当前位置:首页>文档>专题5.6平面向量的数量积及其应用-重难点题型精练(举一反三)(新高考地区专用)(解析版)_2.2025数学总复习_2023年新高考资料_一轮复习

专题5.6平面向量的数量积及其应用-重难点题型精练(举一反三)(新高考地区专用)(解析版)_2.2025数学总复习_2023年新高考资料_一轮复习

  • 2026-03-30 05:13:52 2026-03-18 03:35:55

文档预览

专题5.6平面向量的数量积及其应用-重难点题型精练(举一反三)(新高考地区专用)(解析版)_2.2025数学总复习_2023年新高考资料_一轮复习
专题5.6平面向量的数量积及其应用-重难点题型精练(举一反三)(新高考地区专用)(解析版)_2.2025数学总复习_2023年新高考资料_一轮复习
专题5.6平面向量的数量积及其应用-重难点题型精练(举一反三)(新高考地区专用)(解析版)_2.2025数学总复习_2023年新高考资料_一轮复习
专题5.6平面向量的数量积及其应用-重难点题型精练(举一反三)(新高考地区专用)(解析版)_2.2025数学总复习_2023年新高考资料_一轮复习
专题5.6平面向量的数量积及其应用-重难点题型精练(举一反三)(新高考地区专用)(解析版)_2.2025数学总复习_2023年新高考资料_一轮复习
专题5.6平面向量的数量积及其应用-重难点题型精练(举一反三)(新高考地区专用)(解析版)_2.2025数学总复习_2023年新高考资料_一轮复习
专题5.6平面向量的数量积及其应用-重难点题型精练(举一反三)(新高考地区专用)(解析版)_2.2025数学总复习_2023年新高考资料_一轮复习
专题5.6平面向量的数量积及其应用-重难点题型精练(举一反三)(新高考地区专用)(解析版)_2.2025数学总复习_2023年新高考资料_一轮复习
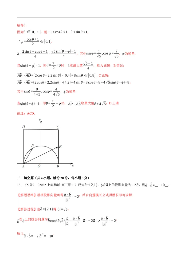
专题5.6平面向量的数量积及其应用-重难点题型精练(举一反三)(新高考地区专用)(解析版)_2.2025数学总复习_2023年新高考资料_一轮复习
专题5.6平面向量的数量积及其应用-重难点题型精练(举一反三)(新高考地区专用)(解析版)_2.2025数学总复习_2023年新高考资料_一轮复习
专题5.6平面向量的数量积及其应用-重难点题型精练(举一反三)(新高考地区专用)(解析版)_2.2025数学总复习_2023年新高考资料_一轮复习
专题5.6平面向量的数量积及其应用-重难点题型精练(举一反三)(新高考地区专用)(解析版)_2.2025数学总复习_2023年新高考资料_一轮复习
专题5.6平面向量的数量积及其应用-重难点题型精练(举一反三)(新高考地区专用)(解析版)_2.2025数学总复习_2023年新高考资料_一轮复习
专题5.6平面向量的数量积及其应用-重难点题型精练(举一反三)(新高考地区专用)(解析版)_2.2025数学总复习_2023年新高考资料_一轮复习
专题5.6平面向量的数量积及其应用-重难点题型精练(举一反三)(新高考地区专用)(解析版)_2.2025数学总复习_2023年新高考资料_一轮复习
