当前位置:首页>文档>专题27.2模型构建专题:相似三角形中的六大基本模型(教师版)_初中数学_九年级数学下册(人教版)_重难点专题提优-V8

专题27.2模型构建专题:相似三角形中的六大基本模型(教师版)_初中数学_九年级数学下册(人教版)_重难点专题提优-V8

  • 2026-03-27 10:32:08 2026-03-25 08:00:27

文档预览

专题27.2模型构建专题:相似三角形中的六大基本模型(教师版)_初中数学_九年级数学下册(人教版)_重难点专题提优-V8
专题27.2模型构建专题:相似三角形中的六大基本模型(教师版)_初中数学_九年级数学下册(人教版)_重难点专题提优-V8
专题27.2模型构建专题:相似三角形中的六大基本模型(教师版)_初中数学_九年级数学下册(人教版)_重难点专题提优-V8
专题27.2模型构建专题:相似三角形中的六大基本模型(教师版)_初中数学_九年级数学下册(人教版)_重难点专题提优-V8
专题27.2模型构建专题:相似三角形中的六大基本模型(教师版)_初中数学_九年级数学下册(人教版)_重难点专题提优-V8
专题27.2模型构建专题:相似三角形中的六大基本模型(教师版)_初中数学_九年级数学下册(人教版)_重难点专题提优-V8
专题27.2模型构建专题:相似三角形中的六大基本模型(教师版)_初中数学_九年级数学下册(人教版)_重难点专题提优-V8
专题27.2模型构建专题:相似三角形中的六大基本模型(教师版)_初中数学_九年级数学下册(人教版)_重难点专题提优-V8
专题27.2模型构建专题:相似三角形中的六大基本模型(教师版)_初中数学_九年级数学下册(人教版)_重难点专题提优-V8
专题27.2模型构建专题:相似三角形中的六大基本模型(教师版)_初中数学_九年级数学下册(人教版)_重难点专题提优-V8
专题27.2模型构建专题:相似三角形中的六大基本模型(教师版)_初中数学_九年级数学下册(人教版)_重难点专题提优-V8
专题27.2模型构建专题:相似三角形中的六大基本模型(教师版)_初中数学_九年级数学下册(人教版)_重难点专题提优-V8
专题27.2模型构建专题:相似三角形中的六大基本模型(教师版)_初中数学_九年级数学下册(人教版)_重难点专题提优-V8
专题27.2模型构建专题:相似三角形中的六大基本模型(教师版)_初中数学_九年级数学下册(人教版)_重难点专题提优-V8
专题27.2模型构建专题:相似三角形中的六大基本模型(教师版)_初中数学_九年级数学下册(人教版)_重难点专题提优-V8
专题27.2模型构建专题:相似三角形中的六大基本模型(教师版)_初中数学_九年级数学下册(人教版)_重难点专题提优-V8
专题27.2模型构建专题:相似三角形中的六大基本模型(教师版)_初中数学_九年级数学下册(人教版)_重难点专题提优-V8
专题27.2模型构建专题:相似三角形中的六大基本模型(教师版)_初中数学_九年级数学下册(人教版)_重难点专题提优-V8
专题27.2模型构建专题:相似三角形中的六大基本模型(教师版)_初中数学_九年级数学下册(人教版)_重难点专题提优-V8
专题27.2模型构建专题:相似三角形中的六大基本模型(教师版)_初中数学_九年级数学下册(人教版)_重难点专题提优-V8
专题27.2模型构建专题:相似三角形中的六大基本模型(教师版)_初中数学_九年级数学下册(人教版)_重难点专题提优-V8
专题27.2模型构建专题:相似三角形中的六大基本模型(教师版)_初中数学_九年级数学下册(人教版)_重难点专题提优-V8
专题27.2模型构建专题:相似三角形中的六大基本模型(教师版)_初中数学_九年级数学下册(人教版)_重难点专题提优-V8
专题27.2模型构建专题:相似三角形中的六大基本模型(教师版)_初中数学_九年级数学下册(人教版)_重难点专题提优-V8
专题27.2模型构建专题:相似三角形中的六大基本模型(教师版)_初中数学_九年级数学下册(人教版)_重难点专题提优-V8
专题27.2模型构建专题:相似三角形中的六大基本模型(教师版)_初中数学_九年级数学下册(人教版)_重难点专题提优-V8
专题27.2模型构建专题:相似三角形中的六大基本模型(教师版)_初中数学_九年级数学下册(人教版)_重难点专题提优-V8
专题27.2模型构建专题:相似三角形中的六大基本模型(教师版)_初中数学_九年级数学下册(人教版)_重难点专题提优-V8
专题27.2模型构建专题:相似三角形中的六大基本模型(教师版)_初中数学_九年级数学下册(人教版)_重难点专题提优-V8
专题27.2模型构建专题:相似三角形中的六大基本模型(教师版)_初中数学_九年级数学下册(人教版)_重难点专题提优-V8
专题27.2模型构建专题:相似三角形中的六大基本模型(教师版)_初中数学_九年级数学下册(人教版)_重难点专题提优-V8
专题27.2模型构建专题:相似三角形中的六大基本模型(教师版)_初中数学_九年级数学下册(人教版)_重难点专题提优-V8
专题27.2模型构建专题:相似三角形中的六大基本模型(教师版)_初中数学_九年级数学下册(人教版)_重难点专题提优-V8
专题27.2模型构建专题:相似三角形中的六大基本模型(教师版)_初中数学_九年级数学下册(人教版)_重难点专题提优-V8
专题27.2模型构建专题:相似三角形中的六大基本模型(教师版)_初中数学_九年级数学下册(人教版)_重难点专题提优-V8
专题27.2模型构建专题:相似三角形中的六大基本模型(教师版)_初中数学_九年级数学下册(人教版)_重难点专题提优-V8
专题27.2模型构建专题:相似三角形中的六大基本模型(教师版)_初中数学_九年级数学下册(人教版)_重难点专题提优-V8
专题27.2模型构建专题:相似三角形中的六大基本模型(教师版)_初中数学_九年级数学下册(人教版)_重难点专题提优-V8
专题27.2模型构建专题:相似三角形中的六大基本模型(教师版)_初中数学_九年级数学下册(人教版)_重难点专题提优-V8
专题27.2模型构建专题:相似三角形中的六大基本模型(教师版)_初中数学_九年级数学下册(人教版)_重难点专题提优-V8
