当前位置:首页>文档>2018年高考物理试卷(新课标Ⅱ)(空白卷)_物理历年高考真题_新·Word版2008-2025·高考物理真题_物理(按省份分类)2008-2025_2008-2025·(青海)物理高考真题

2018年高考物理试卷(新课标Ⅱ)(空白卷)_物理历年高考真题_新·Word版2008-2025·高考物理真题_物理(按省份分类)2008-2025_2008-2025·(青海)物理高考真题

  • 2026-03-07 23:43:53 2026-01-27 23:57:14

文档预览

2018年高考物理试卷(新课标Ⅱ)(空白卷)_物理历年高考真题_新·Word版2008-2025·高考物理真题_物理(按省份分类)2008-2025_2008-2025·(青海)物理高考真题
2018年高考物理试卷(新课标Ⅱ)(空白卷)_物理历年高考真题_新·Word版2008-2025·高考物理真题_物理(按省份分类)2008-2025_2008-2025·(青海)物理高考真题
2018年高考物理试卷(新课标Ⅱ)(空白卷)_物理历年高考真题_新·Word版2008-2025·高考物理真题_物理(按省份分类)2008-2025_2008-2025·(青海)物理高考真题
2018年高考物理试卷(新课标Ⅱ)(空白卷)_物理历年高考真题_新·Word版2008-2025·高考物理真题_物理(按省份分类)2008-2025_2008-2025·(青海)物理高考真题
2018年高考物理试卷(新课标Ⅱ)(空白卷)_物理历年高考真题_新·Word版2008-2025·高考物理真题_物理(按省份分类)2008-2025_2008-2025·(青海)物理高考真题
2018年高考物理试卷(新课标Ⅱ)(空白卷)_物理历年高考真题_新·Word版2008-2025·高考物理真题_物理(按省份分类)2008-2025_2008-2025·(青海)物理高考真题
2018年高考物理试卷(新课标Ⅱ)(空白卷)_物理历年高考真题_新·Word版2008-2025·高考物理真题_物理(按省份分类)2008-2025_2008-2025·(青海)物理高考真题
2018年高考物理试卷(新课标Ⅱ)(空白卷)_物理历年高考真题_新·Word版2008-2025·高考物理真题_物理(按省份分类)2008-2025_2008-2025·(青海)物理高考真题

文档信息

文档格式
docx
文档大小
0.089 MB
文档页数
8 页
上传时间
2026-01-27 23:57:14

文档内容

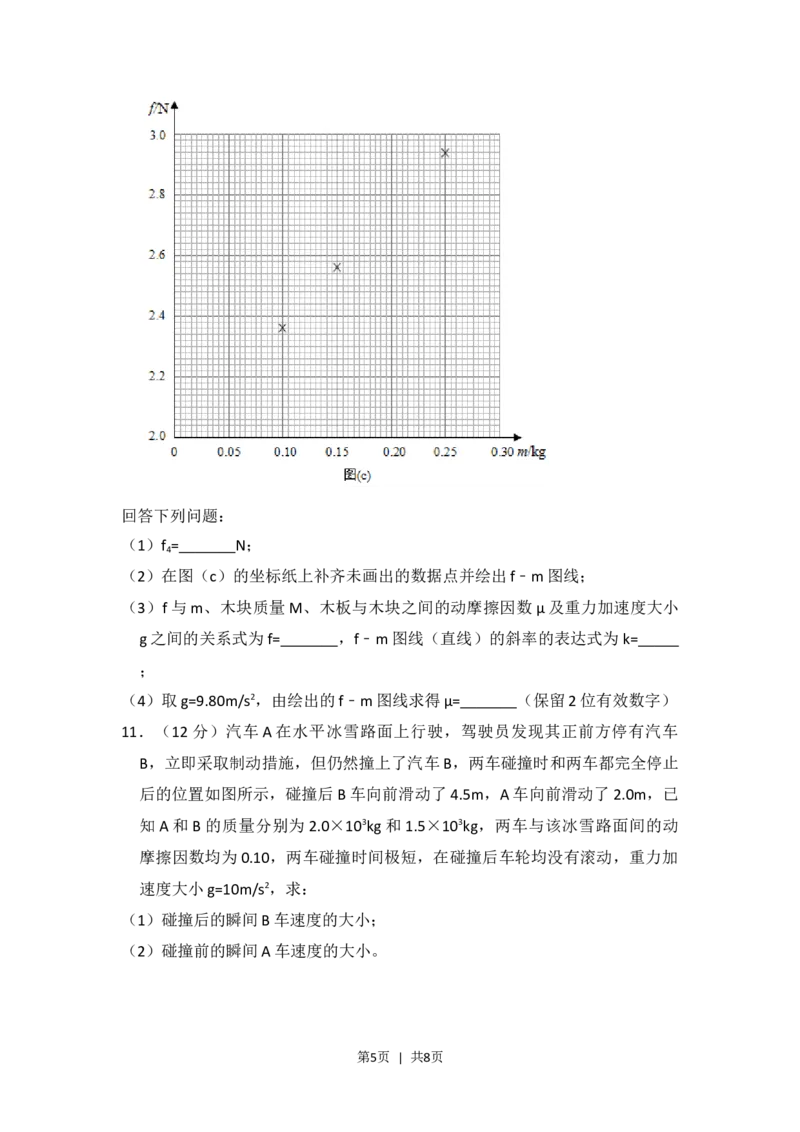
2018 年全国统一高考物理试卷(新课标Ⅱ) 一、选择题:本题共8小题,每小题6分,共48分。在每小题给出的四个选项 中,第1~5题只有一项符合题目要求,第 6~8题有多项符合题目要求.全部 选对的得6分,选对但不全的得3分,有选错的得0分. 1.(6分)如图,某同学用绳子拉动木箱,使它从静止开始沿粗糙水平路面运 动至具有某一速度,木箱获得的动能一定( ) A.小于拉力所做的功 B.等于拉力所做的功 C.等于克服摩擦力所做的功 D.大于克服摩擦力所做的功 2.(6分)高空坠物极易对行人造成伤害。若一个50g的鸡蛋从一居民楼的25 层坠下,与地面的碰撞时间约为 2ms,则该鸡蛋对地面产生的冲击力约为( ) A.10N B.102N C.103N D.104N 3.(6分)2018年2月,我国500m口径射电望远镜(天眼)发现毫秒脉冲星 “J0318+0253”,其自转周期T=5.19ms。假设星体为质量均匀分布的球体,已 知万有引力常量为 6.67×10﹣11N•m2/kg2.以周期T稳定自转的星体的密度最 小值约为( ) A.5×104kg/m3 B.5×1012kg/m3 C.5×1015kg/m3 D.5×1018kg/m3 4.(6分)用波长为300nm的光照射锌板,电子逸出锌板表面的最大初动能为 1.28×10﹣19J,已知普朗克常量为 6.63×10﹣34J•s,真空中的光速为 3.00×108m•s﹣1,能使锌产生光电效应的单色光的最低频率约为( ) A.1×1014Hz B.8×1014Hz C.2×1015Hz D.8×1015Hz 5.(6分)如图,在同一水平面内有两根平行长导轨,导轨间存在依次相邻的 矩形匀强磁场区域,区域宽度均为l,磁感应强度大小相等、方向交替向上向 下,一边长为 l的正方形金属线框在导轨上向左匀速运动,线框中感应电流 i随时间变化的正确图线可能是( ) 第1页 | 共8页A. B. C. D. 6.(6分)甲、乙两汽车在同一条平直公路上同向运动,其速度﹣时间图象分 别如图中甲、乙两条曲线所示,已知两车在t 时刻并排行驶,下列说法正确 2 的是( ) A.两车在t 时刻也并排行驶 1 B.在t 时刻甲车在后,乙车在前 1 C.甲车的加速度大小先增大后减小 D.乙车的加速度大小先减小后增大 7.