专题5.6平面向量的数量积及其应用-重难点题型精练(举一反三)(新高考地区专用)(解析版)_2.2025数学总复习_2023年新高考资料_一轮复习
专题5.6平面向量的数量积及其应用-重难点题型精练(举一反三)(新高考地区专用)(解析版)_2.2025数学总复习_2023年新高考资料_一轮复习
专题5.6平面向量的数量积及其应用-重难点题型精练(举一反三)(新高考地区专用)(解析版)_2.2025数学总复习_2023年新高考资料_一轮复习
专题5.6平面向量的数量积及其应用-重难点题型精练(举一反三)(新高考地区专用)(解析版)_2.2025数学总复习_2023年新高考资料_一轮复习
专题5.6平面向量的数量积及其应用-重难点题型精练(举一反三)(新高考地区专用)(解析版)_2.2025数学总复习_2023年新高考资料_一轮复习

文档信息

文档格式
docx
文档大小
0.424 MB
文档页数
20 页
上传时间
2026-03-18 03:35:55

文档内容

专题5.6 平面向量的数量积及其应用-重难点题型精练 参考答案与试题解析 一.选择题(共8小题,满分40分,每小题5分) 1.(5分)(2022·安徽·高三阶段练习)已知向量⃗m=(2,−3),⃗n=(1,1) ,若(λ⃗m−⃗n)⊥⃗n,则实数λ的 值为( ) 1 1 A.− B. C.2 D.−2 2 2 【解题思路】根据(λ⃗m−⃗n)⊥⃗n得到λ的方程求解即可. 【解答过程】解:由题意得,λ⃗m−⃗n=(2λ−1,−3λ−1), ∵ (λ⃗m−⃗n)⊥⃗n, ∴ 2λ−1−3λ−1=0, ∴ λ=−2, 故选:D. 2.(5分)设向量 , 均为单位向量,则“ ”是“ ”的( ) ⃗a ⃗b ⃗a⊥⃗b |2⃗a−⃗b|=|⃗a+2⃗b| A.充分不必要条件 B.充要条件 C.必要不充分条件 D.既不充分也不必要条件 【解题思路】由数量积的运算性质与充分条件与必要条件的定义求解即可 【解答过程】向量 , 均为单位向量,由 化简可得 ⃗a ⃗b |2⃗a−⃗b|=|⃗a+2⃗b| 4⃗a2−4⃗a⋅⃗b+⃗b2=4⃗a2−4⃗a⋅⃗b+⃗b2, 所以4−4⃗a⋅⃗b+1=1+4⃗a⋅⃗b+4, 所以⃗a⋅⃗b=0,即⃗a⊥⃗b. 向量⃗a,⃗b均为单位向量,当⃗a⊥⃗b时, 则⃗a⋅⃗b=0, , |2⃗a−⃗b|=√4⃗a2−4⃗a⋅⃗b+⃗b2=√5 , |⃗a+2⃗b|=√4⃗a2−4⃗a⋅⃗b+⃗b2=√5 所以 , |2⃗a−⃗b|=|⃗a+2⃗b| 所以“ ”是“ ”的充要条件, ⃗a⊥⃗b |2⃗a−⃗b|=|⃗a+2⃗b|故选:B. 3.(5分)(2022·江苏泰州·高三期中)已知向量 , ,则下列结论正确的是( ) ⃗a=(1,3) ⃗b=(2,−4) A. (⃗a+⃗b)//⃗a B. |2⃗a+⃗b|=√10 3π C.向量⃗a与向量⃗b的夹角为 4 D.⃗b在⃗a的投影向量是(1,3) 【解题思路】应用向量坐标的线性运算求 、 ,结合向量共线定理、模长的坐 ⃗a+⃗b=(3,−1) 2⃗a+⃗b=(4,2) 标运算判断A、B,根据向量夹角的坐标表示、投影向量的定义判断C、D. 