当前位置:首页>文档>第十九章一次函数(单元重点综合测试)(教师版)_初中数学_八年级数学下册(人教版)_知识点汇总-U105_2025版

第十九章一次函数(单元重点综合测试)(教师版)_初中数学_八年级数学下册(人教版)_知识点汇总-U105_2025版

  • 2026-04-27 21:03:15 2026-03-29 03:57:01

文档预览

第十九章一次函数(单元重点综合测试)(教师版)_初中数学_八年级数学下册(人教版)_知识点汇总-U105_2025版
第十九章一次函数(单元重点综合测试)(教师版)_初中数学_八年级数学下册(人教版)_知识点汇总-U105_2025版
第十九章一次函数(单元重点综合测试)(教师版)_初中数学_八年级数学下册(人教版)_知识点汇总-U105_2025版
第十九章一次函数(单元重点综合测试)(教师版)_初中数学_八年级数学下册(人教版)_知识点汇总-U105_2025版
第十九章一次函数(单元重点综合测试)(教师版)_初中数学_八年级数学下册(人教版)_知识点汇总-U105_2025版
第十九章一次函数(单元重点综合测试)(教师版)_初中数学_八年级数学下册(人教版)_知识点汇总-U105_2025版
第十九章一次函数(单元重点综合测试)(教师版)_初中数学_八年级数学下册(人教版)_知识点汇总-U105_2025版
第十九章一次函数(单元重点综合测试)(教师版)_初中数学_八年级数学下册(人教版)_知识点汇总-U105_2025版
第十九章一次函数(单元重点综合测试)(教师版)_初中数学_八年级数学下册(人教版)_知识点汇总-U105_2025版
第十九章一次函数(单元重点综合测试)(教师版)_初中数学_八年级数学下册(人教版)_知识点汇总-U105_2025版
第十九章一次函数(单元重点综合测试)(教师版)_初中数学_八年级数学下册(人教版)_知识点汇总-U105_2025版
第十九章一次函数(单元重点综合测试)(教师版)_初中数学_八年级数学下册(人教版)_知识点汇总-U105_2025版
第十九章一次函数(单元重点综合测试)(教师版)_初中数学_八年级数学下册(人教版)_知识点汇总-U105_2025版
第十九章一次函数(单元重点综合测试)(教师版)_初中数学_八年级数学下册(人教版)_知识点汇总-U105_2025版
第十九章一次函数(单元重点综合测试)(教师版)_初中数学_八年级数学下册(人教版)_知识点汇总-U105_2025版
第十九章一次函数(单元重点综合测试)(教师版)_初中数学_八年级数学下册(人教版)_知识点汇总-U105_2025版
第十九章一次函数(单元重点综合测试)(教师版)_初中数学_八年级数学下册(人教版)_知识点汇总-U105_2025版
第十九章一次函数(单元重点综合测试)(教师版)_初中数学_八年级数学下册(人教版)_知识点汇总-U105_2025版
第十九章一次函数(单元重点综合测试)(教师版)_初中数学_八年级数学下册(人教版)_知识点汇总-U105_2025版
第十九章一次函数(单元重点综合测试)(教师版)_初中数学_八年级数学下册(人教版)_知识点汇总-U105_2025版
第十九章一次函数(单元重点综合测试)(教师版)_初中数学_八年级数学下册(人教版)_知识点汇总-U105_2025版
第十九章一次函数(单元重点综合测试)(教师版)_初中数学_八年级数学下册(人教版)_知识点汇总-U105_2025版
第十九章一次函数(单元重点综合测试)(教师版)_初中数学_八年级数学下册(人教版)_知识点汇总-U105_2025版
第十九章一次函数(单元重点综合测试)(教师版)_初中数学_八年级数学下册(人教版)_知识点汇总-U105_2025版
第十九章一次函数(单元重点综合测试)(教师版)_初中数学_八年级数学下册(人教版)_知识点汇总-U105_2025版