(6分)如图,纸面内有两条互相垂直的长直绝缘导线 L 、L ,L 中的电流 1 2 1 方向向左,L 中的电流方向向上,L 的正上方有a,b两点,它们相对于L 对 2 1 2 称。整个系统处于匀强外磁场中,外磁场的磁感应强度大小为 B ,方向垂直 0 于纸面向外,已知a、b两点的磁感应强度大小分别为 B 和 B ,方向也垂 0 0 第2页 | 共8页于纸面向外,则( ) A.流经L 的电流在b点产生的磁感应强度大小为 B 1 0 B.流经L 的电流在a点产生的磁感应强度大小为 B 1 0 C.流经L 的电流在b点产生的磁感应强度大小为 B 2 0 D.流经L 的电流在a点产生的磁感应强度大小为 B 2 0 8.(6分)如图,同一平面内的a、b、c、d四点处于匀强电场中,电场方向与 此平面平行,M为a、c连线的中点,N为b、d连线的中点,一电荷量为q (q>0)的粒子从a点移动到b点,其电势能减小W ;若该粒子从c点移动 1 到d点,其电势能减小W ,下列说法正确的是( ) 2 A.此匀强电场的场强方向一定与a、b两点连线平行 B.若该粒子从M点移动到N点,则电场力做功一定为 C.若c、d之间的距离为L,则该电场的场强大小一定为 D.若W =W ,则a、M两点之间的电势差一定等于b、N两点之间的电势差 1 2 二、非选择题:共62分(第9~12题为必考题,每个试题考生都必须作答.第 13~16题为选考题.考生根据要求作答。(一)必考题:共47分。 9.(6 分)某同学组装一个多用电表,可选用的器材有:微安表头(量程 第3页 | 共8页100μA,内阻900Ω);电阻箱R (阻值范围0~999.9Ω);电阻箱R (阻值 1 2 范围0~99999.9Ω);导线若干。 要求利用所给器材先组装一个量程为lmA的直流电流表,在此基础上再将它改 装成量程为3V的直流电压表。组装好的多用电表有电流1mA和电压3V两挡。 回答下列问题: (1)在虚线框内画出电路图并标出 R 和R ,其中*为公共接线柱,a和b分別 1 2 是电流挡和电压挡的接线柱。 (2)电阻箱的阻值应取R = Ω,R = Ω(保留到个位) 1 2 10.(9分)某同学用图(a)所示的装置测量木块与木板之间的动摩擦因数, 跨过光滑定滑轮的细线两端分別与木块和弹簧秤相连,滑轮和木块间的细线 保持水平,在木块上方放置砝码,缓慢向左拉动水平放置的木板,当木块和 砝码相对桌面静止且木板仍在继续滑动时,弹簧秤的示数即为木块受到的滑 动摩擦力的大小。某次实验所得数据在 下表中给出,其中f 的值可从图(b)中弹簧秤的示数读出。 4 砝码的质量m/kg 0.05 0.10 0.15 0.20 0.25 滑动摩擦力 2.15 2.36 2.55 f 2.93 4 第4页 | 共8页回答下列问题: (1)f = N; 4 (2)在图(c)的坐标纸上补齐未画出的数据点并绘出f﹣m图线; (3)f与m、木块质量M、木板与木块之间的动摩擦因数μ及重力加速度大小 g之间的关系式为f= ,f﹣m图线(直线)的斜率的表达式为k= ; (4)取g=9.80m/s2,由绘出的f﹣m图线求得μ= (保留2位有效数字) 11.(12分)汽车 A在水平冰雪路面上行驶,驾驶员发现其正前方停有汽车 B,立即采取制动措施,但仍然撞上了汽车B,两车碰撞时和两车都完全停止 后的位置如图所示,碰撞后B车向前滑动了4.5m,A车向前滑动了2.0m,已 知A和B的质量分别为 2.0×103kg和1.5×103kg,两车与该冰雪路面间的动 摩擦因数均为0.10,两车碰撞时间极短,在碰撞后车轮均没有滚动,重力加 速度大小g=10m/s2,求: (1)碰撞后的瞬间B车速度的大小; (2)碰撞前的瞬间A车速度的大小。 第5页 | 共8页12.(20分)一足够长的条状区域内存在匀强电场和匀强磁场,其在xOy平面 内的截面如图所示;中间是磁场区域,其边界与y轴垂直,宽度为l,磁感应 强度的大小为B,方向垂直于xOy平面;磁场的上、下两侧为电场区域,宽 度均为l′,电场强度的大小均为E,方向均沿x轴正方向;M、N为条状区域 边界上的两点,它们的连线与 y轴平行。一带正电的粒子以某一速度从 M点 沿y轴正方向射入电场,经过一段时间后恰好以从M点入射的速度从N点沿 y轴正方向射出。不计重力。 (1)定性画出该粒子在电磁场中运动的轨迹; (2)求该粒子从M点入射时速度的大小; (3)若该粒子进入磁场时的速度方向恰好与x轴正方向的夹角为 ,求该粒 子的比荷及其从M点运动到N点的时间。 第6页 | 共8页三、选考题:共15分,请考生从2道物理题中任选一题作答,如果多做,则按 所做的第一题计分。 13.(5分)对于实际的气体,下列说法正确的是( ) A.气体的内能包括气体分子的重力势能 B.气体的内能包括气体分子之间相互作用的势能 C.气体的内能包括气体整体运动的动能 D.气体的体积变化时,其内能可能不变 E.气体的内能包括气体分子热运动的动能 14.