【解答过程】由 ,不存在 使 ,即与 不共线,A错误; ⃗a+⃗b=(3,−1) λ∈R ⃗a+⃗b=λ⃗a ⃗a 由 ,故 ,B错误; 2⃗a+⃗b=(4,2) |2⃗a+⃗b|=2√5 由 ⃗a⋅⃗b 10 √2,又 ,故 3π,C正确; cos<⃗a,⃗b>= =− =− <⃗a,⃗b>∈[0,π] <⃗a,⃗b>= |⃗a||⃗b| √10×2√5 2 4 ⃗a √2 ⃗a 由⃗b在⃗a的投影向量|⃗b|cos<⃗a,⃗b>⋅ =2√5×(− )× =(−1,−3),D错误. |⃗a| 2 √10 故选:C. 4.(5分)(2022·江西赣州·高三期中(理))已知非零向量 , 满足 ,且 ,则 ⃗a ⃗b |⃗a|=2√2|⃗b| (⃗a−4⃗b)⊥⃗a ⃗a与⃗b的夹角为( ) π π 2π 3π A. B. C. D. 3 4 3 4 【解题思路】根据给定条件,利用垂直的向量表示求出⃗a⋅⃗b,再利用夹角公式计算作答. 【解答过程】因非零向量 , 满足 ,由 得: ,解得 ⃗a ⃗b |⃗a|=2√2|⃗b| (⃗a−4⃗b)⊥⃗a (⃗a−4⃗b)⋅⃗a=⃗a2−4⃗a⋅⃗b=0 1 ⃗a⋅⃗b= ⃗a2=2⃗b2, 4于是得 ⃗a⋅⃗b 2⃗b2 √2,而 ,则 π, cos〈⃗a,⃗b〉= = = 0≤〈⃗a,⃗b〉≤π 〈⃗a,⃗b〉= |⃗a||⃗b| 2√2⃗b2 2 4 π 所以⃗a与⃗b的夹角为 . 4 故选:B. 5.(5分)(2022·江苏南通·高三期中)已知△ABC的外接圆的圆心为O,半径为1, 1 1 1 ⃗AO= ⃗AB+ ⃗AC,⃗BA在⃗BC上的投影向量为 ⃗BC,则⃗OA⋅⃗BC=( ) 2 2 4 A.−√3 B.−1 C.1 D.√3 1 【解题思路】先根据条件得△ABC为直角三角形,再根据投影向量的公式可得cosB= ,进而可得三角 2 1 形中每个角的大小,再通过计算∴⃗OA⋅⃗BC=− (⃗AB+⃗AC)(⃗AC−⃗AB)可得答案. 2 1 1 【解答过程】解:⃗AO= ⃗AB+ ⃗AC,则O为BC中点,O又是外接圆圆心, 2 2 1 则△ABC为直角三角形, ⃗BC为⃗BA在⃗BC上的投影向量, 4 |⃗BA|cosB 1 ,∴ |⃗BA|cosB 1, ∴ ⋅⃗BC= ⃗BC = |⃗BC| 4 |⃗BC| 4 1 1 ∴cos2B= ,∴cosB= 4 2 π π ∴B= ,C= , 3 6 1 1 ∴⃗OA⋅⃗BC=−⃗AO⋅⃗BC=− (⃗AB+⃗AC)(⃗AC−⃗AB)=− (⃗AC2−⃗AB2), 2 2 △ABC的外接圆半径为1,∴BC=2,∴AB=1,AC=√3, 1 ∴⃗OA⋅⃗BC=− (3−1)=−1, 2 故选:B.6.(5分)(2022·全国·高三专题练习)设锐角△ABC内部的一点O满足|OA|=|OB|=|OC|,且 1 cosB cosC ⋅⃗OA+ ⋅⃗AB+ ⋅⃗AC=0⃗,则角A的大小可能为( ) 2cosA sinC sinB π π π 5π A. B. C. D. 4 6 3 12 【解题思路】根据三角恒等变换和外心的向量性质,将原式化简,即可求得角A的大小. 