第十九章一次函数(单元重点综合测试)(教师版)_初中数学_八年级数学下册(人教版)_知识点汇总-U105_2025版
第十九章一次函数(单元重点综合测试)(教师版)_初中数学_八年级数学下册(人教版)_知识点汇总-U105_2025版
第十九章一次函数(单元重点综合测试)(教师版)_初中数学_八年级数学下册(人教版)_知识点汇总-U105_2025版
第十九章一次函数(单元重点综合测试)(教师版)_初中数学_八年级数学下册(人教版)_知识点汇总-U105_2025版
第十九章一次函数(单元重点综合测试)(教师版)_初中数学_八年级数学下册(人教版)_知识点汇总-U105_2025版
第十九章一次函数(单元重点综合测试)(教师版)_初中数学_八年级数学下册(人教版)_知识点汇总-U105_2025版

文档信息

文档格式
docx
文档大小
3.885 MB
文档页数
27 页
上传时间
2026-03-29 03:57:01

文档内容

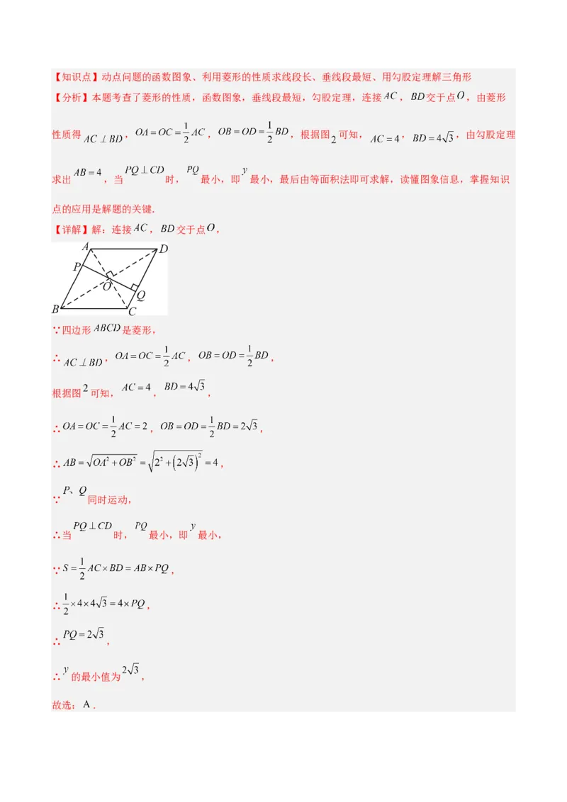
第十九章 一次函数(单元重点综合测试) 班级___________ 姓名___________ 学号____________ 分数____________ 考试范围:全章的内容; 考试时间:120分钟; 总分:120分 一、选择题(本大题共10小题,每小题3分,共30分) 1.在球的体积公式 中,下列说法正确的是( ) A. 是变量, 是常量 B.V、r是变量, 是常量 C.V、r是变量, 是常量 D.以上都不对 【答案】C 【知识点】用关系式表示变量间的关系 【分析】此题主要考查了常量和变量,根据变量和常量的定义:在一个变化的过程中,数值发生变化的量 称为变量;数值始终不变的量称为常量可得答案. 【详解】解:在球的体积公式 中,V,r是变量, ,π是常量, 故选:C. 2.下列函数:① ;② ;③ ;④ .其中一次函数的个数是( ) A.1 B.2 C.3 D.4 【答案】C 【知识点】识别一次函数 【分析】本题主要考查一次函数的定义,理解和掌握一次函数的定义及表示形式是解题的关键. 一般地,形如 是常数,且 的函数,叫做一次函数,其中 是自变量,当 时,一次 函数 也叫正比例函数,仍是一次函数,由此即可求解. 【详解】解:根据一次函数的定义得,① 是正比例函数;② ,③ ,是一次函数,④ 不是一次函数, 故一次函数共有3个, 故选:C. 3.已知正比例函数的图象如图所示,则这个函数的表达式为( ) A. B. C. D. 【答案】D 【知识点】求一次函数解析式 【分析】本题主要考查了求一次函数不等式,先设函数解析式为 ,然后将 代入求出k 的值,即可得出函数解析式. 【详解】解:设函数解析式为 ,将 代入得: , 解得: , ∴这个函数的表达式为 , 故选:D. 4.已知点 , 都在一次函数 的图象上,则 的值为( ) A. B.4 C.8 D.10 【答案】D 【知识点】求一次函数解析式 【分析】本题考查了一次函数图像上点的坐标特征.用待定系数法求出一次函数的解析式是解题的关键. 先用待定系数法求出次函数的解析式,再把 代入解析式即可求解.【详解】解:∵ 在一次函数 的图象上, ∴ , 解得: , ∴解析式为: , ∵ 在一次函数 的图象上 ∴ , 故选:D. 5.若点 , , 在一次函数 ( 为常数,且 )的图象上,则 , 的大 小关系是( ) A. B. C. D.无法确定 【答案】A 【知识点】比较一次函数值的大小、求一次函数解析式 【分析】本题考查了待定系数法求一次函数解析式,一次函数的性质,先利用待定系数法求出一次函数解 析式,再根据一次函数的性质解答即可求解,利用待定系数法求一次函数解析式是解题的关键. 【详解】解:∵点 在一次函数 的图象上, ∴ , ∴ , ∴一次函数解析式为 , ∵ , ∴ 随 的增大而减小, ∵ 、 在一次函数图象上,且 , ∴ , 故选: . 