(10分)如图,一竖直放置的汽缸上端开口,汽缸壁内有卡口a和b,a、 b间距为h,a距缸底的高度为H;活塞只能在a、b间移动,其下方密封有一 定质量的理想气体,已知活塞质量为m,面积为S,厚度可忽略;活塞和气 缸壁均绝热,不计它们之间的摩擦,开始时活塞处于静止状态,上、下方气 体压强均为p ,温度均为T ,现用电热丝缓慢加热汽缸中的气体,直至活塞 0 0 刚好到达b处。求此时汽缸内气体的温度以及在此过程中气体对外所做的功 重力加速度大小为g。 【物理---选修3-4】(15分) 15.声波在空气中的传播速度为 340m/s,在钢铁中的传播速度为4900m/s。一 平直桥由钢铁制成,某同学用锤子敲击一下桥的一端发出声音,分别经空气 和桥传到另一端的时间之差为1.00s。桥的长度为 m.若该声波在空气 中的波长为λ,则它在钢铁中的波长为λ的 倍。 16.如图,△ABC是一直角三棱镜的横截面,∠A=90°,∠B=60°.一细光束从 第7页 | 共8页BC边的D点折射后,射到AC边的E点,发生全反射后经AB边的F点射出, EG垂直于AC交BC于G,D恰好是CG的中点。不计多次反射。 (i)求出射光相对于D点的入射光的偏角; (ii)为实现上述光路,棱镜折射率的取值应在什么范围? 第8页 | 共8页
基本 文件 流程 错误 SQL 调试
  1. 请求信息 : 2026-03-10 11:28:29 HTTP/1.1 GET : https://www.yeyulingfeng.com/wendang/48546.html
  2. 运行时间 : 0.128853s [ 吞吐率:7.76req/s ] 内存消耗:5,657.22kb 文件加载:144
  3. 缓存信息 : 0 reads,0 writes
  4. 会话信息 : SESSION_ID=10bb526ffebbda0d22e7d6da97a949b2
  1. /yingpanguazai/ssd/ssd1/www/wwww.yeyulingfeng.com/public/index.php ( 0.79 KB )
  2. /yingpanguazai/ssd/ssd1/www/wwww.yeyulingfeng.com/vendor/autoload.php ( 0.17 KB )
  3. /yingpanguazai/ssd/ssd1/www/wwww.yeyulingfeng.com/vendor/composer/autoload_real.php ( 2.49 KB )
  4. /yingpanguazai/ssd/ssd1/www/wwww.yeyulingfeng.com/vendor/composer/platform_check.php ( 0.90 KB )
  5. /yingpanguazai/ssd/ssd1/www/wwww.yeyulingfeng.com/vendor/composer/ClassLoader.php ( 14.03 KB )
  6. /yingpanguazai/ssd/ssd1/www/wwww.yeyulingfeng.com/vendor/composer/autoload_static.php ( 6.05 KB )
  7. /yingpanguazai/ssd/ssd1/www/wwww.yeyulingfeng.com/vendor/topthink/think-helper/src/helper.php ( 8.34 KB )
  8. /yingpanguazai/ssd/ssd1/www/wwww.yeyulingfeng.com/vendor/topthink/think-validate/src/helper.php ( 2.19 KB )
  9. /yingpanguazai/ssd/ssd1/www/wwww.yeyulingfeng.com/vendor/ralouphie/getallheaders/src/getallheaders.php ( 1.60 KB )
  10. /yingpanguazai/ssd/ssd1/www/wwww.yeyulingfeng.com/vendor/topthink/think-orm/src/helper.php ( 1.47 KB )
  11. /yingpanguazai/ssd/ssd1/www/wwww.yeyulingfeng.com/vendor/topthink/think-orm/stubs/load_stubs.php ( 0.16 KB )
  12. /yingpanguazai/ssd/ssd1/www/wwww.yeyulingfeng.com/vendor/topthink/framework/src/think/Exception.php ( 1.69 KB )
  13. /yingpanguazai/ssd/ssd1/www/wwww.yeyulingfeng.com/vendor/topthink/think-container/src/Facade.php ( 2.71 KB )