专题27.2模型构建专题:相似三角形中的六大基本模型(教师版)_初中数学_九年级数学下册(人教版)_重难点专题提优-V8
专题27.2模型构建专题:相似三角形中的六大基本模型(教师版)_初中数学_九年级数学下册(人教版)_重难点专题提优-V8
专题27.2模型构建专题:相似三角形中的六大基本模型(教师版)_初中数学_九年级数学下册(人教版)_重难点专题提优-V8
专题27.2模型构建专题:相似三角形中的六大基本模型(教师版)_初中数学_九年级数学下册(人教版)_重难点专题提优-V8
专题27.2模型构建专题:相似三角形中的六大基本模型(教师版)_初中数学_九年级数学下册(人教版)_重难点专题提优-V8
专题27.2模型构建专题:相似三角形中的六大基本模型(教师版)_初中数学_九年级数学下册(人教版)_重难点专题提优-V8
专题27.2模型构建专题:相似三角形中的六大基本模型(教师版)_初中数学_九年级数学下册(人教版)_重难点专题提优-V8
专题27.2模型构建专题:相似三角形中的六大基本模型(教师版)_初中数学_九年级数学下册(人教版)_重难点专题提优-V8
专题27.2模型构建专题:相似三角形中的六大基本模型(教师版)_初中数学_九年级数学下册(人教版)_重难点专题提优-V8
专题27.2模型构建专题:相似三角形中的六大基本模型(教师版)_初中数学_九年级数学下册(人教版)_重难点专题提优-V8
专题27.2模型构建专题:相似三角形中的六大基本模型(教师版)_初中数学_九年级数学下册(人教版)_重难点专题提优-V8
专题27.2模型构建专题:相似三角形中的六大基本模型(教师版)_初中数学_九年级数学下册(人教版)_重难点专题提优-V8
专题27.2模型构建专题:相似三角形中的六大基本模型(教师版)_初中数学_九年级数学下册(人教版)_重难点专题提优-V8
专题27.2模型构建专题:相似三角形中的六大基本模型(教师版)_初中数学_九年级数学下册(人教版)_重难点专题提优-V8
专题27.2模型构建专题:相似三角形中的六大基本模型(教师版)_初中数学_九年级数学下册(人教版)_重难点专题提优-V8
专题27.2模型构建专题:相似三角形中的六大基本模型(教师版)_初中数学_九年级数学下册(人教版)_重难点专题提优-V8

文档信息

文档格式
docx
文档大小
4.807 MB
文档页数
56 页
上传时间
2026-03-25 08:00:27

文档内容

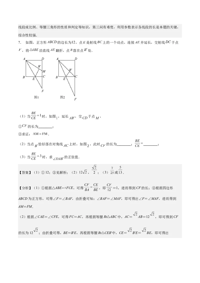
专题 27.2 模型构建专题:相似三角形中的六大基本模型 【考点导航】 目录 【考点一 (双)A字型相似】.........................................................................................................................1 【考点二 (双)8字型相似】.........................................................................................................................7 【考点三 母子型相似】..................................................................................................................................16 【考点四 手拉手型相似】..............................................................................................................................21 【考点五 K字型相似】..................................................................................................................................26 【考点六 三角形内接矩形】..........................................................................................................................30 【典型例题】 【模型一 (双)A字型相似模型】 【基本模型】 ①如图,在 中,点D在 上,点E在 上, ,则 , . ②模型拓展1:斜交A字型条件: ,图2结论: ;③模型拓展2: 如图,∠ACD=∠B ADC∽△ACB . ⇔△ ⇔ 例题:如图,在 中,点 分别在 上,且 . (1)求证: ; (2)若点 在 上, 与 交于点 ,求证: . 【答案】(1)见解析;(2)见解析 【详解】解:(1)在△AEF和△ABC中, ∵ , , ∴△AEF∽△ABC; (2)∵△AEF∽△ABC, ∴∠AEF=∠ABC, ∴EF∥BC,∴△AEG∽△ABD,△AGF∽△ADC, ∴ , , ∴ . 【变式训练】 1.(2023秋·山西大同·九年级大同一中校考期末)如图所示,在 中,点 是 的中点, ,点 在边 上,下列判断错误的是( ) A. B. C. D. 【答案】D 【分析】根据 , ,可得 ,进而根据相似三角形的性质即可求 解. 【详解】解:∵ , , ∴ , ∴ , ,故A,B,C选项正确; ∵点 是 的中点, ∴ , ∵ , ∴ ,故D选项错误, 故选:D.【点睛】本题考查了相似三角形的性质与判定,熟练掌握相似三角形的性质与判定是解题的关键. 2.如图,在 中,点 、 分别在 、 上, ,如果 , 的面积为9,四 边形 的面积为16,则 的长为 . 