当前位置:首页>文档>专题24极坐标与参数方程专项训练(解析版)_2.2025数学总复习_赠品通用版(老高考)复习资料_二轮复习_高频考点解密2023年高考数学二轮复习讲义+分层训练(全国通用)

专题24极坐标与参数方程专项训练(解析版)_2.2025数学总复习_赠品通用版(老高考)复习资料_二轮复习_高频考点解密2023年高考数学二轮复习讲义+分层训练(全国通用)

  • 2026-04-12 09:21:37 2026-03-17 06:43:57

文档预览

专题24极坐标与参数方程专项训练(解析版)_2.2025数学总复习_赠品通用版(老高考)复习资料_二轮复习_高频考点解密2023年高考数学二轮复习讲义+分层训练(全国通用)
专题24极坐标与参数方程专项训练(解析版)_2.2025数学总复习_赠品通用版(老高考)复习资料_二轮复习_高频考点解密2023年高考数学二轮复习讲义+分层训练(全国通用)
专题24极坐标与参数方程专项训练(解析版)_2.2025数学总复习_赠品通用版(老高考)复习资料_二轮复习_高频考点解密2023年高考数学二轮复习讲义+分层训练(全国通用)
专题24极坐标与参数方程专项训练(解析版)_2.2025数学总复习_赠品通用版(老高考)复习资料_二轮复习_高频考点解密2023年高考数学二轮复习讲义+分层训练(全国通用)
专题24极坐标与参数方程专项训练(解析版)_2.2025数学总复习_赠品通用版(老高考)复习资料_二轮复习_高频考点解密2023年高考数学二轮复习讲义+分层训练(全国通用)
专题24极坐标与参数方程专项训练(解析版)_2.2025数学总复习_赠品通用版(老高考)复习资料_二轮复习_高频考点解密2023年高考数学二轮复习讲义+分层训练(全国通用)
专题24极坐标与参数方程专项训练(解析版)_2.2025数学总复习_赠品通用版(老高考)复习资料_二轮复习_高频考点解密2023年高考数学二轮复习讲义+分层训练(全国通用)
专题24极坐标与参数方程专项训练(解析版)_2.2025数学总复习_赠品通用版(老高考)复习资料_二轮复习_高频考点解密2023年高考数学二轮复习讲义+分层训练(全国通用)
专题24极坐标与参数方程专项训练(解析版)_2.2025数学总复习_赠品通用版(老高考)复习资料_二轮复习_高频考点解密2023年高考数学二轮复习讲义+分层训练(全国通用)
专题24极坐标与参数方程专项训练(解析版)_2.2025数学总复习_赠品通用版(老高考)复习资料_二轮复习_高频考点解密2023年高考数学二轮复习讲义+分层训练(全国通用)
专题24极坐标与参数方程专项训练(解析版)_2.2025数学总复习_赠品通用版(老高考)复习资料_二轮复习_高频考点解密2023年高考数学二轮复习讲义+分层训练(全国通用)
专题24极坐标与参数方程专项训练(解析版)_2.2025数学总复习_赠品通用版(老高考)复习资料_二轮复习_高频考点解密2023年高考数学二轮复习讲义+分层训练(全国通用)
专题24极坐标与参数方程专项训练(解析版)_2.2025数学总复习_赠品通用版(老高考)复习资料_二轮复习_高频考点解密2023年高考数学二轮复习讲义+分层训练(全国通用)