6.如图是某市某天的气温变化图,根据图象判断,以下说法正确的是( )A.当日最低气温是 B.从早上 时开始气温逐渐升高,直到 时到达当日最高气温 C.当日气温为 的时间点有两个 D.当日气温在 以下的时长超过 个小时 【答案】D 【知识点】从函数的图象获取信息 【分析】本题主要考查函数图象,熟练掌握函数的图象是解题的关键.根据函数图像可直接进行求解. 【详解】解:观察图像上的气温曲线图,可以得出: A. 当日最低气温低于 ,该选项错误; B. 从早上 时开始气温逐渐下降,至 时以后才逐渐升高,直到 时到达当日最高气温 ,该选项错误; C. 当日气温为 的时间点有四个,该选项错误; D. 当日气温在 以下的时长超过 个小时,该选项正确; 故选:D. 7.如下图,在同一直角坐标系中,直线 和直线 的图象可能是( ) A. B. C. D. 【答案】B 【知识点】判断一次函数的图象 【分析】本题考查一次函数与正比例函数的图像,分 和 两种情况,讨论两个函数图像的位置即 可得出答案. 【详解】解:当 时,直线 经过第一、三、四象限,直线 经过第一、三象限, 大致为:当 时,直线 经过第一、二、三象限,直线 经过第二、四象限,大致为: 综上,B选项符合题意. 故选:B 8.小鹿在研究一次函数 时,作出了如下表所示的x与y的部分对应值,则下列说法正确的 是( ) … 0 1 2 … … 4 1 … A. B.直线 可由直线 向上平移1个单位长度得到 C.若 ,则 D.直线 过第一、二、四象限 【答案】D 【知识点】根据一次函数解析式判断其经过的象限、求一次函数解析式、一次函数图象平移问题、比较一 次函数值的大小 【分析】本题考查的是利用待定系数法求解一次函数的解析式,一次函数的图象与性质,根据表格信息先 求解一次函数的解析式,再逐一分析即可. 【详解】解:根据上表中的数据值,可得: , 解得: , ∴一次函数为: ,图象过一、二、四象限,故A错误,不符合题意;D正确,符合题意; 直线 可由直线 向上平移1个单位长度得到,故B错误,不符合同意; ∵ , ∴ , ,故C错误,不符合题意. 故选:D. 9.如图,一次函数 与 的图象交于点 ,下列结论正确的是() A.方程 的解是 B.不等式 和不等式 的解集相同 C.不等式组 的解集是 D.方程组 的解为 【答案】C 【知识点】二元一次方程组的特殊解法、根据两条直线的交点求不等式的解集、两直线的交点与二元一次 方程组的解 【分析】本题考查求一次函数解析式,一次函数与坐标轴的交点,一次函数图象的交点坐标与二元一次方 程组的关系,利用函数图象解不等式,数形结合是解题的关键. 根据图象可直接判断A,B,D,求出 与 轴的交点可判断C.【详解】A.由图象可得直线 与 的图象交于点 , ∴方程 的解是 ,故A不符合题; B.由图象可知,不等式 的解集是 ,不等 式 的解集是 ,故B不符合题意; C.将 代入 得 , 解得 , , 将 代入 得 , 解得 , ∴ 时,直线 在 轴下方且在直线 上方, ∴ 的解集是 ,故C符合题意; D.方程组 的解为 ,故D不符合题. 故选:C. 10.如图1,四边形 是菱形,点 以 的速度从点 出发,沿着 的路线运动,同时点 以相同的速度从点 出发,沿着 的路线运动,设运动时间为 , , 两点之间的距离为 , 与 的函数关系的图象如图 所示,则 的最小值为( ) A. B. C. D. 【答案】A【知识点】动点问题的函数图象、利用菱形的性质求线段长、垂线段最短、用勾股定理解三角形 【分析】本题考查了菱形的性质,函数图象,垂线段最短,勾股定理,连接 , 交于点 ,由菱形 性质得 , , ,根据图 可知, , ,由勾股定理 求出 ,当 时, 最小,即 最小,最后由等面积法即可求解,读懂图象信息,掌握知识 点的应用是解题的关键. 