【答案】5 【分析】由∠ADE=∠C,∠DAE=∠CAB,根据相似三角形的判定得到△DAE∽△CAB,根据相似的性质得 S :S = ,然后把三角形面积代入计算即可. DAE CAB △ △ 【详解】解:∵∠ADE=∠C, 而∠DAE=∠CAB, ∴△DAE∽△CAB, ∴S :S = , DAE CAB △ △ ∵△ADE的面积为9,四边形BDEC的面积为16, ∴△ABC的面积=9+16=25, ∴ , ∴AC=5. 故答案为5. 【点睛】本题考查了相似三角形的判定与性质:有两组角分别相等的两三角形相似;相似三角形的对应角 相等,对应边的比相等,相似三角形面积的比等于相似比的平方. 3.如图,小明在打网球时,使球恰好能打过网,而且落在离网4米的位置上,则球拍击球的高度h为 .【答案】1.5米. 【详解】如图,∵DE∥BC, ∴△ADE∽△ACB.∴ . ∴ , 解得h=1.5(米). 4.(2023秋·江苏淮安·九年级统考期末)如图,D是 的边AC上的一点,连接BD,使 . (1)说明 . (2) , ,求线段AC的长. 【答案】(1)见解析 (2) 【分析】(1)根据 ,再由公共角,利用两对角相等的三角形相似即可得证; (2)由相似得比例,即可求出 的长. 【详解】(1)∵ , , ∴ ; (2)∵ , ∴ , ∵ , , ∴ ,∴ . 【点睛】此题考查了相似三角形的判定与性质,熟练掌握相似三角形的判定与性质是解本题的关键. 5.王华同学在晚上由路灯AC走向路灯BD,当他走到点P时,发现身后他影子的顶部刚好接触到路灯AC 的底部,当他向前再步行12m到达Q点时,发现身前他影子的顶部刚好接触到路灯BD的底部.已知王华 同学的身高是1.6m,两个路灯的高度都是9.6m. (1)求两个路灯之间的距离; (2)当王华同学走到路灯BD处时,他在路灯AC下的影子长是多少? 【答案】(1)18m (2)3.6m 【分析】(1)如图1,先证明△APM∽△ABD,利用相似比可得AP= AB,即得BQ= AB,则 AB+12+ AB=AB,解得AB=18(m); (2)如图2,他在路灯AC下的影子为BN,证明△NBM∽△NAC,利用相似三角形的性质得 , 然后利用比例性质求出BN即可. 【详解】(1)如图1, ∵PM BD, ∴△APM∽△ABD,,即 , ∴AP= AB, ∵QB=AP, ∴BQ= AB, 而AP+PQ+BQ=AB, ∴ AB+12+ AB=AB, ∴AB=18. 答:两路灯的距离为18m; (2)如图2,他在路灯AC下的影子为BN, ∵BM AC, ∴△NBM∽△NAC, ∴ ,即 ,解得BN=3.6. 答:当他走到路灯BD时,他在路灯AC下的影长是3.6m. 【点睛】本题考查了相似三角形的判定与性质,要求学生能根据题意画出对应图形,能判定出相似三角形, 以及能利用相似三角形的性质即相似三角形的对应边的比相等的原理解决求线段长的问题等,蕴含了数形 结合的思想方法. 6.如图,在△ABC中,点D在边AB上,点E、点F在边AC上,且DE BC, . (1)求证:DF BE; (2)如且AF=2,EF=4,AB=6 .求证△ADE∽△AEB.【答案】(1)见详解;(2)见详解 【分析】(1)由题意易得 ,则有 ,进而问题可求证; (2)由(1)及题意可知 ,然后可得 ,进而可证 ,最后问题可求证. 【详解】解:(1)∵DE BC, ∴ , ∵ , ∴ , ∴DF BE; (2)∵AF=2,EF=4, ∴由(1)可知, ,AE=6, ∵AB=6 , ∴ , ∴ , ∴ , ∵∠A=∠A, ∴△ADE∽△AEB. 【点睛】本题主要考查相似三角形的判定,熟练掌握相似三角形的判定方法是解题的关键. 7. 中, , , ,现有动点P从点A出发,沿AC向点C方向运动,动点Q从点C出发,沿线段CB也向点B方向运动,如果点P的速度是4cm/s,点Q的速度是2cm/s,它们 同时出发,当有一点到达所在线段的端点时,就停止运动.设运动时间为t秒. (1)求运动时间为多少秒时,P、Q两点之间的距离为10cm? (2)若 的面积为 ,求 关于t的函数关系式. (3)当t为多少时,以点C,P,Q为顶点的三角形与 相似? 【答案】(1)3秒或5秒;(2) ;(3) 或 【分析】(1)根据题意得到AP=4tcm,CQ=2tcm,AC=20cm,CP=(20-4t)cm,根据三角形的面积公式列 方程即可得答案; (2)若运动的时间为ts,则CP=(20-4t)cm,CQ=2tcm,利用三角形的面积计算公式,即可得出 S=20t-4t2,再结合各线段长度非负,即可得出t的取值范围; (3)分① 和② ,利用相似三角形得出比例式,建立方程求解, 即可得出结论. 【详解】(1)解:由运动知,AP=4tcm,CQ=2t cm, ∵AC=20cm, ∴CP=(20-4t)cm, 在Rt CPQ中, △ , 即 ; ∴ 秒或 秒 (2)由题意得 , ,则 , 因此 的面积为 ;(3)分两种情况: ①当 时, ,即 ,解得 ; ②当 时, ,即 ,解得 . 因此 或 时,以点 、 、 为顶点的三角形与 相似. 【点睛】本题考查了勾股定理,相似三角形的性质,用方程的思想解决问题是解本题的关键. 8.(1)如图,在 中,点 、 、 分别在 、 、 上,且 , 交 于点 ,求 证: . (2)如图, 中, ,正方形 的四个顶点在 的边上,连结 , 分别交 于 , 两点. ①如图,若 ,直接写出 的长; ②如图,求证: .【答案】(1)见解析;(2)① ;②见解析. 【分析】(1)可证明 ADP∽△ABQ, ACQ∽△ADP,从而得出 ; △ △ (2)①根据三角形的面积公式求出BC边上的高 ,根据 ADE∽△ABC,求出正方形DEFG的边长 △ ,根据 等于高之比即可求出MN; ②由 ,得 .又 为正方形,得出 ,同理,有 ,又因为 ∽ ,所以 ,所以 . 【详解】(1)证明:如图1 在 中,由于 , ∴ ∽ , ∴ . 同理在 ACQ和 AEP中, , △ △ ∴ . (2)①如图2, 作AQ⊥BC于点Q.∵BC边上的高 ∵DE=DG=GF=EF=BG=CF ∴DE:BC=1:3 又∵DE∥BC, ∴AD:AB=1:3, ∵DE边上的高为 , 故答案为 ②证明:如图3 ∵ , ∴ . 