当前位置:首页>文档>2018年高考物理试卷(新课标Ⅱ)(空白卷)_物理历年高考真题_新·Word版2008-2025·高考物理真题_物理(按省份分类)2008-2025_2008-2025·(内蒙古)物理高考真题

2018年高考物理试卷(新课标Ⅱ)(空白卷)_物理历年高考真题_新·Word版2008-2025·高考物理真题_物理(按省份分类)2008-2025_2008-2025·(内蒙古)物理高考真题

  • 2026-04-14 08:03:27 2026-01-27 23:56:29

文档预览

2018年高考物理试卷(新课标Ⅱ)(空白卷)_物理历年高考真题_新·Word版2008-2025·高考物理真题_物理(按省份分类)2008-2025_2008-2025·(内蒙古)物理高考真题
2018年高考物理试卷(新课标Ⅱ)(空白卷)_物理历年高考真题_新·Word版2008-2025·高考物理真题_物理(按省份分类)2008-2025_2008-2025·(内蒙古)物理高考真题
2018年高考物理试卷(新课标Ⅱ)(空白卷)_物理历年高考真题_新·Word版2008-2025·高考物理真题_物理(按省份分类)2008-2025_2008-2025·(内蒙古)物理高考真题
2018年高考物理试卷(新课标Ⅱ)(空白卷)_物理历年高考真题_新·Word版2008-2025·高考物理真题_物理(按省份分类)2008-2025_2008-2025·(内蒙古)物理高考真题
2018年高考物理试卷(新课标Ⅱ)(空白卷)_物理历年高考真题_新·Word版2008-2025·高考物理真题_物理(按省份分类)2008-2025_2008-2025·(内蒙古)物理高考真题
2018年高考物理试卷(新课标Ⅱ)(空白卷)_物理历年高考真题_新·Word版2008-2025·高考物理真题_物理(按省份分类)2008-2025_2008-2025·(内蒙古)物理高考真题
2018年高考物理试卷(新课标Ⅱ)(空白卷)_物理历年高考真题_新·Word版2008-2025·高考物理真题_物理(按省份分类)2008-2025_2008-2025·(内蒙古)物理高考真题
2018年高考物理试卷(新课标Ⅱ)(空白卷)_物理历年高考真题_新·Word版2008-2025·高考物理真题_物理(按省份分类)2008-2025_2008-2025·(内蒙古)物理高考真题
2018年高考物理试卷(新课标Ⅱ)(空白卷)_物理历年高考真题_新·Word版2008-2025·高考物理真题_物理(按省份分类)2008-2025_2008-2025·(内蒙古)物理高考真题
2018年高考物理试卷(新课标Ⅱ)(空白卷)_物理历年高考真题_新·Word版2008-2025·高考物理真题_物理(按省份分类)2008-2025_2008-2025·(内蒙古)物理高考真题
2018年高考物理试卷(新课标Ⅱ)(空白卷)_物理历年高考真题_新·Word版2008-2025·高考物理真题_物理(按省份分类)2008-2025_2008-2025·(内蒙古)物理高考真题
2018年高考物理试卷(新课标Ⅱ)(空白卷)_物理历年高考真题_新·Word版2008-2025·高考物理真题_物理(按省份分类)2008-2025_2008-2025·(内蒙古)物理高考真题