【详解】解:连接 , 交于点 , ∵四边形 是菱形, ∴ , , , 根据图 可知, , , ∴ , , ∴ , ∵ 同时运动, ∴当 时, 最小,即 最小, ∵ , ∴ , ∴ , ∴ 的最小值为 , 故选: .二、填空题(本大题共6小题,每小题3分,共18分) 11.函数 中,自变量x的取值范围是 . 【答案】 【知识点】求自变量的取值范围、分式有意义的条件 【分析】本题主要考查了求自变量的取值范围,分式有意义的条件,分式有意义的条件是分母不为0,据 此求解即可. 【详解】解:函数 中,自变量x的取值范围是 ,即 , 故答案为: . 12.一次函数 的图象经过点 ,则 . 【答案】 【知识点】求一次函数自变量或函数值 【分析】本题考查了一次函数图象上点的坐标特征,掌握直线上任意一点的坐标都满足函数关系式是解答 本题的关键. 根据一次函数图象上点的坐标特征,把 代入 ,即可求出 的值. 【详解】解:把 代入 得 , 故答案为: . 13.已知点 , 都在直线 上,则 (用“ 、 、 ”填空). 【答案】 【知识点】比较一次函数值的大小 【分析】本题主要考查了比较一次函数函数值的大小,正确判断出一次函数的增减性是解题的关键.先根 据一次函数解析式判断一次函数的增减性,据此即可解答. 【详解】解:∵直线 中, , ∴对于 ,y随x增大而减小, ∵点 , 都在直线 上,且 , ∴ .故答案为: . 14.已知等腰三角形的周长为 ,设腰长为 ,底边为 ,试写出 与 的函数表达式 . 【答案】 【知识点】函数解析式、等腰三角形的定义、三角形三边关系的应用 【分析】本题考查等腰三角形的性质及三角形三边关系,解题的关键:运用方程的思想列出关系式,再根 据三角形三边关系求得 的取值范围即可. 【详解】解:∵等腰三角形的周长为 ,设腰长为 ,底边为 , ∴ , ∴ , ∵ , ∴ , 又∵ ,即 , ∴ , ∴ , ∴ 与 的函数表达式为 . 故答案为: . 15.若点 在直线 上,且 , 都是正整数,则点 坐标是 . 【答案】 【知识点】二元一次方程的解、求一次函数自变量或函数值 【分析】本题考查了一次函数的图象与性质,由点 在直线 上,则 ,然后根 据题意求二元一次方程组的正整数解即可,解题的关键是掌握一次函数的图象与性质. 【详解】解:∵点 在直线 上, ∴ , ∵ , 都是正整数, ∴ , ,∴点 坐标是 , 故答案为: . 16.已知一次函数 .若当 时,函数有最小值 ,则k的值为 . 【答案】7或 / 或7 【知识点】根据一次函数增减性求参数 【分析】本题考查的是一次函数的性质,熟知一次函数的增减性是解答此题的关键.根据函数的增减性, 再由x的取值范围得出 时, 或 时, ,分别代入函数解析式得出k的值即可. 【详解】解:当 时,函数y随x的增大而增大, ∴当 时, , ∴ , 解得: ; 当 时,函数y随x的增大而减小, ∴当 时, , ∴ , 解得: ; ∴k的值为7或 . 故答案为:7或 . 三、(本大题共4小题,每小题6分,共24分) 17.已知 与 成正比例,当 时, . (1)求 与 之间的函数关系式; (2)若点 在这个函数的图象上,求 的值. 【答案】(1) (2) 【知识点】正比例函数的定义 【分析】本题考查了待定系数法求正比例函数及点在图象上的意义;(1)由由待定系数法设 ,即可求解; (2)将点 代入关系式,即可求解; 会用待定系数法求解,并把 看作整体是解题的关键. 【详解】(1)解: 与 成正比例, 设 , 当 时, , , 解得: , , 故 与 之间的函数关系式为 ; (2)解: 点 在这个函数的图象上, , 解得: , 故 的值为 . 18.如图,在平面直角坐标系中,一次函数 的图象分别与x轴、y轴交于点 和点 ,并与正比例函数 的图象相交.(1)求直线 的表达式. (2)求 的面积. 