又∵ 为正方形, ∴ , ∴ , ∴ .同理,在 中有 , ∴ , ∴ . 又因为 ∽ , ∴ , ∴ . ∴ . 【点睛】本题考查了相似三角形的判定和性质以及正方形的性质,是一道综合题目,注意利用相似三角形 的对应边成比例解决问题. 【模型二 (双)8字型相似模型】 【基本模型】 ①如图1,AB∥CD AOB∽△COD ; ⇔△ ⇔ ②如图2,∠A=∠D AOB∽△DOC . ⇔△ ⇔ ③模型拓展:如图,∠A=∠C AJB∽△CJD . ⇔△ ⇔例题:(2023·全国·九年级专题练习)如图, 是 的中位线,点 在 上, .连接 并延长,与 的延长线相交于点 .若 ,则线段 的长为( ) A. B.7 C. D.8 【答案】C 【分析】根据三角形中中位线定理证得 ,求出 ,进而证得 ,根据相似三角形 的性质求出 ,即可求出结论. 【详解】解: 是 的中位线, , , , , , ∴ . 故选:C. 【点睛】本题主要考查了三角形中位线定理,相似三角形的性质和判定,熟练掌握三角形中位线定理和相 似三角形的判定方法是解决问题的关键.【变式训练】 1.如图,在平行四边形ABCD中,点E是AD上一点, ,连接BE交AC于点G,延长BE交CD 的延长线于点F,则 的值为( ) A. B. C. D. 【答案】A 【分析】先根据平行四边形的性质得到AB∥CD,则可判断 ABG∽△CFG, ABE∽△DFE,于是根据相似三 角形的性质和AE=2ED即可得结果. △ △ 【详解】解:∵四边形ABCD为平行四边形, ∴AB∥CD, ∴△ABG∽△CFG, ∴ = ∵△ABE∽△DFE, ∴ = , ∵AE=2ED, ∴AB=2DF, ∴ = , ∴ = . 故选:A. 【点睛】本题考查了平行四边形的性质,相似三角形的判定和性质,解题的关键是熟练掌握相似三角形的 判定和性质进行解题. 2.(2023·山西吕梁·校联考模拟预测)如图,正方形 的边长为3,点 在 边上, 交 于点 ,交 于点 ,交 于点 ,若 ,则 .【答案】 【分析】由正方形性质,判定 、 ,由相似比得到 ,即 , 再由勾股定理求出 长即可得到答案. 【详解】解:如图所示: 在正方形 中, , , , , , 正方形 的边长为3, , , , ,解得 , , 在正方形 中, , , ,, ,即 , 在正方形 中, , ,则由勾股定理可得 , , 故答案为: . 【点睛】本题考查相似三角形的判定与性质,涉及正方形性质、勾股定理及相似三角形的判定与性质等知 识,熟练掌握相似三角形的判定与性质是解决问题的关键. 3.(2023秋·湖南益阳·九年级校考期末)如图, 与 交于 点, , ,求 的度 数. 【答案】 . 【分析】证明 ,即可得到 . 【详解】解:∵ , , ∴ , ∴ . 【点睛】本题考查了相似三角形的判定和性质,掌握“两边对应成比例,且夹角相等的两个三角形相似” 是解题的关键. 4.已知:如图,四边形ABCD是平行四边形,在边AB的延长线上截取BE=AB,点F在AE的延长线上, CE和DF交于点M,BC和DF交于点N,联结BD. (1)求证:△BND∽△CNM; (2)如果AD2=AB•AF,求证:CM•AB=DM•CN.【答案】(1)见解析;(2)见解析 【分析】(1)利用平行四边形的性质得AB=CD,AB∥CD,再证明四边形BECD为平行四边形得到 BD∥CE,根据相似三角形的判定方法,由CM∥DB可判断△BND∽△CNM; (2)先利用AD2=AB•AF可证明△ADB∽△AFD,则∠1=∠F,再根据平行线的性质得∠F=∠4,∠2=∠3,所 以∠3=∠4,加上∠NMC=∠CMD,于是可判断△MNC∽△MCD,所以MC:MD=CN:CD,然后利用CD=AB 和比例的性质即可得到结论. 【详解】证明:(1)∵四边形ABCD是平行四边形, ∴AB=CD,AB∥CD, 而BE=AB, ∴BE=CD, 而BE∥CD, ∴四边形BECD为平行四边形, ∴BD∥CE, ∵CM∥DB, ∴△BND∽△CNM; (2)∵AD2=AB•AF, ∴AD:AB=AF:AD, 而∠DAB=∠FAD, ∴△ADB∽△AFD, ∴∠1=∠F, ∵CD∥AF,BD∥CE, ∴∠F=∠4,∠2=∠3, ∴∠3=∠4, 而∠NMC=∠CMD, ∴△MNC∽△MCD,∴MC:MD=CN:CD, ∴MC•CD=MD•CN, 而CD=AB, ∴CM•AB=DM•CN. 【点睛】本题考查了三角形相似的判定与性质:在判定两个三角形相似时,应注意利用图形中已有的公共 角、公共边等隐含条件,以充分发挥基本图形的作用,寻找相似三角形的一般方法是通过作平行线构造相 似三角形.在运用相似三角形的性质时主要利用相似比计算线段的长.也考查了平行四边形的判定与性质. 5.(2023春·广西南宁·九年级南宁市天桃实验学校校考阶段练习)【模型启迪】 (1)如图1,在 中, 为 边的中点,连接 并延长至点 ,使 ,连接 ,则 与 的数量关系为______,位置关系为______; 【模型探索】 (2)如图2,在 中, 为 边的中点,连接 , 为 边上一点,连接 交 于点 ,且 .求证: ; 【模型应用】 (3)如图3,在(2)的条件下,延长 至点 ,使 ,连接 ,交 的延长线于点 .若 , , ,求线段 的长. 【答案】(1) ;(2)见解析;(3) 【分析】(1)根据 证明 ,得到 , ,得到 ,以此即可解答; (2)延长 至点 ,使 ,连接 ,利用 中方法同理可证 ,得到 , ,由 可得 ,根据等边对等角可得和对顶角相等可得 ,进而可得 ,以此即可证明 ; (3)延长 至点 ,使 ,连接 ,由 可知 ,可得 , ,进而可得 ,易得 ,由相似三角形的性质得 ,设 ,表示出 ,建立方程,解方程,即可求解. 【详解】(1)解:∵ 为 边的中点, , 在 和 中, , , , , ∴ , 故答案为: , ; (2)证明:延长 至点 ,使 ,连接 , 由(1)同理可得: ,, , , , , ,即 , ; (3)解:延长 至点 ,使 ,连接 , 由(2)可知, , , , , , 设 , , , 整理得: , 解得: , 经检验, 是原方程的解,. 