文档
办公文件
生活文档
学习资料
当前位置:
首页
>
文档
>2016年高考物理试卷(浙江)4月(答案)_物理历年高考真题_新·Word版2008-2025·高考物理真题_物理(按年份分类)2008-2025_2016·高考物理真题
2016年高考物理试卷(浙江)4月(答案)_物理历年高考真题_新·Word版2008-2025·高考物理真题_物理(按年份分类)2008-2025_2016·高考物理真题
2026-03-11 06:34:17
2026-01-27 09:24:51
文档预览
文档信息
文档格式
doc
文档大小
0.113 MB
文档页数
3 页
上传时间
2026-01-27 09:24:51
下载文档
文档内容
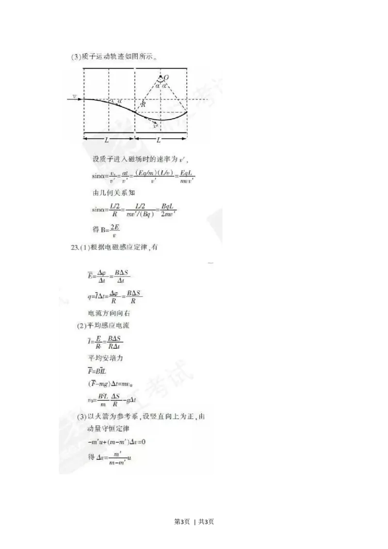
第1页 | 共3页第2页 | 共3页第3页 | 共3页
本文档来自网络内容,如有侵犯您的权益请联系我们删除,联系邮箱:wyl860211@qq.com。
上一篇
07.07-第5章-铁路隧道工程_2026年一级建造师_2026年一建铁路_2025年一建铁路SVIP_03-习题精析✿实战特训✿模考通关_06-铁路《习题精析班》陈士甲KL
下一篇
2013年高考英语试卷(上海)(秋考)(空白卷)_英语历年高考真题_新·PDF版2008-2025·高考英语真题_英语(按年份分类)2008-2025_2013·高考英语真题
最新文档
黄金卷03(参考答案)-赢在高考·黄金8卷备战2024年高考地理模拟卷(天津专用)_9.2025地理总复习_2024年新高考资料_4.2024高考模拟预测试卷
黄金卷03(参考答案)-赢在高考·黄金8卷备战2024年高考地理模拟卷(北京专用)_9.2025地理总复习_2024年新高考资料_4.2024高考模拟预测试卷
专题14探究世界与追求真理-2023年高考政治一轮复习小题多维练(原卷版)_8.2025政治总复习_赠品通用版(老高考)复习资料_一轮复习_2023年高考政治一轮复习小题多维练(人教版)
黄金卷03(参考答案)-赢在高考·黄金8卷备战2024年高考地理模拟卷(全国卷老教材)_9.2025地理总复习_2024年新高考资料_4.2024高考模拟预测试卷
黄金卷03(参考答案)-赢在高考·黄金8卷备战2024年高考地理模拟卷(上海专用)_9.2025地理总复习_2024年新高考资料_4.2024高考模拟预测试卷
专题14唯物辩证法的联系观和发展观-2021年高考政治真题与模拟题分类训练(教师版含解析)_8.2025政治总复习_2023年新高考资料_一轮复习_2023年新高考大一轮复习讲义
黄金卷03(原卷版)-赢在高考·黄金8卷备战2024年高考地理模拟卷(福建专用)_9.2025地理总复习_2024年新高考资料_4.2024高考模拟预测试卷
专题14唯物辩证法的联系观和发展观-2021年高考政治真题与模拟题分类训练(学生版)_8.2025政治总复习_2023年新高考资料_一轮复习_2023年新高考大一轮复习讲义
黄金卷03(原卷版)-赢在高考·黄金8卷备战2024年高考地理模拟卷(湖南专用)_9.2025地理总复习_2024年新高考资料_4.2024高考模拟预测试卷
专题14依法维护民事主体民事权利和义务的实现——社会争议解决(讲义)(解析版)_8.2025政治总复习_2024年新高考资料_2.2024二轮复习_2024年高考政治二轮复习讲练测(新教材新高考)
热门文档
黄金卷03(原卷版)-赢在高考·黄金8卷备战2024年高考地理模拟卷(浙江专用)_9.2025地理总复习_2024年新高考资料_4.2024高考模拟预测试卷
黄金卷03(原卷版)-赢在高考·黄金8卷备战2024年高考地理模拟卷(广东专用)_9.2025地理总复习_2024年新高考资料_4.2024高考模拟预测试卷