文档信息

文档格式
docx
文档大小
0.089 MB
文档页数
8 页
上传时间
2026-01-27 23:56:29

文档内容

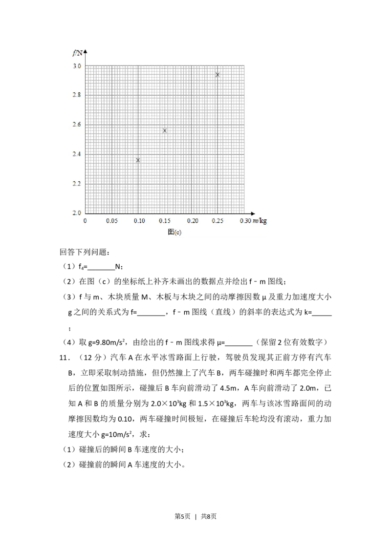
2018 年全国统一高考物理试卷(新课标Ⅱ) 一、选择题:本题共8小题,每小题6分,共48分。在每小题给出的四个选项 中,第1~5题只有一项符合题目要求,第 6~8题有多项符合题目要求.全部 选对的得6分,选对但不全的得3分,有选错的得0分. 1.(6分)如图,某同学用绳子拉动木箱,使它从静止开始沿粗糙水平路面运 动至具有某一速度,木箱获得的动能一定( ) A.小于拉力所做的功 B.等于拉力所做的功 C.等于克服摩擦力所做的功 D.大于克服摩擦力所做的功 2.(6分)高空坠物极易对行人造成伤害。若一个50g的鸡蛋从一居民楼的25 层坠下,与地面的碰撞时间约为 2ms,则该鸡蛋对地面产生的冲击力约为( ) A.10N B.102N C.103N D.104N 3.(6分)2018年2月,我国500m口径射电望远镜(天眼)发现毫秒脉冲星 “J0318+0253”,其自转周期T=5.19ms。假设星体为质量均匀分布的球体,已 知万有引力常量为 6.67×10﹣11N•m2/kg2.以周期T稳定自转的星体的密度最 小值约为( ) A.5×104kg/m3 B.5×1012kg/m3 C.5×1015kg/m3 D.5×1018kg/m3 4.(6分)用波长为300nm的光照射锌板,电子逸出锌板表面的最大初动能为 1.28×10﹣19J,已知普朗克常量为 6.63×10﹣34J•s,真空中的光速为 3.00×108m•s﹣1,能使锌产生光电效应的单色光的最低频率约为( ) A.1×1014Hz B.8×1014Hz C.2×1015Hz D.8×1015Hz 5.(6分)如图,在同一水平面内有两根平行长导轨,导轨间存在依次相邻的 矩形匀强磁场区域,区域宽度均为l,磁感应强度大小相等、方向交替向上向 下,一边长为 l的正方形金属线框在导轨上向左匀速运动,线框中感应电流 i随时间变化的正确图线可能是( ) 第1页 | 共8页A. B. C. D. 6.(6分)甲、乙两汽车在同一条平直公路上同向运动,其速度﹣时间图象分 别如图中甲、乙两条曲线所示,已知两车在t 时刻并排行驶,下列说法正确 2 的是( ) A.两车在t 时刻也并排行驶 1 B.在t 时刻甲车在后,乙车在前 1 C.甲车的加速度大小先增大后减小 D.乙车的加速度大小先减小后增大 7.(6分)如图,纸面内有两条互相垂直的长直绝缘导线 L 、L ,L 中的电流 1 2 1 方向向左,L 中的电流方向向上,L 的正上方有a,b两点,它们相对于L 对 2 1 2 称。整个系统处于匀强外磁场中,外磁场的磁感应强度大小为 B ,方向垂直 0 于纸面向外,已知a、b两点的磁感应强度大小分别为 B 和 B ,方向也垂 0 0 第2页 | 共8页于纸面向外,则( ) A.流经L 的电流在b点产生的磁感应强度大小为 B 1 0 B.流经L 的电流在a点产生的磁感应强度大小为 B 1 0 C.流经L 的电流在b点产生的磁感应强度大小为 B 2 0 D.流经L 的电流在a点产生的磁感应强度大小为 B 2 0 8.(6分)如图,同一平面内的a、b、c、d四点处于匀强电场中,电场方向与 此平面平行,M为a、c连线的中点,N为b、d连线的中点,一电荷量为q (q>0)的粒子从a点移动到b点,其电势能减小W ;若该粒子从c点移动 1 到d点,其电势能减小W ,下列说法正确的是( ) 2 A.此匀强电场的场强方向一定与a、b两点连线平行 B.若该粒子从M点移动到N点,则电场力做功一定为 C.若c、d之间的距离为L,则该电场的场强大小一定为 D.若W =W ,则a、M两点之间的电势差一定等于b、N两点之间的电势差 1 2 二、非选择题:共62分(第9~12题为必考题,每个试题考生都必须作答.第 13~16题为选考题.考生根据要求作答。(一)必考题:共47分。 9.(6 分)某同学组装一个多用电表,可选用的器材有:微安表头(量程 第3页 | 共8页100μA,内阻900Ω);电阻箱R (阻值范围0~999.9Ω);电阻箱R (阻值 1 2 范围0~99999.9Ω);导线若干。 要求利用所给器材先组装一个量程为lmA的直流电流表,在此基础上再将它改 装成量程为3V的直流电压表。