【点睛】本题主要考查全等三角形的判定与性质、平行线的判定与性质、等腰三角形的判定与性质、相似 三角形的判定与性质,熟练掌握等腰三角形的判定与性质,证明三角形全等和三角形相似是解题的关键. 6.如图1,ΔABC中,AB=AC,点D在BA的延长线上,点E在BC上,DE=DC,点F是DE与AC的交点. (1)求证:∠BDE=∠ACD; (2)若DE=2DF,过点E作EG//AC交AB于点G,求证:AB=2AG; (3)将“点D在BA的延长线上,点E在BC上”改为“点D在AB上,点E在CB的延长线上”,“点F 是DE与AC的交点”改为“点F是ED的延长线与AC的交点”,其它条件不变,如图2. ①求证:AB·BE=AD·BC; ②若DE=4DF,请直接写出S :S 的值. ΔABC ΔDEC 【答案】(1)见解析;(2)见解析;(3)①见解析;② . 【分析】(1)运用等腰三角形的性质及三角形的外角性质就可解决问题. (2)如图1,证明△DCA≌△EDG(AAS),得AD=EG,根据等腰三角形的判定得:DG=AB,由平行线分 线段成比例定理得: ,由此可得结论; (3)①如图2,作辅助线,构建三角形全等,证明△DCA≌△EDG(AAS),得DA=EG,再证明 △ACB∽△GEB,列比例式可得结论; ②如图3,作辅助线,构建△ABC和△DCE的高线,先得 ,设AF=a,则EG=AD=4a, DG=16a,根据AH∥PD,得 ,设PD=3h,AH=4h,根据EG∥AC,同理得 ,设BE=y,BC=4y,利用三角形面积公式代入可得结论. 【详解】(1)证明:∵AC=AB, ∴∠ACB=∠B,∵DC=DE, ∴∠DCE=∠DEC, ∴∠ACD+∠ACB=∠B+∠BDE, ∴∠BDE=∠ACD; (2)证明:如图1, ∵EG∥AC, ∴∠DAC=∠DGE,∠BEG=∠ACB, 由(1)知:∠DCA=∠BDE, ∵DC=DE, ∴△DCA≌△EDG(AAS), ∴AD=EG, ∵∠B=∠ACB=∠BEG, ∴EG=BG=AD, ∴DG=AB, ∵DE=2DF,AF∥EG, ∴ , ∴DG=2AD=2AG, ∴AB=DG=2AG; (3)解:①如图2,过点E作EG∥AC,交AB的延长线于点G,则有∠A=∠G, ∵AB=AC,CD=DE, ∴∠ACB=∠ABC,∠DCE=∠DEC, ∴∠ACD+∠DCE=∠EDG+∠DEC, ∴∠ACD=∠EDG, 在△DCA和△EDG中, ∵ , ∴△DCA≌△EDG(AAS). ∴DA=EG, ∵AC∥EG, ∴△ACB∽△GEB, ∴ , ∵EG=AD,AC=AB, ∴AB•BE=AD•BC; ②如图3,过A作AH⊥BC于H,过D作DP⊥BC于P,则AH∥PD,∵AF∥EG, ∴ , ∵DE=4DF, ∴ , 设AF=a,则EG=AD=4a,DG=16a, ∵∠ACB=∠ABC, ∴∠GBE=∠BEG, ∴BG=EG=4a, ∴BD=12a, ∵AH∥PD, ∴ , 设PD=3h,AH=4h, ∵EG∥AC, ∴ , 设BE=y,BC=4y, ∴S ABC= BC•AH= = =8yh, △ S DCE= CE•PD= = yh, △ ∴S ABC:S DEC=8yh: yh=16:15. △ △ 【点睛】本题是三角形的综合题,考查了相似三角形的判定与性质、全等三角形的判定与性质、平行线分线段成比例、等腰三角形的性质和判定等知识,第三问有难度,利用参数表示各线段的长是本题的关键, 综合性较强. 7. 如图,正方形 的边长为 ,点 是射线 上的一个动点,连接 并延长,交射线 于点 ,将 沿直线 翻折,点 落在点 处. (1)当 时,如图 ,延长 ,交 于点 , ① 的长为________; ②求证: . (2)当点 恰好落在对角线 上时,如图 ,此时 的长为________; ________; (3)当 时,求 的正弦值. 【答案】(1)①12;②见解析;(2) , ;(3) 或 . 【分析】(1)①根据△ABE∽△FCE,可得 ,即 =1,进而得到CF的长;②根据四边形 ABCD为正方形,可得∠F=∠BAF,由折叠可知:∠BAF=∠MAF,即可得出∠F=∠MAF,进而得到 AM=FM. (2)根据∠CAE=∠CFE,可得FC=AC,再根据等腰Rt△ABC中,AC= AB=12 ,即可得到CF 的长为12 ;由折叠可得,BE=B'E,再根据等腰Rt△CEB'中,CE= B'E= BE,即可得出; (3)分两种情况讨论:①点E在线段BC上,②点E在BC的延长线上,分别设DM=x,根据Rt△ADM 中,AM2=AD2+DM2,得到关于x的方程,求得x的值,最后根据 进行计算即可. 【详解】解: ①如图 ,由 可得: , ∴ ,即 , ∴ 的长为 . 故答案为: . ②证明:∵四边形 为正方形, ∴ , ∴ , 由折叠可知: , ∴ , ∴ . (2)如图2,由折叠可得,∠BAE=∠CAE, 由AB CD可得,∠BAE=∠CFE,∴∠CAE=∠CFE, ∴FC=AC, 又∵等腰Rt△ABC中,AC= AB=12 , ∴CF=12 , 即CF的长为12 , 由折叠可得,BE=B'E, ∴等腰Rt△CEB'中,CE= B'E= BE, ∴ ; 故答案为: ; ; ①当点 在线段 上时,如图3, 的延长线交 于点 , 由 可得: , ∴ ,即 , ∴ , 由 ②可知 . 设 ,则 , 则 , 在 中, ,即 , 解得: , 则 , ∴ . ②当点 在 的延长线上时,如图4 由 可得: , ∴ ,即 , ∴ , 则 , 设 ,则 , 在 中, , 即 , 解得: , 则 , ∴ . 综上所述:当 时, 的正弦值为 或 . 【点睛】本题属于相似形综合题,主要考查了相似三角形的判定与性质,正方形的性质,勾股定理以及解 直角三角形的综合应用,解决问题(3)的关键是运用分类讨论思想,依据勾股定理列方程进行计算求解, 解题时注意分类思想与方程思想的运用.【模型三 母子型相似模型】 【基本模型】 如 图 为 斜 “ A” 字 型 基 本 图 形 . 当 时 , , 则 有 . . 