  14. /yingpanguazai/ssd/ssd1/www/wwww.yeyulingfeng.com/vendor/symfony/deprecation-contracts/function.php ( 0.99 KB )
  15. /yingpanguazai/ssd/ssd1/www/wwww.yeyulingfeng.com/vendor/symfony/polyfill-mbstring/bootstrap.php ( 8.26 KB )
  16. /yingpanguazai/ssd/ssd1/www/wwww.yeyulingfeng.com/vendor/symfony/polyfill-mbstring/bootstrap80.php ( 9.78 KB )
  17. /yingpanguazai/ssd/ssd1/www/wwww.yeyulingfeng.com/vendor/symfony/var-dumper/Resources/functions/dump.php ( 1.49 KB )
  18. /yingpanguazai/ssd/ssd1/www/wwww.yeyulingfeng.com/vendor/topthink/think-dumper/src/helper.php ( 0.18 KB )
  19. /yingpanguazai/ssd/ssd1/www/wwww.yeyulingfeng.com/vendor/symfony/var-dumper/VarDumper.php ( 4.30 KB )
  20. /yingpanguazai/ssd/ssd1/www/wwww.yeyulingfeng.com/vendor/guzzlehttp/guzzle/src/functions_include.php ( 0.16 KB )
  21. /yingpanguazai/ssd/ssd1/www/wwww.yeyulingfeng.com/vendor/guzzlehttp/guzzle/src/functions.php ( 5.54 KB )
  22. /yingpanguazai/ssd/ssd1/www/wwww.yeyulingfeng.com/vendor/topthink/framework/src/think/App.php ( 15.30 KB )
  23. /yingpanguazai/ssd/ssd1/www/wwww.yeyulingfeng.com/vendor/topthink/think-container/src/Container.php ( 15.76 KB )
  24. /yingpanguazai/ssd/ssd1/www/wwww.yeyulingfeng.com/vendor/psr/container/src/ContainerInterface.php ( 1.02 KB )
  25. /yingpanguazai/ssd/ssd1/www/wwww.yeyulingfeng.com/app/provider.php ( 0.19 KB )
  26. /yingpanguazai/ssd/ssd1/www/wwww.yeyulingfeng.com/vendor/topthink/framework/src/think/Http.php ( 6.04 KB )
  27. /yingpanguazai/ssd/ssd1/www/wwww.yeyulingfeng.com/vendor/topthink/think-helper/src/helper/Str.php ( 7.29 KB )
  28. /yingpanguazai/ssd/ssd1/www/wwww.yeyulingfeng.com/vendor/topthink/framework/src/think/Env.php ( 4.68 KB )
  29. /yingpanguazai/ssd/ssd1/www/wwww.yeyulingfeng.com/app/common.php ( 0.03 KB )
  30. /yingpanguazai/ssd/ssd1/www/wwww.yeyulingfeng.com/vendor/topthink/framework/src/helper.php ( 18.78 KB )
  31. /yingpanguazai/ssd/ssd1/www/wwww.yeyulingfeng.com/vendor/topthink/framework/src/think/Config.php ( 5.54 KB )
  32. /yingpanguazai/ssd/ssd1/www/wwww.yeyulingfeng.com/config/alipay.php ( 3.59 KB )