组装好的多用电表有电流1mA和电压3V两挡。 回答下列问题: (1)在虚线框内画出电路图并标出 R 和R ,其中*为公共接线柱,a和b分別 1 2 是电流挡和电压挡的接线柱。 (2)电阻箱的阻值应取R = Ω,R = Ω(保留到个位) 1 2 10.(9分)某同学用图(a)所示的装置测量木块与木板之间的动摩擦因数, 跨过光滑定滑轮的细线两端分別与木块和弹簧秤相连,滑轮和木块间的细线 保持水平,在木块上方放置砝码,缓慢向左拉动水平放置的木板,当木块和 砝码相对桌面静止且木板仍在继续滑动时,弹簧秤的示数即为木块受到的滑 动摩擦力的大小。某次实验所得数据在 下表中给出,其中f 的值可从图(b)中弹簧秤的示数读出。 4 砝码的质量m/kg 0.05 0.10 0.15 0.20 0.25 滑动摩擦力 2.15 2.36 2.55 f 2.93 4 第4页 | 共8页回答下列问题: (1)f = N; 4 (2)在图(c)的坐标纸上补齐未画出的数据点并绘出f﹣m图线; (3)f与m、木块质量M、木板与木块之间的动摩擦因数μ及重力加速度大小 g之间的关系式为f= ,f﹣m图线(直线)的斜率的表达式为k= ; (4)取g=9.80m/s2,由绘出的f﹣m图线求得μ= (保留2位有效数字) 11.(12分)汽车 A在水平冰雪路面上行驶,驾驶员发现其正前方停有汽车 B,立即采取制动措施,但仍然撞上了汽车B,两车碰撞时和两车都完全停止 后的位置如图所示,碰撞后B车向前滑动了4.5m,A车向前滑动了2.0m,已 知A和B的质量分别为 2.0×103kg和1.5×103kg,两车与该冰雪路面间的动 摩擦因数均为0.10,两车碰撞时间极短,在碰撞后车轮均没有滚动,重力加 速度大小g=10m/s2,求: (1)碰撞后的瞬间B车速度的大小; (2)碰撞前的瞬间A车速度的大小。 第5页 | 共8页12.(20分)一足够长的条状区域内存在匀强电场和匀强磁场,其在xOy平面 内的截面如图所示;中间是磁场区域,其边界与y轴垂直,宽度为l,磁感应 强度的大小为B,方向垂直于xOy平面;磁场的上、下两侧为电场区域,宽 度均为l′,电场强度的大小均为E,方向均沿x轴正方向;M、N为条状区域 边界上的两点,它们的连线与 y轴平行。一带正电的粒子以某一速度从 M点 沿y轴正方向射入电场,经过一段时间后恰好以从M点入射的速度从N点沿 y轴正方向射出。不计重力。 (1)定性画出该粒子在电磁场中运动的轨迹; (2)求该粒子从M点入射时速度的大小; (3)若该粒子进入磁场时的速度方向恰好与x轴正方向的夹角为 ,求该粒 子的比荷及其从M点运动到N点的时间。 第6页 | 共8页三、选考题:共15分,请考生从2道物理题中任选一题作答,如果多做,则按 所做的第一题计分。 13.(5分)对于实际的气体,下列说法正确的是( ) A.气体的内能包括气体分子的重力势能 B.气体的内能包括气体分子之间相互作用的势能 C.气体的内能包括气体整体运动的动能 D.气体的体积变化时,其内能可能不变 E.气体的内能包括气体分子热运动的动能 14.(10分)如图,一竖直放置的汽缸上端开口,汽缸壁内有卡口a和b,a、 b间距为h,a距缸底的高度为H;活塞只能在a、b间移动,其下方密封有一 定质量的理想气体,已知活塞质量为m,面积为S,厚度可忽略;活塞和气 缸壁均绝热,不计它们之间的摩擦,开始时活塞处于静止状态,上、下方气 体压强均为p ,温度均为T ,现用电热丝缓慢加热汽缸中的气体,直至活塞 0 0 刚好到达b处。求此时汽缸内气体的温度以及在此过程中气体对外所做的功 重力加速度大小为g。 【物理---选修3-4】(15分) 15.声波在空气中的传播速度为 340m/s,在钢铁中的传播速度为4900m/s。一 平直桥由钢铁制成,某同学用锤子敲击一下桥的一端发出声音,分别经空气 和桥传到另一端的时间之差为1.00s。桥的长度为 m.若该声波在空气 中的波长为λ,则它在钢铁中的波长为λ的 倍。 16.如图,△ABC是一直角三棱镜的横截面,∠A=90°,∠B=60°.一细光束从 第7页 | 共8页BC边的D点折射后,射到AC边的E点,发生全反射后经AB边的F点射出, EG垂直于AC交BC于G,D恰好是CG的中点。不计多次反射。 (i)求出射光相对于D点的入射光的偏角; (ii)为实现上述光路,棱镜折射率的取值应在什么范围? 第8页 | 共8页