如图所示,当E点与C点重合时,为其常见的一个变形,即子母型. 当 时, ,则有 . 例题:如图,在△ABC中,BD平分∠ABC交AC于点D,AD=BD. (1)求证:△ABC∽△BDC. (2)若∠C=90°,BC=2,求AB的长. 【答案】(1)见解析; (2)4. 【分析】(1)先证明∠A=∠DBA,进而得到∠A=∠CBD,再根据∠C=∠C,即可证明△ABC∽△BDC; (2)根据∠C=90°得到∠A+∠ABC=90°,根据(1)得到∠A =∠ABD=∠CBD,即可求出∠A=30°,即 可求出AB=4. (1) 证明:如图,∵AD=BD,∴∠A=∠DBA, ∵BD平分∠ABC交AC于点D, ∴∠CBD=∠DBA, ∴∠A=∠CBD, ∵∠C=∠C, ∴△ABC∽△BDC; (2) 解:如图,∵∠C=90°, ∴∠A+∠ABC=90°, 由(1)得 ∴∠A =∠ABD=∠CBD, ∴∠A+∠ABD+∠CBD=3∠A=90°, ∴∠A=30°, ∵BC=2, ∴AB=4. 【点睛】本题考查了相似三角形的证明和直角三角形的性质,熟知相似三角形的判定方法是解题关键,第 (2)步中求出∠A=30°是解题关键. 【变式训练】 1.(2023春·山东烟台·八年级统考期末)如图,在 中,D是AB边上的点, , ,则AC的长为( ) A.1.5 B.2 C.2.5 D. 【答案】B【分析】由 , ,证明 ,可得 ,代入数据,从而可得答案. 【详解】解:∵ , , ∴ , ∴ , ∵ , ∴ , ∴ , (负值已舍), 故选:B. 【点睛】本题考查的是相似三角形的判定与性质,掌握相似三角形的判定与性质的综合应用是解题的关键. 2.如图,在 ABC中,D是BC上的点,E是AD上一点,且 ,∠BAD=∠ECA. △ (1)求证:AC2=BC•CD; (2)若AD是 ABC的中线,求 的值. △ 【答案】(1)证明见解析;(2) 【分析】(1)首先利用相似三角形的判定得出 ,得 ,进而求出 , 再利用相似三角形的性质得出答案即可; (2)由 可证 ,进而得出 ,再由(1)可证 ,由此即可得 出线段之间关系. 【详解】(1)证明: , , ,, , , , . (2)解: , , , , AD是 ABC的中线, △ , ,即: , ∴ . 【点睛】此题主要考查了相似三角形的判定与性质以及重心的性质等知识,根据已知得出 是 解题关键. 3.(2023春·山东泰安·八年级统考期末)小军在学习相似三角形时,遇到这样一个问题: (1)如图1,在 中, 是边 上一点,连接 ,若 ,求证: ; (2)如图2,已知 , , ,求 的度数. 【答案】(1)见解析 (2) 【分析】(1)根据相似三角形的判定定理求解即可; (2)首先证明出 ,然后利用相似三角形的性质得到 ,然后利用三角形内角和 定理求解即可. 【详解】(1)∵ ,∴ ; (2)∵ , ∴ ∴ ∵ ∴ ∴ ∵ ∴ 解得 ∴ . 【点睛】本题考查相似三角形,三角形内角和定理,解题的关键是熟练运用相似三角形的性质与判定,本 题属于基础题型. 4.定义:如图,若点P在三角形的一条边上,且满足 ,则称点P为这个三角形的“理想点”. (1)如图①,若点D是 的边AB的中点, , ,试判断点D是不是 的“理想点”, 并说明理由; (2)如图②,在 中, , , ,若点D是 的“理想点”,求CD的长. 【答案】(1) 为 的理想点,理由见解析 (2) 或 【分析】(1)由已知可得 ,从而 , ,可证点 是 的“理想点”; (2)由 是 的“理想点”,分三种情况:当 在 上时, 是 边上的高,根据面积法可求 长度;当 在 上时, ,对应边成比例即可求 长度; 不可能在 上. (1)解:点 是 的“理想点”,理由如下: 是 中点, , , , , , , , , , , 点 是 的“理想点”; (2) ① 在 上时,如图: 是 的“理想点”, 或 , 当 时, , , ,即 是 边上的高, 当 时,同理可证 ,即 是 边上的高, 在 中, , , , , , ,② , , 有 , “理想点” 不可能在 边上, ③ 在 边上时,如图: 是 的“理想点”, , 又 , , ,即 , , 综上所述,点 是 的“理想点”, 的长为 或 . 【点睛】本题主要考查了相似三角形、勾股定理等知识,解题的关键是理解“理想点”的定义. 5.在 ABC中,∠ABC=2∠ACB,BD平分∠ABC交AC于点D. △ (1)如图(1),若AB=3,AC=5,求AD的长; (2)如图(2),过点A分别作AC,BD的垂线,分别交BC,BD于点E,F. ①求证:∠ABC=∠EAF; ②求 的值. 【答案】(1)AD= ;(2)①见解析;② . 【详解】(1)∵∠ABC=2∠ACB,BD平分∠ABC,∴∠ABD=∠ACB. 又∠A=∠A,∴△ABD∽△ACB,∴ ,即 ,∴AD= (2)①证明:∵AE⊥AC,AF⊥BD,∴∠AFB=∠EAC=90°. 又∵∠ABF=∠C,∴△ABF∽△ECA,∴∠BAF=∠CEA. ∵∠BAF=∠BAE+∠EAF,∠AEC=∠ABC+∠BAE,∴∠ABC=∠EAP. ②如图,取CE的中点M,连接AM. 在Rt ACE中,AM= CE,∠AME=2∠C. △ ∵∠ABC=2∠C,∴∠ABC=∠AME,∴AM=AB, ∴ . 6.在Rt△ABC中,∠ACB=90 ,点D为AB上一点. (1)如图1,若CD⊥AB,求证° :AC2=AD·AB; (2)如图2,若AC=BC,EF⊥CD交CD于H,交AC于F,且 ,求 的值; (3)如图3,若AC=BC,点H在CD上,∠AHD=45°,CH=3DH,则tan∠ACH的值为________. 【答案】(1)见解析;(2) ;(3) 【分析】(1)证出 ,证明 ∽ ,得出 ,即可得出结论; (2)设 ,则 ( ),同(1)得 ,则 ,在 中,,过 作 于 ,易证 ,求出 ,再由平行线分线段成比 例定理即可得出答案; (3)过点 作 于 ,设 ,则 ( ), ,证明 ∽ ,得出 , ,求出 ,证明 是等腰直角三角形,得出 ,由勾股定理得出 ,由三角函数定义即可得出答案. 