  33. /yingpanguazai/ssd/ssd1/www/wwww.yeyulingfeng.com/vendor/topthink/framework/src/think/facade/Env.php ( 1.67 KB )
  34. /yingpanguazai/ssd/ssd1/www/wwww.yeyulingfeng.com/config/app.php ( 0.95 KB )
  35. /yingpanguazai/ssd/ssd1/www/wwww.yeyulingfeng.com/config/cache.php ( 0.78 KB )
  36. /yingpanguazai/ssd/ssd1/www/wwww.yeyulingfeng.com/config/console.php ( 0.23 KB )
  37. /yingpanguazai/ssd/ssd1/www/wwww.yeyulingfeng.com/config/cookie.php ( 0.56 KB )
  38. /yingpanguazai/ssd/ssd1/www/wwww.yeyulingfeng.com/config/database.php ( 2.48 KB )
  39. /yingpanguazai/ssd/ssd1/www/wwww.yeyulingfeng.com/config/filesystem.php ( 0.61 KB )
  40. /yingpanguazai/ssd/ssd1/www/wwww.yeyulingfeng.com/config/lang.php ( 0.91 KB )
  41. /yingpanguazai/ssd/ssd1/www/wwww.yeyulingfeng.com/config/log.php ( 1.35 KB )
  42. /yingpanguazai/ssd/ssd1/www/wwww.yeyulingfeng.com/config/middleware.php ( 0.19 KB )
  43. /yingpanguazai/ssd/ssd1/www/wwww.yeyulingfeng.com/config/route.php ( 1.89 KB )
  44. /yingpanguazai/ssd/ssd1/www/wwww.yeyulingfeng.com/config/session.php ( 0.57 KB )
  45. /yingpanguazai/ssd/ssd1/www/wwww.yeyulingfeng.com/config/trace.php ( 0.34 KB )
  46. /yingpanguazai/ssd/ssd1/www/wwww.yeyulingfeng.com/config/view.php ( 0.82 KB )
  47. /yingpanguazai/ssd/ssd1/www/wwww.yeyulingfeng.com/app/event.php ( 0.25 KB )
  48. /yingpanguazai/ssd/ssd1/www/wwww.yeyulingfeng.com/vendor/topthink/framework/src/think/Event.php ( 7.67 KB )
  49. /yingpanguazai/ssd/ssd1/www/wwww.yeyulingfeng.com/app/service.php ( 0.13 KB )
  50. /yingpanguazai/ssd/ssd1/www/wwww.yeyulingfeng.com/app/AppService.php ( 0.26 KB )
  51. /yingpanguazai/ssd/ssd1/www/wwww.yeyulingfeng.com/vendor/topthink/framework/src/think/Service.php ( 1.64 KB )
  52. /yingpanguazai/ssd/ssd1/www/wwww.yeyulingfeng.com/vendor/topthink/framework/src/think/Lang.php ( 7.35 KB )
  53. /yingpanguazai/ssd/ssd1/www/wwww.yeyulingfeng.com/vendor/topthink/framework/src/lang/zh-cn.php ( 13.70 KB )
  54. /yingpanguazai/ssd/ssd1/www/wwww.yeyulingfeng.com/vendor/topthink/framework/src/think/initializer/Error.php ( 3.31 KB )
  55. /yingpanguazai/ssd/ssd1/www/wwww.yeyulingfeng.com/vendor/topthink/framework/src/think/initializer/RegisterService.php ( 1.33 KB )