文档信息

文档格式
docx
文档大小
0.565 MB
文档页数
13 页
上传时间
2026-03-17 06:43:57

文档内容

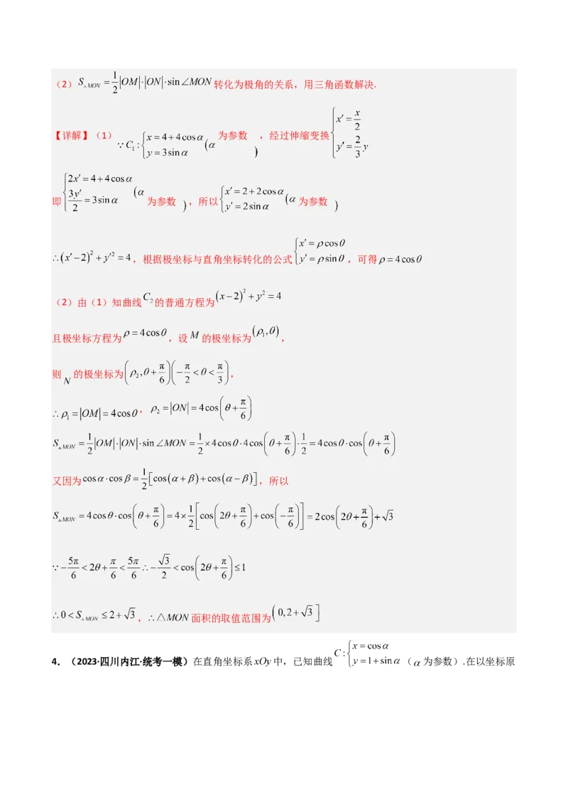
极坐标与参数方程专项测试卷 考试时间:120分钟 满分:100分 1.(2023·四川成都·统考一模)在直角坐标系 中,圆心为 的圆 的参数方程为 ( 为 参数).以坐标原点 为极点, 轴正半轴为极轴建立极坐标系,曲线 的极坐标方程为 . (1)求圆 的极坐标方程; (2)设点 在曲线 上,且满足 ,求点 的极径. 【答案】(1) (2)1或 【分析】(1)根据参数方程,直角坐标方程,极坐标方之间的相互转化关系即可求解;(2)根据极坐标 方程和余弦定理以及一元二次方程即可求解. 【详解】(1)由圆 的参数方程消去参数 ,得圆 的普通方程为 ,圆心 . 把 代入 , 化简得圆 的极坐标方程为 . (2)由题意,在极坐标系中,点 . 点 在曲线 上,设 . 在 中,由余弦定理有 , 即 . 化简得 . 解得 或 .故 或 . 点 的极径为1或 . 2.(2022·陕西西安·西安市第三十八中学校考一模)在直角坐标系 中,曲线C的参数方程为 (t为参数),以坐标原点O为极点,x轴的非负半轴为极轴建立极坐标系,直线l的极坐标方程 是 . (1)求曲线C的普通方程和直线l的直角坐标方程; (2)若直线l与曲线C交于A,B两点,点 ,求 的值. 【答案】(1) ; (2) 【分析】(1)消去参数可得C的普通方程,根据极坐标与直角坐标转化公式可求直线直角坐标方程; (2)将直线的参数方程代入普通方程,消元后根据参数的几何意义求解. 【详解】(1)由 (t为参数),得 , 故曲线C的普通方程为 . 由 ,得 , 故直线l的直角坐标方程为 .(2)由题意可知直线l的参数方程为 (t为参数). 将直线l的参数方程代入曲线C的普通方程并整理得 , 设A,B对应的参数分别是 , 则 , 从而 , 故 . 3.(2023·河南信阳·河南省信阳市第二高级中学校联考一模)在直角坐标系 中,已知曲线 : ( 为参数).经伸缩变换 后的曲线为 ,以原点О为极点,x轴非负半轴为极轴 建立极坐标系. (1)求曲线 的极坐标方程; (2)M,N是曲线 上的两点,且 ,求 面积的取值范围. 【答案】(1) (2) 【分析】(1)根据伸缩变换求出 的普通方程,再根据根据极坐标与直角坐标转化的公式转化为极坐标 方程(2) 转化为极角的关系,用三角函数解决. 【详解】(1) 为参数 ,经过伸缩变换 即 为参数 ,所以 为参数 ,根据极坐标与直角坐标转化的公式 ,可得 (2)由(1)知曲线 的普通方程为 且极坐标方程为 ,设 的极坐标为 , 则 的极坐标为 , , 又因为 ,所以 , 面积的取值范围为 4.(2023·四川内江·统考一模)在直角坐标系 中,已知曲线 ( 为参数).在以坐标原点 为极点, 轴正半轴为极轴的极坐标系中,直线 的极坐标方程为 . (1)求曲线 的普通方程和直线 的直角坐标方程; (2)求曲线 与直线 交点的极坐标 . 【答案】(1)曲线 ;直线 (2) 和 【分析】(1)根据参数方程与普通方程、极坐标与直角坐标互化原则直接求解即可; (2)联立曲线 与直线 的直角坐标方程,可求得交点的直角坐标,根据直角坐标与极坐标互化的方法可 求得极坐标. 【详解】(1)由 得: ,即曲线 的普通方程为 ; 由 得: , 则 ,即直线 的直角坐标方程为 . (2)由 得: 或 ,即曲线 与直线 交点为 和 , 曲线 与直线 交点的极坐标为 和 . 5.(2022·河南·校联考模拟预测)在直角坐标系 中,曲线 的参数方程为 以 为极点, 轴正半轴为极轴建立极坐标系,直线 的极坐标方程为 . (1)写出 的直角坐标方程;(2)若 与 只有一个公共点,求 的值. 【答案】(1) (2) 【分析】(1)利用和差化积的正弦公式把直线 的极坐标方程展开,再利用极坐标与直角坐标的互化公式即 可求解. (2)先得出曲线C的普通方程,再联立方程,利用判别式等于0即可求解. (1) 由 的极坐标方程可得 ,由 可知, 直角坐标方程为: . (2) 由 的参数方程可得 , 即 的普通方程为 . 