【详解】(1)证明:∵ ,∴ , ∵ , ∴ , ∴ , ∴ ∽ , ∴ , ∴ ; (2)解:∵ , ∴设 ,则 ( ), ∵ , , 同(1)得: , ∴ , 在 中, , 过 作 于 ,如图2所示:则 , 在 中, , ∵ , , ∴ , ∴ 是等腰直角三角形, ∴ , ∴ , ∵ , ∴ ; (3)解:过点 作 于 ,如图3所示: ∵ , ∴设 ,则 ( ), ∴ , ∵ , , ∴ , ∴ 又∵ , ∴ ∽ , ∴ , , ∴ , ∴ , ∵ , ∴ ,∵ , ∴ , ∴ 是等腰直角三角形, ∴ , ∴ , ∴ ; 故答案为: . 【点睛】本题是相似形综合题,主要考查了相似三角形的判定与性质、等腰直角三角形的判定与性质、直角 三角形的性质、三角函数定义、平行线分线段成比例定理等知识;熟练掌握等腰直角三角形的判定与性质, 证明三角形相似是解题的关键. 【模型四 手拉手型相似模型】 【基本模型】 ①如图,若△ABC∽△ADE,则△ABD∽△ACE.[来源:Zxxk.Com] ②如图所示, 和 都是等腰直角三角形, 的延长线与 相交于点P,则 ,且相似比为 , 与 的夹角为 . 总结:旋转相似型中由公共旋转顶点、一点及其旋转后的对应点组成的三角形与由公共旋转顶点、另一点及其旋转后的对应点组成的三角形相似. ③如图所示, ,则 , ,且 . 例题:如图,四边形ABCD和四边形AEFG都是正方形,C,F,G三点在一直线上,连接AF并延长交边 CD于点M. (1)求证:△MFC∽△MCA; (2)求证△ACF∽△ABE; (3)若DM=1,CM=2,求正方形AEFG的边长. 【答案】(1)证明见解析;(2)证明见解析;(3) . 【详解】解:(1) 四边形 是正方形,四边形 是正方形, , , , , ; (2) 四边形 是正方形, , , , 同理可得 ,, , , ; (3) , , , , , ,即 , , , , 即正方形 的边长为 . 【变式训练】 1.如图,AB=3,AC=2,BC=4,AE=3,AD=4.5,DE=6,∠BAD=20°,则∠CAE的度数为( ) A.10° B.20° C.40° D.无法确定 【答案】B 【解答】,,,∴, ∴△ABC∽△ADE,∴∠BAC=∠DAE,∴∠BAC﹣∠DAC=∠DAE﹣∠DAC, ∴∠CAE=∠BAD=20°,故选:B. 2.(2023春·山东菏泽·九年级统考期中)【问题呈现】 (1)如图1, 和△ADE都是等边三角形,连接 .求证: .【类比探究】 (2)如图2, 和△ADE都是等腰直角三角形, ,连接 .请直接写出 的值. 【拓展提升】 (3)如图3, 和△ADE都是直角三角形, ,且 .连接 . ①求 的值; ②延长 交 于点 ,交 于点 .求 的值. 【答案】(1)见解析;(2) ;(3) ; 【分析】(1)由等边三角形的性质可得 ,从而得到 ,由 证明 ,即可得到 ; (2)由等腰直角三角形的性质可得 ,从而得到 ,证 明 ,最后根据相似三角形的性质即可得到答案; (3) 由 是直角三角形, 可得 ,通过证明 得到 ,从而得到 ,即可推出 ,最后由相似三角形的性 质即可得到答案; 由 得, , ,得到 ,由三角形内角和 定理和对顶角相等可得 ,从而得到 .【详解】(1)证明: 和△ADE都是等边三角形, , , , 在 和 中, , , ; (2)解: 和△ADE都是等腰直角三角形, , , , , , , (3) 是直角三角形, , 令 ,则 , , 和 都是直角三角形, ,且 , , , , , ,, 由 得, , , , , , , , ,即 , . 【点睛】本题主要考查了等边三角形的性质、等腰直角三角形的性质、三角形全等的判定与性质、三角形 相似的判定与性质、三角形内角和定理、勾股定理,熟练掌握等边三角形的性质、等腰直角三角形的性质、 三角形全等的判定与性质、三角形相似的判定与性质、三角形内角和定理、勾股定理,是解题的关键. 【模型五 K字型相似模型】 【基本模型】 (1)“三垂直”模型:如图1,∠B=∠D=∠ACE=90°,则△ABC∽△CDE. (2)“一线三等角”模型:如图2,∠B=∠ACE=∠D,则△ABC∽△CDE. 特别地,连接AE,若C为BD的中点,则△ACE∽△ABC∽△CDE. 补充:其他常见的一线三等角图形 例题:如图,AB⊥BC,DC⊥BC,E是BC上一点,使得AE⊥DE.(1)求证: ABE∽△ECD; (2)若AB=△4,AE=BC=5,求CD的长. 【答案】(1)见解析;(2)CD= . 【详解】(1)证明:∵AB⊥BC,DC⊥BC,∴∠B=∠C=90°,∠BAE+∠AEB=90°, ∵AE⊥DE,∴∠AED=90°,∴∠AEB+∠DEC=90°, ∴∠BAE=∠DEC, ∴△ABE∽△ECD. (2)在Rt ABE中,∵AB=4,AE=5,∴BE=3, ∴EC=△BC-BE=5-3=2, ∵△ABE∽△ECD,∴ , ∴ ,∴CD= . 【变式训练】 1.(2023春·湖南株洲·九年级统考开学考试)如图,已知矩形 ,点 在 边上,连接 ,过 点作 交 于点 . (1)求证: . (2)若 , , ,求 的长. 【答案】(1)证明过程见详解(2) 的长为 【分析】(1)根据矩形的性质可得 , ,根据 ,可得 ,由此可得 ,根据相似三角形的判定即可求解; (2)由(1)可知 ,根据相似三角形的性质即可求解. 【详解】(1)证明:∵四边形 是矩形, ∴ , ∴在 中, , ∵ , ∴ , ∴ , ∴ ,且 , ∴ . (2)解: ∵ , , ∴ ,且 , 由(1)可知, , ∴ ,即 ,解得, , ∴ 的长为 . 【点睛】本题主要考查矩形的性质,相似三角形的判定和性质的综合,掌握以上知识是解题的关键. 2.(1)问题 如图1,在四边形ABCD中,点P为AB上一点,当 时,求证: . (2)探究 若将90°角改为锐角或钝角(如图2),其他条件不变,上述结论还成立吗?说明理由. (3)应用 如图3,在 中, , ,以点A为直角顶点作等腰 .点D在BC上,点E在 AC上,点F在BC上,且 ,若 ,求CD的长.