【解答过程】由于锐角△ABC内部的一点O满足|OA|=|OB|=|OC|, 所以点O为△ABC外接圆的圆心,外接圆的半径为R; 1 cosB cosC 所以 ⋅⃗OA+ ⋅⃗AB+ ⋅⃗AC=0⃗, 2cosA sinC sinB 1 cosB cosC 整理得 ⋅⃗OA+ ⋅ ⃗ (OB−⃗OA)+ ⋅(⃗OC−⃗OA)=0⃗, 2cosA sinC sinB 1 cosB cosC 所以 ⋅⃗OA2+ ⋅(⃗OB⋅⃗OA−⃗OA2 )+ ⋅(⃗OC⋅⃗OA−⃗OA2 )=0, 2cosA sinC sinB 1 cosB cosC 故 ⋅R2+ ⋅R2 ⋅(cos2C−1)+ ⋅R2 ⋅(cos2B−1)=0, 2cosA sinC sinB 1 cosB cosC 则 + ⋅(cos2C−1)+ ⋅(cos2B−1)=0, 2cosA sinC sinB 1 所以 =2sinCcosB+2sinBcosC=2sin(B+C)=2sinA, 2cosA 1 故sin2A= , 2 π 由于00,则λ(1−λ)>0 D.若⃗OB⋅⃗OC<0,则λ(1−λ)<0 【解题思路】根据投影向量的定义求得 在 上的投影向量判断A,求出向量的模 ,由函数性质 ⃗OA ⃗OB |⃗OC| 得最小值判断B,计算⃗OB⋅⃗OC,根据其正负确定λ的范围,然后判断λ(1−λ)的正负,从而判断CD.【解答过程】 ⃗OA⋅⃗OB −2+12 √2, cos∠AOB= = = |⃗OA||⃗OB| √10×√20 2 ⃗OA 在 ⃗OB 上的投影向量为 |⃗OA| cos∠AOB⋅⃗OB= √10 ⋅ √2 ⋅(−2,4)=(−1,2) ,A正确; |⃗OB| 2√5 2 ⃗OC=λ⃗OA+(1−λ)⃗OB=(λ,3λ)+(−2+2λ,4−4λ)=(−2+3λ,4−λ), , |⃗OC|=√(−2+3λ) 2+(4−λ) 2=√10(λ−1) 2+10 所以 时, 取得最小值 ,B正确; λ=1 |⃗OC| √10 ⃗OB⋅⃗OC=4−6λ+16−4λ=20−10λ>0,λ<2,无法判断λ(1−λ)的符号,C错误; ⃗OB⋅⃗OC<0,λ>2,则λ(1−λ)<0,D正确. 故选:ABD. 12.(5分)(2022·安徽·高三阶段练习)正方形ABCD的边长为4,E是BC中点,如图,点P是以AB为 直径的半圆上任意点,⃗AP=λ⃗AD+μ⃗AE,则( ) A.μ最大值为1 B.λ最大值为2 C.⃗AP⋅⃗AD最大值是8 D.⃗AP⋅⃗AE最大值是8+4√5 【解题思路】如图,以线段AB所在直线为x轴,线段AB的垂直平分线为y轴建立平面直角坐标系, 设P(2cosθ,2sinθ),θ∈[0,π],又A(−2,0),B(2,0),E(2,2),D(−2,4),C(2,4),利用向量的坐标运算, 结合三角函数的性质逐一求解即可. 【解答过程】如图,以线段AB所在直线为x轴,线段AB的垂直平分线为y轴建立平面直角坐标系, 设P(2cosθ,2sinθ),θ∈[0,π], 又A(−2,0),B(2,0),E(2,2),D(−2,4),C(2,4), 则⃗AP=(2cosθ+2,2sinθ),⃗AD=(0,4),⃗AE=(4,2), ∵⃗AP=λ⃗AD+μ⃗AE,即(2cosθ+2,2sinθ)=λ(0,4)+μ(4,2), ∴¿,解得¿, 因为θ∈[0,π],则−1≤cosθ≤1,0≤sinθ≤1, cosθ+1 ∴μ= ∈[0,1], 2 2sinθ−cosθ−1 √5sin(θ−φ)−1 1 2 λ= = ,其中sinφ= ,cosφ= ,φ为锐角, 4 4 √5 √5 π √5−1 当sin(θ−φ)=1,即θ= +φ时,λ取最大值 ,故A正确,B错误; 2 4 ⃗AP⋅⃗AD=(2cosθ+2,2sinθ)⋅(0,4)=8sinθ∈[0,8],C正确; ⃗AP⋅⃗AE=(2cosθ+2,2sinθ)⋅(4,2)=4sinθ+8cosθ+8=4√5sin(θ+ϕ)+8, 8 4 其中sinϕ= ,cosϕ= ,ϕ为锐角 4√5 4√5 π 当sin(θ+ϕ)=1,即θ= −ϕ时,⃗AP⋅⃗AE取最大值8+4√5,D正确 2 故选:ACD. 三.填空题(共4小题,满分20分,每小题5分) 13.(5分)(2022·上海杨浦·高三期中)已知⃗a=(2,1),⃗b在⃗a上的投影向量为−2⃗a,则⃗a⋅⃗b= −10 . 【解题思路】根据投影向量可得⃗a⋅⃗b =−2 ,结合向量模长公式得模长即可求解. 2 |⃗a| 【解答过程】由⃗a=(2,1)得|⃗a|=√5, ⃗b 在 ⃗a 上的投影向量为⃗bcos⟨⃗a,⃗b⟩ ⃗a = ⃗a⋅⃗b ⋅⃗a=−2⃗a⇒ ⃗a⋅⃗b =−2 , |⃗a| |⃗a| 2 |⃗a| 2 所以 , ⃗a⋅⃗b=−2|⃗a| 2=−10故答案为:−10. 14.(5分)向量 满足 ,且 ,则 与 夹角的余弦值等于 ⃗a、⃗b (⃗a−⃗b)⋅(2⃗a+⃗b)=−4 |⃗a|=2,|⃗b|=4 ⃗a ⃗b −0.5 . 【解题思路】利用向量数量积公式得到 ,解出即 (⃗a−⃗b)⋅(2⃗a+⃗b)=2⃗a2−⃗b2−⃗a⋅⃗b=8−16−8cosθ=−4 可. 【解答过程】 (⃗a−⃗b)⋅(2⃗a+⃗b)=2⃗a2−⃗b2−⃗a⋅⃗b =2|⃗a|2−|⃗b|2−|⃗a||⃗b|cosθ =2⋅22−4 2−2⋅4⋅cosθ ❑ =8−16−8cosθ =−4, 1 解得cosθ=− . 2 1 故答案为:− . 2 π 15.(5分)(2022·安徽·高三阶段练习)△ABC中,AB=2,∠ACB= ,O是△ABC外接圆的圆心, 4 则⃗OC⋅⃗AB+⃗CA⋅⃗CB的最大值为 6 . π 【解题思路】首先根据平面图形的几何性质求出外接圆半径长度与∠AOB= ,然后将向量⃗AB,⃗CA, 2 ⃗CB用向量⃗OA,⃗OB,⃗OC线性表示. 再根据数量积运算得 2 ,最后根据 的取值范 ⃗OC⋅⃗AB+⃗CA⋅⃗CB=|⃗OC| −2|⃗OA||⃗OC|cos∠AOC ∠AOC 围求得⃗OC⋅⃗AB+⃗CA⋅⃗CB的最大值即可 π 【解答过程】△ABC中,∠ACB= ,O是△ABC外接圆圆心,如图所示: 4π 则∠AOB=2∠ACB= ,又因为AB=2, 2 所以OA=OB=√2,即外接圆的半径r=√2. ⃗OC⋅⃗AB+⃗CA⋅⃗CB=⃗OC⋅(⃗OB−⃗OA)+(⃗OA−⃗OC)⋅(⃗OB−⃗OC) =⃗OC⋅⃗OB−⃗OC⋅⃗OA+⃗OA⋅⃗OB−⃗OA⋅⃗OC−⃗OC⋅⃗OB+⃗OC2=⃗OA⋅⃗OB+⃗OC2−2⃗OA⋅⃗OC, π ∵∠AOB= ,OA⊥OB,即⃗OA⋅⃗OB=0. 