【答案】(1) (2)48 【知识点】求一次函数解析式、求直线围成的图形面积、两直线的交点与二元一次方程组的解 【分析】此题考查的是一次函数交点的坐标的特征,用待定系数法可对解析式进行求解. (1)用待定系数法求一次函数的解析式即可; (2)令 可得点A的坐标,再由 可得答案. 【详解】(1)解:∵一次函数 的图象分别与x轴、y轴交于点 和点 , ∴ , 解得: , ∴直线 的表达式为 ; (2)解:令 , 解得 ,此时 , ∴ , ∵ , , ∴ , , ∴ , 即 的面积为48. 19.某机动车出发前油箱内有 升油,行驶若干小时后,途中在加油站加油若干升,油箱中余油量Q (升)与行驶时间t(时)之间的函数关系如图所示,回答下列问题:(1)机动车行驶 小时后,在途中加油站加油 升. (2)求加油前油箱剩余油量Q与行驶时间t的函数关系式; (3)如果加油站距目的地还有 千米,车速为 千米/时,要到达目的地,油箱中的油是否够? 【答案】(1)5, (2) (3)够 【知识点】函数解析式、从函数的图象获取信息、有理数减法的实际应用、有理数除法的应用 【分析】本题考查了函数图象的应用,函数关系式,有理数加、减、乘、除的应用等知识.从图象中获取 正确的信息是解题的关键. (1)由图象可知,机动车行驶5小时后,在途中加油站加油 升,计算求解即可; (2)由图可知,出发前油箱内余油量为 升,行驶 小时后余油量为 升,共用去 (升), 则每小时耗油量为 (升),进而可求函数关系式; (3)由题意知,加油后可行驶 (小时),行驶路程为 (千米),由 ,判断作 答即可. 【详解】(1)解:由图象可知,机动车行驶5小时后,在途中加油站加油 (升), 故答案为:5, . (2)解:出发前油箱内余油量为 升,行驶 小时后余油量为 升,共用去 (升), ∴每小时耗油量为 (升), ∴ ; (3)解:由题意知,加油后可行驶 (小时),行驶路程为 (千米),∵ , ∴油箱中的油够. 20.定义:在平面直角坐标系中,将直线 中 和 的值都扩大到原来的 倍,得 到新的直线 ,则称直线 为直线 的“ 倍伴随线”,例如直线 的“2倍伴随线”的函数解析式 为 . (1)求直线 的“3倍伴随线”的函数表达式; (2)若点 在直线 的“2倍伴随线”上,求 的值. 【答案】(1) (2)1 【知识点】求一次函数自变量或函数值、求一次函数解析式 【分析】此题考查了一次函数的图象和性质. (1)根据“ 倍伴随线”的定义即可得到答案; (2)先根据“ 倍伴随线”的定义得到直线 的“2倍伴随线”,再把 代入求出x的值即可. 【详解】(1)解: , 直线 的“3倍伴随线”的函数表达式为 . (2)直线 的“2倍伴随线”的函数表达式为 . 在 中,令 , 得 , 解得 ∴ 的值为1. 四、(本大题共3小题,每小题8分,共24分) 21.已知M、N两地之间有一条公路.甲车从M地出发匀速开往N地.甲车出发两小时后,乙车从N地出 发,以每小时90千米的速度匀速开往M地,两车同时到达各自的目的地.两车之间的距离y(千米)与甲 车行驶的时间x(小时)之间的函数关系如图所示.(1)甲车的速度为______千米/小时,a的值为______; (2)求乙车出发后,y与x之间的函数关系式,并写出x的取值范围; (3)甲车行驶______小时,两车相距120千米. 【答案】(1)60,6 (2) (3) 或 【知识点】行程问题(一次函数的实际应用)、从函数的图象获取信息 【分析】本题考查了一次函数的应用、从函数图象中获取信息等知识,读懂函数图象,熟练掌握一次函数 的性质是解题关键. (1)根据函数图象可得甲车用2小时行驶了120千米,由此即可得甲车的速度;再根据函数图象可得 两地之间的距离为360千米,用总路程除以甲车的速度即可得 的值; (2)先根据两车相遇时,它们所行驶的总路程为 两地之间的距离建立方程求出点 的坐标为 ; 再分 和 ,利用待定系数法求解即可得; (3)结合函数图象可得当 时,两车之间的距离不可能为120千米,再根据(2)的结果,令 代入求解即可得. 