  56. /yingpanguazai/ssd/ssd1/www/wwww.yeyulingfeng.com/vendor/services.php ( 0.14 KB )
  57. /yingpanguazai/ssd/ssd1/www/wwww.yeyulingfeng.com/vendor/topthink/framework/src/think/service/PaginatorService.php ( 1.52 KB )
  58. /yingpanguazai/ssd/ssd1/www/wwww.yeyulingfeng.com/vendor/topthink/framework/src/think/service/ValidateService.php ( 0.99 KB )
  59. /yingpanguazai/ssd/ssd1/www/wwww.yeyulingfeng.com/vendor/topthink/framework/src/think/service/ModelService.php ( 2.04 KB )
  60. /yingpanguazai/ssd/ssd1/www/wwww.yeyulingfeng.com/vendor/topthink/think-trace/src/Service.php ( 0.77 KB )
  61. /yingpanguazai/ssd/ssd1/www/wwww.yeyulingfeng.com/vendor/topthink/framework/src/think/Middleware.php ( 6.72 KB )
  62. /yingpanguazai/ssd/ssd1/www/wwww.yeyulingfeng.com/vendor/topthink/framework/src/think/initializer/BootService.php ( 0.77 KB )
  63. /yingpanguazai/ssd/ssd1/www/wwww.yeyulingfeng.com/vendor/topthink/think-orm/src/Paginator.php ( 11.86 KB )
  64. /yingpanguazai/ssd/ssd1/www/wwww.yeyulingfeng.com/vendor/topthink/think-validate/src/Validate.php ( 63.20 KB )
  65. /yingpanguazai/ssd/ssd1/www/wwww.yeyulingfeng.com/vendor/topthink/think-orm/src/Model.php ( 23.55 KB )
  66. /yingpanguazai/ssd/ssd1/www/wwww.yeyulingfeng.com/vendor/topthink/think-orm/src/model/concern/Attribute.php ( 21.05 KB )
  67. /yingpanguazai/ssd/ssd1/www/wwww.yeyulingfeng.com/vendor/topthink/think-orm/src/model/concern/AutoWriteData.php ( 4.21 KB )
  68. /yingpanguazai/ssd/ssd1/www/wwww.yeyulingfeng.com/vendor/topthink/think-orm/src/model/concern/Conversion.php ( 6.44 KB )
  69. /yingpanguazai/ssd/ssd1/www/wwww.yeyulingfeng.com/vendor/topthink/think-orm/src/model/concern/DbConnect.php ( 5.16 KB )
  70. /yingpanguazai/ssd/ssd1/www/wwww.yeyulingfeng.com/vendor/topthink/think-orm/src/model/concern/ModelEvent.php ( 2.33 KB )
  71. /yingpanguazai/ssd/ssd1/www/wwww.yeyulingfeng.com/vendor/topthink/think-orm/src/model/concern/RelationShip.php ( 28.29 KB )
  72. /yingpanguazai/ssd/ssd1/www/wwww.yeyulingfeng.com/vendor/topthink/think-helper/src/contract/Arrayable.php ( 0.09 KB )