2 故得 ⃗OC⋅⃗AB+⃗CA⋅⃗CB=⃗OC2−2⃗OA⋅⃗OC=|⃗OC| 2 −2|⃗OA|⋅|⃗OC|cos∠AOC=2−4cos∠AOC , 因为A、C不重合,所以向量⃗OA与⃗OC的夹角范围为(0,π], 所以−1≤cos∠AOC<1, 所以cos∠AOC=−1,即O为AC的中点时, ⃗OC⋅⃗AB+⃗CA⋅⃗CB取得最大值为2−4×(−1)=6. 故答案为:6. 16.(5分)(2022·北京通州·高三期中)已知△ABC满足⃗BC⋅⃗CA>0.给出下列四个结论: ①△ABC为锐角三角形; ②sinA⃗CB2+⃗CA2; ④cosAcosB>sinAsinB. 其中所有正确结论的序号是 ②③④ . 【解题思路】根据平面向量数量积的定义,结合余弦定理、两角和的余弦公式、正弦型函数的单调性逐一 判断即可. π 【解答过程】由⃗BC⋅⃗CA>0⇒⃗CB⋅⃗CA<0⇒|⃗CB|⋅|⃗CA|⋅cosC<0⇒cosC<0⇒C∈( ,π), 2 所以△ABC是钝角三角形,因此①不正确; π π π 因为C∈( ,π),所以A+B< ⇒A< −B, 2 2 2 π 因为A,B都是锐角,所以可得sin A0⇒cosAcosB−sin AsinB>0⇒cosAcosB>sinAsinB,因此④正确, 故答案为:②③④. 四.解答题(共6小题,满分70分) π 17.(10分)(2021·辽宁·高二期末)已知向量 ⃗a=(1,0),⃗b=(m,1) ,且⃗a与⃗b的夹角为 . 4 (1)求|⃗a−2⃗b|; (2)若⃗a+λ⃗b与⃗b垂直,求实数 λ的值. 【解题思路】(1)根据向量夹角的坐标运算,结合已知条件,列出方程即可求得参数;再结合平面向量 的运算求模长即可; (2)根据(1)中所求,结合向量垂直的坐标运算,即可求得参数λ. π 【解答过程】(1)因为 ⃗a=(1,0),⃗b=(m,1) ,且⃗a与⃗b 的夹角为 ,所以 ⃗a⋅⃗b=m,|⃗a|=1,|⃗b|=√m2+1. 4 因为 ⃗a⋅⃗b ,故 m π,解得 或 (舍). cos<⃗a,⃗b>= =cos m=1 m=−1 |⃗a||⃗b| √m2+1 4 所以 ,则 . ⃗a−2⃗b=(−1,−2) |⃗a−2⃗b| =√(−1) 2+(−2) 2=√5 (2)因为 , 与 垂直, ⃗a+λ⃗b=(1+λ,λ) ⃗a+λ⃗b ⃗b 1 所以(⃗a+λ⃗b)⋅⃗b=0,即1+2λ=0,解得λ=− . 2 3 18.(12分)(2022·浙江嘉兴·高一期末)已知平面向量⃗a,⃗b满足|⃗a|=1,⃗a⋅⃗b= , 2 7 (⃗a+2⃗b)⋅(⃗a−⃗b)=− . 2 (1)求 的值; |⃗b| (2)设⃗b在⃗a上的投影向量为λ⃗a,求实数λ的值. 【解题思路】(1)根据向量计算的相关公式解方程; (2)根据向量的投影的概念及公式直接计算. 【解答过程】(1) 由 7,即→ → → → 3 |→| 2 7, (⃗a+2⃗b)⋅(⃗a−⃗b)=− a2+a⋅b−2b2=1+ −2 b =− 2 2 2解得 ; |⃗b|=√3 (2) ⃗a⋅⃗b ⃗a 3 ⃗b在⃗a上的投影向量为 = ⃗a, |⃗a| |⃗a| 2 3 故λ= . 2 19.