响水位的高低 河流流量的大小主要取决于河流的补给量与流域面积的大 大或小、季节变化 流量 小。一般来讲,补给量与流域面积越大,河流流量越大; 大或小 河流流量的季节变化主要取决于河流的补给方式 与流域内植被状况、地形坡度、地面物质结构及降水强度 含沙量 大或小 等有关。一般来讲,地形坡度越大、地面物质越疏松、植 被覆盖度越差、降水强度越大,河流含沙量就越大 无结冰期,最冷月均温>0 ℃;有结冰期,最冷月均温<0 结冰期 有或无、长或短 ℃ 必须具备两个条件:①有结冰期;②由较低纬流向较高纬 凌汛 有或无 的河段 流速 快或慢 地形坡度 2.河流水系特征分析 1.(2023·北京市丰台区模拟)阅读图文材料,回答下列问题。(10分)(1)描述尼加拉瓜的河流水系特征。(6分) 尼加拉瓜湖曾是太平洋伸进美洲大陆的一个海湾,随着岁月流逝,封闭成湖,并由咸水 湖逐渐变成淡水湖。 (2)推测尼加拉瓜湖的形成过程。(4分) 答案 (1)河流较多,流程较短,流域面积较小,自西向东注入加勒比海。 (2)火山喷发,喷出物堵塞海湾出口,与外海隔绝而成湖;地表径流及大气降水不断汇入湖 泊,湖水上涨不断外泄入海,带走盐分,湖水日渐淡化,变成淡水湖。 2.阅读图文材料,回答问题。(18分) 汉江是长江最长的支流,丹江口和钟祥是汉江上、中、下游的分界。 (1)相对于汉江下游,其上游河段显著的水文特征有哪些?(6分) (2)分析汉江流域洪涝灾害多发的自然原因。(6分) 丹江口水库是南水北调中线的水源地,为减少南水北调对汉江下游地区的影响,建设了 从长江荆江河段引水至汉江下游河段的“引江济汉”大型输水工程,每年向汉江下游输送 31亿立方米的水量。 (3)说明“引江济汉”对汉江下游生态环境产生的作用。(6分)答案 (1)上游的水量少,水位季节变化大;流速快;含沙量少,水质更好。 (2)汉江流域属于亚热带季风气候,夏秋季节降水多且集中;流域面积广,汇水区域大;支 流数量多,汇水速度快;汉江中下游地势低平,河道曲折,排水不畅。 (3)提供水资源,缓解因调水可能引发的水资源短缺问题;提高汉江枯水期水位,有助于维 持下游生物多样性;改善下游水质,缓解水污染。 课时精练 如图是北半球某条河流上游水文站和下游水文站分别测得的“径流量随着季节变化曲线 图”。读图,回答1~2题。 1.从图中可以看出该河上游和下游水源最主要的补给方式分别是( ) A.雨水、雨水 B.湖泊水、高山冰川融水 C.季节性积雪融水、雨水 D.高山冰川融水、雨水 2.湖泊水对河流具有调节作用,湖泊与河流存在着相互补给的关系。下列关于该河流所在 地区湖泊、河流的叙述,正确的是( ) A.该地的湖泊在冬季时补给河流、夏季时则受河流补给 B.该地的湖泊中有世界上面积最大的淡水湖 C.该地的河、湖水不参与陆地内循环 D.该地河流的汛期主要在冬季 答案 1.D 2.D 解析 第1题,读图可知,该河上游水量小,7、8月气温高,径流量较大,随着气温变化, 冰川融水量也发生变化,所以上游水源最主要的补给方式是高山冰川融水。下游在冬季径流 量大,冬季气温低,不可能是冰川融水补给,只可能是雨水补给。D正确。第2题,结合图 示明显看出,该地河流的汛期主要在冬季,因此,该河流主要位于地中海气候区,河流有冬 汛,D正确。该地的河流在冬季时水位较高,应是河流补给湖泊,夏季时则是湖泊补给河流, A错误;世界上面积最大的淡水湖是北美洲的苏必利尔湖,不在地中海气候区,B错误;该 地的河、湖水参与陆地内循环,C错误。 (2023·安徽蚌埠市模拟)下图示意某河流流域1936~2017年各月平均气温、降水量及入 海口径流量变化。据此完成3~5题。3.该河流可能位于( ) A.东非高原 B.安第斯山区 C.地中海沿岸 D.西伯利亚地区 4.5~6月,该河流的主要补给水源是( ) A.大气降水 B.积雪融水 C.冰川融水 D.地下水 5.从多年来看,该河流夏季径流量( ) A.与春季气温呈负相关 B.与夏季降水量呈正相关 C.与秋季气温呈正相关 D.与冬季降水量呈负相关 答案 3.D 4.B 5.A 解析 第3题,从该流域平均气温来看,该地最冷月均温-35 ℃左右,最低气温非常低, 该地最高气温15 ℃左右,气温偏低,从图中河流径流量来看,从11月至次年4月其径流量 接近0,结合此时气温较低,综合判断此时可能由于结冰导致河流径流量过低;西伯利亚地 区位于高纬度地区,其结冰期较为漫长,符合该河流的径流量变化。东非高原位于非洲赤道 地区,属于热带草原气候;地中海沿岸位于亚热带地区;安第斯山整体虽海拔高,但其纬度 较低,其河流无过长结冰期,故选D。