专题14依法维护民事主体民事权利和义务的实现——社会争议解决(讲义)(原卷版)_8.2025政治总复习_2024年新高考资料_2.2024二轮复习_2024年高考政治二轮复习讲练测(新教材新高考)
专题14依法维护民事主体民事权利和义务的实现——社会争议解决(练习)(解析版)_8.2025政治总复习_2024年新高考资料_2.2024二轮复习_2024年高考政治二轮复习讲练测(新教材新高考)
专题14依法维护民事主体民事权利和义务的实现——社会争议解决(练习)(原卷版)_8.2025政治总复习_2024年新高考资料_2.2024二轮复习_2024年高考政治二轮复习讲练测(新教材新高考)
专题14中国国际服务贸易交易会全球服务贸易峰会(热点背景+链接教材+创新演练)-每月时政2024届高考政治时政热点专题(新高考通用)_8.2025政治总复习_2024年新高考资料_124
专题14中国国际服务贸易交易会全球服务贸易峰会(热点背景+链接教材+创新演练)-每月时政2024届高考政治时政热点专题(新高考通用)_8.2025政治总复习_2024年新高考资料
专题14世界多极化与经济全球化(分层训练)(解析版)_8.2025政治总复习_2023年新高考资料_二轮复习_高频考点解密2023年高考政治二轮复习课件+分层训练(新高考专用)289600536
专题14世界多极化与经济全球化(分层训练)(原卷版)_8.2025政治总复习_2023年新高考资料_二轮复习_高频考点解密2023年高考政治二轮复习课件+分层训练(新高考专用)289600536
专题14 长效热点探究 热点14 回顾百年辉煌历程,开启新征程_8.2025政治总复习_2023年新高考资料_二轮复习_2023年高考政治二轮复习讲义+课件(新高考版)_学生版_大二轮专题复习讲义
随机文档
专题14 课时3 演绎推理、归纳推理与类比推理_8.2025政治总复习_2023年新高考资料_二轮复习_2023年高考政治二轮复习讲义+课件(新高考版)_2023年高考政治二轮复习讲义(新高考版)
专题14 课时2 概念与判断_8.2025政治总复习_2023年新高考资料_二轮复习_2023年高考政治二轮复习讲义+课件(新高考版)_2023年高考政治二轮复习讲义(新高考版)_学生版
专题14 课时1 树立科学思维观念 提高创新思维能力_8.2025政治总复习_2023年新高考资料_二轮复习_2023年高考政治二轮复习讲义+课件(新高考版)_学生版_大二轮专题复习讲义
专题14 训练3 演绎推理、归纳推理与类比推理_8.2025政治总复习_2023年新高考资料_二轮复习_2023年高考政治二轮复习讲义+课件(新高考版)_2023年高考政治二轮复习讲义(新高考版)
专题14 训练2 概念与判断_8.2025政治总复习_2023年新高考资料_二轮复习_2023年高考政治二轮复习讲义+课件(新高考版)_2023年高考政治二轮复习讲义(新高考版)_学生版_专题强化练
专题14 训练1 树立科学思维观念 提高创新思维能力_8.2025政治总复习_2023年新高考资料_二轮复习_2023年高考政治二轮复习讲义+课件(新高考版)_学生版_专题强化练
专题14 主观题题型突破 逻辑与思维中推理类试题_8.2025政治总复习_2023年新高考资料_二轮复习_2023年高考政治二轮复习讲义+课件(新高考版)_2023年高考政治二轮复习讲义(新高考版)
专题13第六届中国国际进口博览会(热点背景+链接教材+创新演练)-每月时政2024届高考政治时政热点专题(新高考通用)_8.2025政治总复习_2024年新高考资料_3.2024专项复习
专题13第六届中国国际进口博览会(热点背景+链接教材+创新演练)-每月时政2024届高考政治时政热点专题(新高考通用)_8.2025政治总复习_2024年新高考资料_2.2024二轮复习
专题13生活智慧与时代精神-2023年高考政治一轮复习小题多维练(解析版)_8.2025政治总复习_赠品通用版(老高考)复习资料_一轮复习_2023年高考政治一轮复习小题多维练(人教版)