(12分)(2022·湖北·高三期中)已知△ABC的内角A,B,C 所对的边分别是a,b,c 向量 , ,且 . ⃗m=(a,√3a) ⃗n=(cosC,sinC) ⃗m·⃗n=b+c (1)求角A; (2)若a=2√3,△ABC 的面积为2√3,求b、c. 【解题思路】(1)由向量数量积的坐标运算代入⃗m⋅⃗n=b+c中,利用正弦定理边化角的转化及 π 1 sinB=sin(A+C)进行化简得到√3sin A−cosA=1,再利用辅助角公式得sin ( A− )= ,根据条件求 6 2 出A; (2)由 及(1)求出 的值,在利用余弦定理及 ,求出 的值,联立方程组解出结 S =2√3 bc a=2√3 b+c △ABC 果. 【解答过程】(1)⃗m·⃗n=acosC+√3asinC=b+c, 根据正弦定理,即sin AcosC+√3sin AsinC=sinB+sinC, 因为sinB=sin(A+C),得sin AcosC+√3sin AsinC=sin(A+C)+sinC,由sinC>0, π π 1 整理得,√3sin A−cosA=1,即2sin ( A− )=1,sin ( A− )= , 6 6 2 π π 5π π π A− = 或 ,得A= 或π(舍去),即A= ; 6 6 6 3 3 1 √3 (2)S = bcsin A= bc=2√3,bc=8, △ABC 2 4 根据余弦定理,得 , a2=b2+c2−2bccosA=(b+c) 2−2bc−2bccosA 则 , , , 12=(b+c) 2−24 (b+c) 2=36 b+c=6 又bc=8,则¿或¿. 20.(12分)(2022·河南安阳·高三阶段练习(理))已知⃗a=(sinx+cosx,2cosθ),⃗b= ( 2sinθ, 1 sin2x ) . 2 π (1)若⃗c=(−3,4),且x= ,θ∈(0,π)时,⃗a与⃗c的夹角为钝角,求cosθ的取值范围; 4 π (2)若θ= ,函数f (x)=⃗a⋅⃗b,求f (x)的最小值. 3 【解题思路】(1)若⃗a与⃗c的夹角为钝角,则⃗a⋅⃗c<0且⃗a与⃗c不能共线. (sinx+cosx) 2−1 (2) 化简得f(x)=√3sinx+√3cosx+sinxcosx,利用 =sinxcosx转化为关于 2 sinx+cosx的二次函数求值域问题. 【解答过程】(1) π 当x= 时, ⃗a=(√2,2cosθ),若⃗a与⃗c的夹角为钝角, 4 则⃗a⋅⃗c<0且⃗a与⃗c不能共线, 3√2 ⃗a⋅⃗c=(√2,2cosθ)⋅(−3,4)=−3√2+8cosθ<0,所以cosθ< , 8 又θ∈(0,π),所以cosθ∈(−1,1) 2√2 2√2 当⃗a与⃗c共线时,4√2+6cosθ=0,故cosθ=− ,所以cosθ≠− . 3 3 2√2 2√2 3√2 综上:cosθ∈(−1,− )∪(− , ). 3 3 8 (2) f (x)=⃗a⋅⃗b=(sinx+cosx,1)⋅ ( √3, 1 sin2x ) 2 1 =√3sinx+√3cosx+ sin2x 2 =√3sinx+√3cosx+sinxcosx, π t2−1 令t=sinx+cosx=√2sin(x+ )∈[−√2,√2],则sinxcosx= 4 2 t2−1 1 f(x)=√3t+ = (t+√3) 2 −2 2 2 1 1 而函数y= (t+√3) 2 −2在t∈[−√2,√2]上为增函数,故当t=−√2时有最小值 −√6. 