【答案】(1)见解析;(2)成立,理由见解析;(3) 【分析】(1)由∠DPC=∠A=B=90°,可得∠ADP=∠BPC,即可证到△ADP △BPC,然后运用相似三角 形的性质即可解决问题; (2)由∠DPC=∠A=∠B=α,可得∠ADP=∠BPC,即可证到△ADP △BPC,然后运用相似三角形的性 质即可解决问题; (3)先证△ABD △DFE,求出DF=4,再证△EFC △DEC,可求FC=1,进而解答即可. 【详解】(1)证明:如题图1, ∵∠DPC=∠A=∠B=90°, ∴∠ADP+∠APD=90°,∠BPC+∠APD = 90°, ∴∠ADP = ∠BPC, ∴△ADP △BPC, , ∴AD BC = AP BP, (2)结论仍然成立,理由如下, , 又 , , , 设 , , , , ∴AD BC = AP BP, (3) ,, , , , 是等腰直角三角形, , , , , , , , , , , , . 【点睛】本题考查相似三角形的综合题,三角形的相似;能够通过构造45°角将问题转化为一线三角是解 题的关键. 【模型六 三角形内接矩形模型】 【基本模型】 由之前的基本模型(A型或AX型)推导出来的。结论:AH⊥GF, AGF∽△ABC, △ 例题:如图1,在 ABC中,AB=AC=5,BC=6,正方形DEFG的顶点D、G分别在AB、AC上,EF在BC 上. △ (1)求正方形DEFG的边长; (2)如图2,在BC边上放两个小正方形DEFG、FGMN,则DE= . 【答案】(1) ;(2) . 【详解】解:过点作AM⊥BC于点M, ∵AB=AC=5,BC=6,∴BM= BC=3, 在Rt ABM中,AM= =4, △ ∵四边形DEFG是矩形, ∴DG∥EF,DE⊥BC, ∴AN⊥DG,四边形EDMN是矩形,∴MN=DE, 设MN=DE=x, ∵DG∥EF,∴△ADG∽△ABC, ∴DG:BC=AN:AM,∴ , 解得:DG=﹣ x+6, ∵四边形DEFG为正方形, ∴DE=DG,即x=﹣ x+6, 解得x= , ∴正方形DEFG的边长为 ;(2)由题意得:DN=2DE, 由(1)知: , ∴DE= . 故答案为 . 【变式训练】 1.(2023秋·福建莆田·九年级校考开学考试)如图,在 中,点 、 在 上,点 、 在 、 上,四边形 是矩形, , 是 的高, , ,那么 的长为 . 【答案】 【分析】设 交 于点 ,由矩形 的边 在 .上证明 , ,则 ,得 ,其中 , , ,可以列出方程“ 解方程求出 的值即可. 【详解】解:设 交 于点 ,矩形 的边 在 上, ∵ , , ∴ , , , ∴ , ∴ , ∴ 于点 , ∵ , ∴ , ∴ , , , , ∵四边形 是矩形, ∴ , ∴ , , ∵ , ∴ ∴ 解得 , 的长为 , ∴ 故答案为∶ . 【点睛】此题重点考查矩形的性质、两条平行线之间的距离处处相等、相似三角形的判定与性质等知识, 根据“相似三角形对应高的比等于相似比”列方程是解题的关键. 2.(2023·山东·九年级专题练习)如图,在 中, ,垂足为D, ,四边形和四边形 均为正方形,且点E、F、G、N、M都在 的边上,那么 与四边形 的面积比为 . 【答案】 / 【分析】通过证明 ,可得 ,可求 的长,由相似三角形的性质可得 ,即可求解. 【详解】解:∵四边形 和四边形 均为正方形, ∴ , ∴ , ∴ , ∴ , ∴ , ∴ , ∵ , ∴ , ∴ , ∴ , ∴ 与四边形 的面积比为 , 故答案为: .【点睛】本题考查了相似三角形的判定和性质,正方形的性质,利用相似三角形的性质求出 的长是解 题的关键. 3.如图,在 中, , ,高 ,矩形 的一边 在 边上, 、 分别在 、 上, 交 于点 . (1)求证: ; (2)设 ,当 为何值时,矩形 的面积最大?并求出最大面积; (3)当矩形 的面积最大时,该矩形 以每秒 个单位的速度沿射线 匀速向上运动(当矩形的边 到达 点时停止运动),设运动时间为 秒,矩形 与 重叠部分的面积为 ,求 与 的函数关 系式,并写出 的取值范围. 【答案】(1)见解析;(2)当x为 时,矩形的面积有最大值5;(3)S= 【分析】(1)由条件可得EF∥BC,根据相似三角形的判定即可求证; (2)由(1)可得 ,用x表示出HD,表示出矩形EFPQ的面积,利用二次函数可求得其最大值; (3)当0≤t<2时,设矩形EFPQ与AB、AC的交点分别为M、N、R、S,可利用平行表示出MN的长,可 表示出△EMS和△NFR的面积,进一步可表示出重叠部分的面积;当2≤t≤4时,重叠部分为△P′Q′A,利用 平行分别用x表示出其底和高,可表示出面积. 【详解】解:(1)∵四边形EFPQ为矩形, ∴EF∥BC, ∴ ; (2)∵∴ ,即 , ∴HD=4- , ∴S =EF•FQ=EF•HD=x(4- )=- x2+4x, 矩形EFPQ 该函数为开口向下的二次函数,故当x= 时有最大值,最大值为5, 即当x为 时,矩形的面积有最大值5; (3)由(2)可知,当矩形面积取最大值时,EF= ,FQ=2, ①当0≤t≤2时,如图1,设矩形与AB、AC分别交于点M、N、R、S,与AD交于J、L,连接RS,交AD于 K, 由题意可知LD=JK=t,则AJ=AD-LD-JL=4-t-2=2-t, 又∵RS= , ∴R、S为AB、AC的中点, ∴AK= AD=2,ES=FR=JK=t, 又∵MN∥RS, ∴ ,即 , ∴MN= - t, ∴EM+FN=EF-MN= -( - t)= t,∴S +S = ES(EM+FN)= t• t= , EMS FNR △ △ ∴S=S -(S +S )=5- ; 矩形EFPQ EMS FNR △ △ ②当2<t≤4时,如图2,设矩形与AB、AC、AD分别交于点Q′、P′、D′, 根据题意D′D=t,则AD′=4-t, ∵PQ∥BC, ∴ ,即 , 解得P′Q′=5- t, ∴S=S = P′Q′•AD′= (4-t)(5- t)= -5t+10; AP′Q′ △ 综上可知S= . 【点睛】本题考查相似三角形的判定和性质及函数的性质,在(2)中用x表示出矩形的面积是解题的关键, 在(3)中确定出重叠部分的图形是解题的关键.