当前位置:首页>文档>考点巩固卷08植被与土壤-2025年高考地理一轮复习考点通关卷(新高考通用)(原卷版)_9.2025地理总复习_2025年新高考资料_一轮复习_2025年高考地理一轮复习考点通关卷(新高考通用)

考点巩固卷08植被与土壤-2025年高考地理一轮复习考点通关卷(新高考通用)(原卷版)_9.2025地理总复习_2025年新高考资料_一轮复习_2025年高考地理一轮复习考点通关卷(新高考通用)

  • 2026-04-13 14:08:35 2026-03-14 06:29:52

文档预览

考点巩固卷08植被与土壤-2025年高考地理一轮复习考点通关卷(新高考通用)(原卷版)_9.2025地理总复习_2025年新高考资料_一轮复习_2025年高考地理一轮复习考点通关卷(新高考通用)
考点巩固卷08植被与土壤-2025年高考地理一轮复习考点通关卷(新高考通用)(原卷版)_9.2025地理总复习_2025年新高考资料_一轮复习_2025年高考地理一轮复习考点通关卷(新高考通用)
考点巩固卷08植被与土壤-2025年高考地理一轮复习考点通关卷(新高考通用)(原卷版)_9.2025地理总复习_2025年新高考资料_一轮复习_2025年高考地理一轮复习考点通关卷(新高考通用)
考点巩固卷08植被与土壤-2025年高考地理一轮复习考点通关卷(新高考通用)(原卷版)_9.2025地理总复习_2025年新高考资料_一轮复习_2025年高考地理一轮复习考点通关卷(新高考通用)
考点巩固卷08植被与土壤-2025年高考地理一轮复习考点通关卷(新高考通用)(原卷版)_9.2025地理总复习_2025年新高考资料_一轮复习_2025年高考地理一轮复习考点通关卷(新高考通用)
考点巩固卷08植被与土壤-2025年高考地理一轮复习考点通关卷(新高考通用)(原卷版)_9.2025地理总复习_2025年新高考资料_一轮复习_2025年高考地理一轮复习考点通关卷(新高考通用)
考点巩固卷08植被与土壤-2025年高考地理一轮复习考点通关卷(新高考通用)(原卷版)_9.2025地理总复习_2025年新高考资料_一轮复习_2025年高考地理一轮复习考点通关卷(新高考通用)
考点巩固卷08植被与土壤-2025年高考地理一轮复习考点通关卷(新高考通用)(原卷版)_9.2025地理总复习_2025年新高考资料_一轮复习_2025年高考地理一轮复习考点通关卷(新高考通用)
考点巩固卷08植被与土壤-2025年高考地理一轮复习考点通关卷(新高考通用)(原卷版)_9.2025地理总复习_2025年新高考资料_一轮复习_2025年高考地理一轮复习考点通关卷(新高考通用)