2 2 1 故f (x)的最小值为 −√6. 221.(12分)(2022·江苏无锡·高三期中)已知向量 , 满足 , , . ⃗a ⃗b |⃗a|=√2 |⃗b|=2 ⃗a⋅⃗b=−2 (1)求向量⃗b和⃗a+⃗b的夹角; (2)设向量 , ,是否存在正实数t和k,使得 ?如果存在,求出t的 ⃗x=⃗a+(t2−3)⃗b ⃗y=−k⃗a+(t+2)⃗b ⃗x⊥⃗y 取值范围;如果不存在,请说明理由. 【解题思路】(1)用 计算 ,求向量夹角公式为 ⃗b⋅(⃗a+⃗b) ,代入计算即可. √(⃗a+⃗b) 2 |⃗a+⃗b| cosθ= |⃗b||⃗a+⃗b| 7−2t2 (2)由⃗x⊥⃗y整理k,t的关系式k= ,由k>0得t的取值范围. t−2 【解答过程】(1) 2 , |⃗a+⃗b| =2+4+2×(−2)=2 ∴ , |⃗a+⃗b|=√2 ⃗b⋅(⃗a+⃗b)=⃗a⋅⃗b+⃗b2=−2+4=2 设向量⃗b和⃗a+⃗b的夹角为θ, ⃗b⋅(⃗a+⃗b) 2 √2, cosθ= = = θ∈[0,π] |⃗b||⃗a+⃗b| 2⋅√2 2 π ∴⃗b与 ⃗a+⃗b夹角为 . 4 (2)假设存在正实数t和k,使得⃗x⊥⃗y,则⃗x⋅⃗y=0, ⇒ [ ⃗a+(t2−3)⃗b] ⋅[−k⃗a+(t+2)⃗b] =−k⃗a2+[t+2−k(t2−3)] ⃗a⋅⃗b+(t2−3)(t+2)⋅⃗b2 , =−2k−2[t+2−k(t2−3)]+4(t+2)(t2−3)=0 ∴ , 2k(t2−4)+(t+2)(4t2−14)=0 ∵t>0,∴2k(t−2)+4t2−14=0, 7−2t2 ∴k(t−2)=7−2t2,k= >0, t−2 √14 故¿ 或¿ ,解得 0,∴cosθ= ,∴AD= ; 2 14 2 2 (2)y 设|⃑AE|=x,|⃑AF|= y,则⃑AE=x⃑AB,⃑AF= ⃑AC, 4 |AE||AF| xy 1 ∵△AEF的面积为△ABC面积的一半,∴ = = ,∴xy=2. |AB||AC| 4 2 λ λ 设⃑AG=λ⃑AD,则⃑AG=λ⃑AD= ⃑AB+ ⃑AC, 2 2 又E,G,F共线,∴可设⃑AG=μ⃑AE+(1−μ)⃑AF, y(1−μ) 则⃑AG=μ⃑AE+(1−μ)⃑AF=xμ⃑AB+ ⃑AC, 4 y ∴¿,解得:μ= . 4x+ y 2 2 ∴⃑AG= ⃑AB+ ⃑AC, 4x+ y 4x+ y y 又⃑EF=⃑EA+⃑AF= ⃑AC−x⃑AB, 4 ( 2 2 ) ( y ) ∴⃑AG⋅⃑EF= ⃑AB+ ⃑AC ⋅ ⃑AC−x⃑AB 4x+ y 4x+ y 4 = 2 [ y ⃑AC2−x⃑AB2+ ( y −x ) ⃑AC⋅⃑AB ] = 9 y−6x. 4x+ y 4 4 4x+ y 又 ,化简得 9 y−6x 18−6x2 21 3, xy=2 ⃑AG⋅⃑EF= = = − 4x+ y 4x2+2 4x2+2 2 1 1 11 又y≤4,则 ≤x≤1,则x= 时,⃑AG⋅⃑EF的最大值为 . 2 2 2