【详解】(1)解:由函数图象可知,甲车的速度为 (千米/小时), 由函数图象可知, 两地之间的距离为360千米, ∴ (小时), 故答案为:60,6. (2)解:当甲、乙两车相遇时, ,解得 , ∴点 的坐标为 , 当 时,设 , 将点 , 代入得: ,解得 , ∴此时 ; 当 时,设 , 将点 , 代入得: ,解得 , ∴此时 ; 综上,乙车出发后, 与 之间的函数关系式为 . (3)解:由函数图象可知,当 时,两车之间的距离不可能为120千米, 当 时,令 得: ,解得 , 当 时,令 得: ,解得 , 所以甲车行驶 小时或 小时,两车相距120千米. 22.已知一次函数 (a为常数, )的图象过点 . (1)求一次函数的表达式. (2)若点 , 都在该函数的图象上. ①当 时,求 的取值范围. ②请判断 , 的大小关系,并说明理由. 【答案】(1) (2)① ;② ,理由见解析 【知识点】求一次函数自变量或函数值、求一次函数解析式、比较一次函数值的大小【分析】本题考查一次函数的解析式,一次函数的性质. (1)利用待定系数法解答即可; (2)①由(1)知一次函数的表达式,根据一次函数的性质确定出当 和 时的函数值,即可解 答; ②根据一次函数的性质即可解答. 【详解】(1)解:根据题意,将点 代入一次函数 中, 则 , 解得: , ∴一次函数的表达式为 ; (2)解:①由(1)知一次函数的表达式为 , ∵ , ∴ 随 的增大而减小, 当 时,则 , 当 时,则 , ∴当 时, 的取值范围为 ; ② ,理由如下: 由①知一次函数 , 随 的增大而减小, ∵ , ∴ . 23.在2024年,国家出台政策减免新能源汽车的购置税与车船税,一系列优惠政策如同春风拂面.某新能 源汽车经销商购进紧凑和中级两种型号的新能源汽车,据了解3辆中级型汽车、2辆紧凑型汽车的进价共 计104万元;2辆紧凑型汽车比3辆中级型汽车的进价少40万元. (1)求中级型和紧凑型汽车两种型号汽车的进货单价; (2)由于新能源汽车需求不断增加,该店准备购进中级型和紧凑型汽车两种型号的新能源汽车100辆,已知 中级型汽车的售价为26万元/辆,紧凑型汽车的售价为20万元/辆.根据销售经验,购中级型汽车的数 量不低于25辆,设购进 辆中级型汽车,100辆车全部售完获利 万元,该经销商应购进中级型和紧凑型汽车各多少辆.才能使 最大? 最大为多少万元? 【答案】(1)中级型汽车的进货单价为24万元,紧凑型汽车汽车的进货单价为16万元; (2)该经销商应购进中级型25辆,紧凑型汽车75辆,才能使W最大,W最大为350万元. 【知识点】方案问题(二元一次方程组的应用)、最大利润问题(一次函数的实际应用) 【分析】本题考查了二元一次方程组的应用以及一次函数的应用等知识: (1)设中级型汽车的进货单价为x万元,紧凑型汽车汽车的进货单价为y万元,根据3辆中级型汽车、2 辆紧凑型汽车的进价共计104万元;2辆紧凑型汽车比3辆中级型汽车的进价少40万元.列出二元一次方 程组,解方程组即可; (2)设购进中级型汽车a辆,则购进紧凑型汽 辆,根据购中级型汽车的数量不低于25辆,得 ,再求出W关于a的一次函数关系式,然后由一次函数的性质即可解决问题. 【详解】(1)设中级型汽车的进货单价为x万元,紧凑型汽车汽车的进货单价为y万元, 由题意得: , 解得: , 答:中级型汽车的进货单价为24万元,紧凑型汽车汽车的进货单价为16万元; (2)设购进中级型汽车a辆,则购进紧凑型汽 辆, 由题意得: , , ∵ , ∴W随a的增大而减小, ∴当 时,W取最大值,最大值 , 此时, , 答:该经销商应购进中级型25辆,紧凑型汽车75辆,才能使W最大,W最大为350万元. 五、(本大题共2小题,每小题12分,共24分) 24.