文档信息

文档格式
docx
文档大小
1.009 MB
文档页数
9 页
上传时间
2026-03-14 06:29:52

文档内容

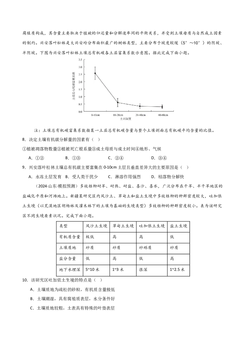
考点巩固卷 08 植被与土壤 考点01 植被(建议用时:20分钟) 考点02土壤(建议用时:20分钟) 考点03 植被与土壤的相互作用(建议用时:20分钟) 考点 01 植被 (2024·安徽·模拟预测)马赛位于法国南部,濒临地中海,附近的植物独具特色,以灌木植物为主, 叶片常绿,多为厚厚的革质硬叶,叶片不大,气孔深陷,叶子的排列与太阳光线成锐角。据此完成下面小 题。 1.马赛附近灌木植物常绿,说明马赛地区( ) A.冬季温和多雨 B.冬季均温较高 C.夏季高温多雨 D.夏季凉爽干燥 2.马赛城市道路绿化植物不可能选择热带雨林树种,其原因是该城市( ) ①河流少、灌溉水源短缺②夏季台风频发③降雨少且季节变化大④冬季有效积温较少 A.①③ B.②④ C.②③ D.③④ (2024·浙江杭州·模拟预测)植物的根系种类繁多,一般具有支撑、吸收营养、呼吸、改变微环境等 功能。下图为水杉膝状根照片。完成下面小题。 3.膝状根的数量及分布范围主要取决于( )A.水杉高度 B.水域面积 C.土壤肥力 D.光热条件 4.水杉膝状根与地理环境之间的关系主要表现在( ) A.提升水杉生长环境稳定性 B.增加水杉树木的种类数量 C.减少根系对土壤养分吸收 D.消减其他植物的生存空间 (2024·辽宁沈阳·模拟预测)公元946年长白山火山喷发时,岩浆和火山灰几乎毁灭了长白山主峰及 周围半径约50千米范围内的森林植被,形成大面积裸地。位于50千米外的森林未受到火山喷发的影响, 是促进长白山森林恢复的基带种源。直到公元1710年前后,长白山主峰东坡树种才得以建群,先锋树种是 长白落叶松。据考察,东坡的火山灰厚度最大,火山灰孔隙度高,质地较粗。下图示意长白山主峰东坡植 被在火山喷发后的林分(泛指长有林木的地段)演化模式。完成下面小题。 5.长白山森林恢复的基带种源主体最可能是( ) A.针叶林 B.常绿阔叶林 C.常绿硬叶林 D.落叶阔叶林 6.据材料推断长白山东坡先锋树种的生长习性是( ) A.喜光耐旱 B.喜阴喜湿 C.喜干耐寒 D.喜光耐碱 7.长白山东坡植被定殖容易失败的根本原因是( ) A.土壤营养元素少 B.气候条件差 C.火山灰厚度大 D.人类干扰强 (2024·广西·模拟预测)煤矸石山由煤炭开采废弃的煤矸石堆积而成,堆积高度一般约为60m左右。 某科研团队在考察辽宁省阜新市某废弃矿区煤矸石山时发现,该煤矸石山植被演替经历了一年生草本阶段、 多年生草本阶段、灌草阶段、灌木阶段、灌木与乔木混合阶段,且南、北坡因水分差异导致植被演替的速 度差异明显。据此完成下面小题。 8.影响该煤矸石山植被演替的主导因素是( ) A.热量 B.水分 C.土壤 D.光照 9.该煤矸石山南、北坡植被演替速度的差异及原因( ) A.南坡速度较快,热量比北坡好 B.南坡速度较慢,蒸发比北坡强 C.北坡速度较快,降水较南坡少 D.北坡速度较慢,光照较南坡弱10.如果自然环境稳定且无人类活动干扰,该煤矸石山植被的变化趋势为( ) A.草本植物和乔木植物物种都趋向于增多 B.草本植物物种增多,乔木植物物种减少 C.落叶阔叶乔木物种减少,常绿阔叶乔木物种增加 D.落叶阔叶乔木物种增加,植被群落逐渐趋于稳定 (2024·黑龙江吉林·二模)植被覆盖度为地面植被垂直投影占统计区总面积的比例,主要受气温、降 水、人类活动等因素的影响,且与气温、降水呈正相关。图示意2001-2020年青藏高原植被覆盖度的变化 情况。据此完成下面小题。 11.2015年植被覆盖度发生变化的原因可能是( ) A.气候异常 B.全球变暖 C.过度放牧 D.生物入侵 12.不同的人类活动会使植被覆盖度产生差异,以下说法正确的是( ) ①草原、草甸地区超载放牧,导致植被覆盖度下降 ②高海拔地区通过生态工程建设,可提高植被覆盖度 ③城市面积的扩张,导致局部区域植被覆盖度下降 ④环青海湖地区建立自然保护区,可提高植被覆盖度 A.①②③ B.①②④ C.①③④ D.