联立方程 得: , 因为直线 与曲线 只有一个公共点, 所以 , 解得: . 6.(2022·四川广安·统考模拟预测)在平面直角坐标系 中,曲线C的参数方程为 ( 为参数),以坐标原点O为极点,x轴的正半轴为极轴,取相同长度单位建立极坐标系,直线l的极坐标方程为 . (1)求曲线C的普通方程和直线l的直角坐标方程; (2)设直线l与y轴的交点为P,经过点P的动直线m与曲线C交于A,B两点,证明: 为定值. 【答案】(1) ; (2)证明见解析. 【分析】(1)将曲线 参数方程平方相加,即可消去参数得到普通方程,将直线 方程展开,利用 代入,即可求出直角坐标方程; (2)由(1)得 ,设直线 参数方程为 为参数),代入曲线 普通方程中,设交 点 , 对应的参数为 ,根据根与系数关系得出 的值,结合直线 参数的几何意义即可证明. (1) 解:由 得 由 得 , 因为 ,所以 , 所以, 的普通方程是 , 的直角坐标方程为 (2) 解:由(1)知 设 的参数方程为 为参数), 代入 的普通方程得 , 所以,当 时,设方程的两根为 ,则所以, , 所以 为定值. 7.(2022·河南安阳·校联考模拟预测)在直角坐标系 中,以坐标原点为极点,x轴的非负半轴为极轴 建立极坐标系,曲线C的极坐标方程为 . (1)写出C的普通方程和一个参数方程; (2)若直线 和 分别与C交于与O不重合的点A,B,求 . 【答案】(1)普通方程为 ,参数方程为 ( 为参数); (2) 【分析】(1)先由公式求出C的普通方程,再写出参数方程即可; (2)先联立极坐标方程求得 ,再结合 ,由勾股定理求 即可. (1) 由 可得 ,化为普通方程为 ,即 ;参数方程为 ( 为参数); (2) 将 和 分别代入 ,得 ,解得 ; ,解 得 ; 则 ,又 ,则 ,则 . 8.(2022·黑龙江鸡西·鸡西市第四中学校考三模)在平面直角坐标系 中,曲线 : ,曲线 :( 为参数),以坐标原点O为极点,x轴的正半轴为极轴建立极坐标系. (1)求曲线 , 的极坐标方程; (2)若射线 与曲线 , 的公共点分别为A,B,求 的最大值. 【答案】(1) , ; (2) . 【分析】(1)根据直角坐标与极坐标的转化公式可得 ,消参得 的普通方程,再转化为极坐标方程即 可; (2)根据极径的意义,问题转化为 ,代入 , ,利用三角函数求最 值即可. (1) 曲线 的极坐标方程为 , 曲线 的普通方程为 ,所以曲线 的极坐标方程为 . (2) 设 , , 因为A,B是射线 与曲线 , 的公共点, 所以不妨设 ,则 , , 所以 ,所以当 时, 取得最大值 . 9.(2022·贵州贵阳·贵阳一中校考模拟预测)在直角坐标系xOy中,已知直线l过点 倾斜角为 且 (1)以坐标原点为极点,x轴正半轴为极轴建立极坐标系,求点M关于曲线 R)的对称点的极 坐标; (2)已知点A,B分别是直线l与x,y轴的交点,求 的最小值. 【答案】(1) (2) 【分析】(1)结合对称性即可直接写出结果; (2)设出直线的参数方程,进而可得 然后结合三角函数的图像与性质即 可求出结果. (1) 点 的极坐标为 ,曲线 是过极点且倾斜角为 的直线, 所以可得点 关于曲线 的对称点的极坐标为 . (2) 直线 的参数方程为 ( 为参数), 设点 对应的参数分别为 , 因为点 分别是直线 与 轴的交点,所有 , 当 时, . 10.(2022·江西萍乡·统考三模)在平面直角坐标系 中,直线 的参数方程为 ( 为参 数),以坐标原点 为极点, 轴正半轴为极轴建立极坐标系,曲线 的极坐标方程为 . (1)求直线 的普通方程和曲线 的直角坐标方程; (2)若点 为曲线 上任意一点,求点 到直线 距离的最小值. 【答案】(1) , (2) 【分析】(1)消去参数t得直线普通方程,将 代入曲线 可得直角坐标方程; (2)设点 ,利用点到直线距离公式求解可得. (1) 将 代入 ,消去t得直线 的普通方程为 ; 由 得, , 将 代入可得 ,即曲线 的直角坐标方程为 ; (2)设点 , 则点 到直线 的距离 , 当 ,即 时, , 所以点 到直线 的距离最小值为 .