在平面直角坐标系 中,点 、 分别在 轴和 轴上,已知点 ,以AB为直角边在AB左侧 作等腰直角 , .(1)当点 在 轴正半轴上,且 时, ①求AB解析式; ②求 点坐标; (2)当点 在 轴上运动时,连接 ,求 的最小值及此时 点坐标. 【答案】(1)① ;② (2) , 【知识点】一次函数与几何综合、坐标与图形变化——轴对称、全等三角形综合问题、用勾股定理解三角 形 【分析】(1)①根据 , ,推出 ,所以 ;设直线 的解析式为 ,将点 的坐标代入即可求出 解析式; ②过点 作 轴的平行线,分别过点 、 作 轴的平行线,交于 、 .则 ,所以 , ,即 ; (2)由 可知 ,点 在直线 上运动,作点 关于直线 的对称点 ,所以 , 的最小值为 的长度,此时 ,即可求出 坐标. 【详解】(1)解:① , , , , 设直线 的解析式为 ,, , 解析式: ; ②过点 作 轴的平行线,与分别过点 、 作 轴的平行线交于 、 . 则 , ∴ ; ∵ , ∴ , ∵ , ∴ , , , ; (2)解:由 可知 , 在 轴负半轴同理可说明) 点 在直线 上运动,设直线 交 轴于点M, 作点 关于直线 的对称点 , , , .当 、C、 在同一直线上时, 的最小值为 , ∵ , , , ∴ , ∴ , 此时 , . 【点睛】本题主要考查等腰直角三角形的性质、全等三角形的判定与性质,勾股定理,利用轴对称求最短 线路.这里构造三角形全等找到点 的运动轨迹是关键. 25.如图, 直线 与坐标轴分别交于点A, B, 过点A、B作直线 ,以 为边在y轴 的右侧作四边形 , . (1)求点A, B的坐标; (2)如图,点D是x轴上一动点,点E在 的右侧, ; ①若点 D 是线段 的中点,求点 E 坐标; ②若点 D 是线段 上任一点,如图1,问点E是否在定直线上,若是,求该直线的解析式;若不是,说 明理由; ③若点 , 另一动点H在直线 上且满足 ,请求出点H的 坐标.【答案】(1) . (2)① ;②点E在定直线 上;③ 或 【知识点】求一次函数解析式、一次函数与几何综合、全等的性质和ASA(AAS)综合(ASA或者 AAS)、坐标与图形综合 【分析】本题主要考查了一次函数函数与几何的综合、一次函数的应用、全等三角形的判定与性质等知识 点,掌握数形结合思想是解题的关键. (1)分别将 代入 ,求得点B、A的坐标,则可用k表示出 的长度,再 根据 求得k即可求解; (2)①由题意可得, ,如图:过点E作 轴,证明 可得 ,进而得到 即可确定点E的坐标; ②如图:过点E作 轴,通过证明 得到 ,设E(x,y),则 结 合①得到得到 即可求确定解析式; ③先说明四边形 为正方形,可得 ,再分当 在 下方和上方两种情况解答即可. 【详解】(1)解:分别将 代入 , 得 , ∴ , ∴ , ∵ , ∴ ,即 ,解得: , ∴ . (2)解:①∵点 D 是线段 的中点, ∴ ,如图:过点E作 轴于点F, 由题意可得: , ∴ , ∴ , ∵ , ∴ , ∴ , ∴ , ∴ ; ②点E在定直线 上. 如图:过点E作 轴于点F, 由题意可得: , ∴ , ∴ ,∵ , ∴ , ∴ , 由(1)A、B两点的坐标知, , ∴ , ∴ , 设E(x,y),则 , 由题意可得: , ∴ ,即 , ∴点E在定直线 上. ③∵ , ∴ , ∵ , ∴四边形 为正方形, ∴ , ; a.如图:当 在 下方时,且交 于M,则 ,点H为直线 与 的交点, ∵ , ∴ , ∴ ,∴ , ∴ , 设直线 为 ,将 、 代入, 得 ,解得 , ∴直线 为 , 联立 ,解得: , ∴ ; b.如图:当 在 上方时,作点M关于直线 的对称点N, ∴ ,此时 , ∴点H为直线 与 的交点, 设直线 为 ,将 、 代入, 得 ,解得 , ∴直线 为 , 联立 ,解得: , ∴ . 综上,点H坐标为 或 .