②③④ 考点 02 土壤 (2024·河北·模拟预测)黑龙江省是我国冬季积雪区之一,冬季积雪期主要集中在11月至次年4月。 下图示意1983~2019年春季黑龙江省0~30cm土层土壤湿度年际变化。据此完成下面小题。1.1983~2019年,春季黑龙江省0~30cm土层土壤湿度( ) A.随深度增加呈减小趋势 B.表层土壤变化最显著 C.大致由偏湿向偏干演化 D.深层土壤几乎无变化 2.推测黑龙江省0~30cm土层土壤湿度最小的月份是( ) A.4月 B.5月 C.7月 D.8月 3.相较20~30cm土层,春季黑龙江省0~10cm土层土壤湿度状况的成因是( ) A.冻土广布 B.地表干燥 C.地势低平 D.下渗量大 (2024·北京海淀·二模)土壤团粒结构是土壤颗粒粘结而成的团聚体,具有一定结构形态和大小。粗 团粒间形成直径较大的非毛管孔隙,土壤水受重力可向下移动;微团粒间形成直径较小的毛管孔隙,土壤 水可保持在孔隙内。良好的团粒结构利于土壤调节水、肥、气、热的关系,促进植物生长。下图为土壤团 粒结构示意图。读图完成下面小题。 4.促进土壤颗粒粘结为团粒结构的主要因素是( ) A.成土母质 B.生物 C.气候 D.地貌 5.在湿润地区,粗团粒直径较大的土壤团粒结构利于植物生长,是由于该结构利于( ) A.母岩风化 B.通水透气 C.蓄水保肥 D.减轻淋溶 6.为观察土壤团粒结构是否良好,合理的实验方法是,取适量土样( ) A.放入水瓶,缓慢翻转几次,观察溶液变澄清的速度B.用干纸巾贴在土块表层,稍后观察纸巾的潮湿状况 C.放入烧杯与水混合,搅拌后测定液体的酸碱度 D.放置于室外阳光下晾晒,观察土壤的颜色变化 (2024·浙江·三模)下图为某地土壤表层一天中2:00、8:00、14:00、20:00不同深度的温度变 化曲线图。完成下面小题。 7.图示2:00、8:00、14:00、20:00对应的土壤温度曲线分别是( ) A.②①④③ B.②①③④ C.②③④① D.①②④③ 8.该层土壤( ) A.有机质含量最高 B.质地最为紧实 C.物质淋失,颜色较浅 D.物质沉淀,呈红棕色 (2024·陕西安康·模拟预测)下图示意祁连山区石羊河流域上游某地土壤含水量及降雨量变化情况。 完成下面小题。 9.该地5月份10厘米深度土壤含水量增大的主要原因是( ) A.降雨量大 B.植被吸收少 C.蒸发微弱 D.积雪融化 10.该地50厘米深度土壤含水量变化不大,其主要原因是( ) A.植物根系浅 B.浅层土壤致密C.降雨量偏少 D.深层地温恒定 (2024·浙江·模拟预测)宁夏银川平原土壤盐渍化较为严重,为了降低表层土壤盐分,当地采用“上 膜下秸”技术,即在土地的表面铺设地膜,将切碎的秸秆翻埋至地下30-40厘米深处,形成秸秆隔层。完 成下面小题。 11.银川平原盐碱化较严重的原因有( ) ①地势较高 ②气候干旱 ③引水灌溉 ④种植耐盐碱作物 A.①② B.①③ C.②③ D.③④ 12.关于“上膜下秸”治理盐碱化的作用表述正确的是( ) A.地膜的作用主要是保温 B.地膜的作用主要是遮挡雨水 C.秸秆的作用主要是隔盐 D.秸秆的作用主要是增加养分 考点 03 植被与土壤的相互作用 (2024·广东梅州·二模)土壤孔隙度即土壤中孔隙体积占土壤总体积的百分数,它是影响土壤蓄水能 力的重要指标、按照直径大小分为非毛,管孔感(孔隙较大,保持水分能力弱)和毛管孔隙(孔隙 较小,保 持水分能力强)。下表为我国南方某山地不同植被土壤孔隙度情况。完成下面小题。 土壤孔隙 常绿阔叶 针阔混交林 楠竹林 灌木林 度 林 总孔隙 60 62 50 77 非毛管孔 17 18 10 19 毛管孔 43 44 40 58 1.科学家研究发现,该地灌木林下土壤有机质含量明显高于其他植被土壤,其原因可能是灌木林( ) A.枯枝落叶多 B.岩石风化强 C.阳光照射土壤时间长 D.蓄水能力强 2.同样降水条件下,地表径流含沙量最大的是( ) A.针阔混交林 B.楠竹林 C.常绿阔叶林 D.灌木林 (2024·辽宁辽阳·模拟预测)植物群落的演替与土壤养分关系密切,野火对植被和冻土的影响很大, 林火过后植被恢复期对土壤改良明显。下图为我国北方某区域在稳定气候下经历野火后的地表和多年冻土 变化轨迹图。据此完成下面小题。3.林火过后近期内地表植被极少的直接原因是( ) A.