第4题,从图中降水量来看,其降水主要出现在7~ 8月,5~6月降水较少,A错误;由于该地处于纬度较高地区,5~6月气温上升,积雪融 水增多,河流径流量增大,B正确;5~6月非气温最高月份,结合上题分析可知本区位于 西伯利亚地区,冰川融水较少,C错误;地下水补给各月相对较为稳定,流量变化小,D错 误。第5题,由于该地地处西伯利亚高纬度地区,河流的主要补给方式为季节性积雪融水补 给,春季气温越高,积雪融化越多,积雪随气温上升存量越少,导致夏季河流补给减少,春 季气温越低,导致大部分积雪延至夏季融化,夏季河流径流量会增大,故夏季河流径流量与 春季气温呈负相关,故选A。 (2023·天津北辰区期末)长江干流与鄱阳湖之间存在径流相互补给的季节变化。下图为 “长江干流与鄱阳湖相互补给频率的年内分布图”(频率越高一般表示径流量补给越大)。读图,完成6~7题。 6.据图推断( ) A.3~5月鄱阳湖补给长江水量增多——台风带来持续大量降水 B.7~8月长江补给少时——长江中下游地区受副热带高压带控制 C.9~11月长江补给鄱阳湖减少——锋面雨带到达我国珠江流域 D.12月~次年2月相互补给少——有结冰期,水流不畅 7.鄱阳湖对长江流域的重要意义有( ) ①调节径流量,减少长江下游洪涝灾害 ②维持径流量稳定,保证航运安全 ③保证长江水 量,维护长江水生生态环境 ④加快长江流速,减少长江含沙量 A.①②③ B.①②④ C.①③④ D.②③④ 答案 6.B 7.A 解析 第6题,据图可知,3~5月鄱阳湖补给长江水量增多,因此时为长江枯水期,长江 水位较低,与台风无关,A错误;7~8月长江补给少时,是因为长江中下游地区受副热带 高压带控制,干旱少雨,长江径流量相对较少,水位相对较低,B正确;9~11月长江补给 鄱阳湖减少,是因为雨季基本结束,长江流域大气降水减少,C错误;12月~次年2月相互 补给少,是因为此时长江和鄱阳湖水位均较低,该流域位于秦岭-淮河以南,无结冰期,D 错误。第7题,鄱阳湖可调蓄洪水,使长江下游地区雨季水位不会太高,旱季水位不会太低, 减少长江下游洪涝灾害,维持径流量稳定,保证航运安全,保证长江水量,维护长江水生生 态环境,①②③正确;鄱阳湖一定程度上可减少长江含沙量,但不能加快长江流速,④错误; 故选A。 温尼伯湖是加拿大第三大淡水湖,是更新世冰期巨大的古冰川湖的残迹。大陆冰川消融 初期,温尼伯湖湖水曾经通过红河流入密西西比河。随着冰川进一步消融,温尼伯湖湖水改 由纳尔逊河注入哈得孙湾,湖面逐渐保持稳定。下图示意温尼伯湖流域。据此完成8~9题。8.温尼伯湖从形成初期到湖面稳定时期,该湖泊( ) A.水位先下降后上升 B.蓄水量保持稳定 C.水位先上升后下降 D.蓄水量逐渐减少 9.温尼伯湖湖水外泄方向改变后,红河( ) A.径流量增大 B.会发生凌汛现象 C.结冰期延长 D.水位季节变化小 答案 8.C 9.B 解析 第8题,温尼伯湖形成初期是大陆冰川消融产生的水源,开始时湖泊的蓄水量会先上 升,A、D错误;之后随着冰川的进一步消融,冰川面积缩小,消融的水量减少,并且湖水 改由纳尔逊河注入哈得孙湾,湖泊蓄水量下降,水位下降,C正确,B错误。第9题,温尼 伯湖湖水外泄方向改变后,红河失去湖泊的水源补给,失去了冰川的融水补给,径流量减小, 水位季节变化增大,A、D错误。受气温影响,结冰期不变,C错误。温尼伯湖湖水外泄方 向改变后,红河流动方向改为自南向北流,由低纬度流向高纬度,在秋末、初春和初冬会出 现凌汛现象,B正确。 10.阅读图文材料,完成下列要求。(26分) 无定河是黄河的支流,因其流量不定,深浅不定,流速不定,清浊不定,故有无定河之 名。海流图河是无定河一条支流,以地下水补给为主,其河床深度随无定河加深而加深。下 图为无定河水系示意图。 (1)分析无定河水质清浊不定的自然原因。(6分) (2)描述无定河干流南北两侧地势的差异并说明理由。(8分)(3)简述海流图河以地下水补给为主的原因。(6分) (4)分析海流图河河床深度随无定河加深而加深的原因,并推测其河床加深后流量的变化。(6 分) 答案 (1)流域属温带季风气候,河流水量的季节变化和年际变化较大,流水的侵蚀、搬运 等作用强弱变化大;无定河主要流经黄土高原,土质疏松;流经地区,植被稀疏,保沙保水 能力差,汛期水土流失严重,因此河流的含沙量变化大,水质清浊不定。 (2)地势差异:北侧地势相对平坦;南侧地势起伏较大、地表破碎。(从地势高低角度不给分) 理由:北侧支流少、地表相对完整;南侧支流多,地表较为破碎。 (3)深居内陆,流域气候干旱,降水少;附近无高山,缺少冰雪融水补给;流域地表水缺乏, 支流较少,河流补给较少;海流图河流经沙漠,地下水较为丰富,地下水补给量大。 (4)海流图河汇入无定河,无定河加深,无定河与海流图河的落差加大;海流图河流速加快, 对河床下蚀作用加强,深度加大;加深后,地下水补给量增多,海流图河水量增大。