地温低 B.积雪厚 C.土层薄 D.光照强 4.推测该地的地带性植被最可能是( ) A.禾草 B.灌木 C.常绿林 D.针叶林 5.林火后土壤有机层的恢复主要源于( ) A.冻土层的冻融作用 B.植被演替过程 C.该地基岩层矿物质 D.林火燃烧余烬 (2024·山东济南·模拟预测)土壤有机碳是指以有机质形式储存于土壤中的碳。图1示意祁连山中段 黑河大峡谷两岸山地垂直带谱,图2示意峡谷南岸不同植被类型土壤有机碳随土壤深度的累积变化。据此 完成下面小题。 6.与峡谷北岸山地相比,南岸山地( ) A.海拔较高,土壤有机碳储量小 B.坡度较大,土壤有机碳储量小 C.热量较足,土壤有机碳储量大 D.水分较足,土壤有机碳储量大 7.导致峡谷南岸山地不同植被类型土壤有机碳垂直分布差异的最主要因素是( ) A.基岩风化速度 B.土质疏松程度 C.枯枝落叶数量 D.物种根系分布 (2024·广西桂林·三模)土壤有机碳是土壤有机物质中碳元素的含量,由未分解和半分解的生物体、腐殖质构成,其含量主要取决于植被的归还量和分解速率间的平衡关系,并受到土壤母质与自然成土因素 的制约。兴安落叶松林是大兴安岭分布面积最广的树林类型,主要分布于坡度较缓(5°~10°)的阴坡、 半阴坡。下图为兴安落叶松林土壤总有机碳各土层富集系数示意图。据此完成下面小题。 注:土壤总有机碳富集系数指某一土层总有机碳含量与整个土壤剖面总有机碳平均含量的比值。 8.决定土壤有机碳分解量的因素有( ) ①植被凋落物数量②植被死亡根系量③成土母质与成土时间④地形、气候 A.①② B.①③ C.②④ D.③④ 9.兴安落叶松林土壤总有机碳主要富集在0-10cm土层且垂直差异大的主要原因是( ) A.永冻土层发育 B.受人类干扰少 C.淋溶作用强烈 D.枯落物分解快 (2024·山东·模拟预测)多枝柽柳耐旱、耐热、耐盐、喜沙、喜水,广泛分布在干旱、半干旱地区的 盐碱化平原和河滩地上。新疆某研究区内风沙土、草甸土和盐土生境中多枝柽柳的种群密度较大,吐加依 土生境(以荒漠地区胡杨林及灌木林下的土壤为基础的生境类型)多枝柽柳的种群密度较小。表为该研究 区不同生境要素状况。完成下面小题。 类型 风沙土生境 草甸土生境 吐加依土生境 盐土生境 有机质含量 极低 高 高 低 土壤质地 砂质 砂质 砂砾质 砂质 盐分含量 低 高 低 高 地下水埋深 5~10米 1~3米 很深 1~2.5米 10.该研究区吐加依土生境的特点是( ) A.土壤质地为疏松的砂粒,有机质含量极低 B.土壤潮湿,具有腐殖质表层,水分条件好 C.土壤质地较粗,土表具有特殊的叶垫表层D.地下水埋藏浅,地表有盐霜或薄盐结皮层 11.造成该研究区多枝柽柳种群密度差异的主要影响因素是( ) A.土壤质地 B.有机质含量 C.盐分含量 D.地下水埋深 (2024·广东江门·二模)某地原始森林和灌木于1998年被砍伐后被开辟为牧场,分区种植普通牧草 和高蛋白的优质牧草。经过二十多年的演化,牧场出现土壤退化问题,优质牧草草场尤为突出。表示意该 地普通牧草草场、优质牧草草场和原始森林下土壤性状对比。完成下面小题。 土层深度/ 类型 砂/% 粉砂/% 黏土/% 土壤密度/(g·m-3) pH值 有机质含量/% cm 普通牧草 41.1 22.0 36.9 1.2 4.9 3.9 优质牧草 0〜5 57.5 20.7 21.8 1.1 4.9 5.8 原始森林 46.8 22.0 31.2 1.2 5.3 4.7 普通牧草 41.9 21.6 36.5 1.2 5.0 3.6 优质牧草 5〜10 47.5 18.7 33.8 1.2 4.8 2.4 原始森林 45.5 21.6 32.9 1.2 5.1 3.7 普通牧草 35.1 20.2 44.7 1.2 4.7 2.8 优质牧草 10〜20 34.0 19.0 47.0 1.2 4.7 2.5 原始森林 37.1 23.3 39.6 1.2 5.1 2.8 12.优质牧草草场土壤性质方面存在的主要问题是( ) ①透气性、透水性较差②土壤酸化较明显 ③有机质在土壤表层聚集明显④土壤表层侵蚀严重 A.①② B.①④ C.②③ D.③④ 13.该区域可能位于( ) A.东北平原 B.墨西哥高原 C.西欧平原 D.内蒙古高原