  73. /yingpanguazai/ssd/ssd1/www/wwww.yeyulingfeng.com/vendor/topthink/think-helper/src/contract/Jsonable.php ( 0.13 KB )
  74. /yingpanguazai/ssd/ssd1/www/wwww.yeyulingfeng.com/vendor/topthink/think-orm/src/model/contract/Modelable.php ( 0.09 KB )
  75. /yingpanguazai/ssd/ssd1/www/wwww.yeyulingfeng.com/vendor/topthink/framework/src/think/Db.php ( 2.88 KB )
  76. /yingpanguazai/ssd/ssd1/www/wwww.yeyulingfeng.com/vendor/topthink/think-orm/src/DbManager.php ( 8.52 KB )
  77. /yingpanguazai/ssd/ssd1/www/wwww.yeyulingfeng.com/vendor/topthink/framework/src/think/Log.php ( 6.28 KB )
  78. /yingpanguazai/ssd/ssd1/www/wwww.yeyulingfeng.com/vendor/topthink/framework/src/think/Manager.php ( 3.92 KB )
  79. /yingpanguazai/ssd/ssd1/www/wwww.yeyulingfeng.com/vendor/psr/log/src/LoggerTrait.php ( 2.69 KB )
  80. /yingpanguazai/ssd/ssd1/www/wwww.yeyulingfeng.com/vendor/psr/log/src/LoggerInterface.php ( 2.71 KB )
  81. /yingpanguazai/ssd/ssd1/www/wwww.yeyulingfeng.com/vendor/topthink/framework/src/think/Cache.php ( 4.92 KB )
  82. /yingpanguazai/ssd/ssd1/www/wwww.yeyulingfeng.com/vendor/psr/simple-cache/src/CacheInterface.php ( 4.71 KB )
  83. /yingpanguazai/ssd/ssd1/www/wwww.yeyulingfeng.com/vendor/topthink/think-helper/src/helper/Arr.php ( 16.63 KB )
  84. /yingpanguazai/ssd/ssd1/www/wwww.yeyulingfeng.com/vendor/topthink/framework/src/think/cache/driver/File.php ( 7.84 KB )
  85. /yingpanguazai/ssd/ssd1/www/wwww.yeyulingfeng.com/vendor/topthink/framework/src/think/cache/Driver.php ( 9.03 KB )
  86. /yingpanguazai/ssd/ssd1/www/wwww.yeyulingfeng.com/vendor/topthink/framework/src/think/contract/CacheHandlerInterface.php ( 1.99 KB )
  87. /yingpanguazai/ssd/ssd1/www/wwww.yeyulingfeng.com/app/Request.php ( 0.09 KB )
  88. /yingpanguazai/ssd/ssd1/www/wwww.yeyulingfeng.com/vendor/topthink/framework/src/think/Request.php ( 55.78 KB )
  89. /yingpanguazai/ssd/ssd1/www/wwww.yeyulingfeng.com/app/middleware.php ( 0.25 KB )
  90. /yingpanguazai/ssd/ssd1/www/wwww.yeyulingfeng.com/vendor/topthink/framework/src/think/Pipeline.php ( 2.61 KB )
  91. /yingpanguazai/ssd/ssd1/www/wwww.yeyulingfeng.com/vendor/topthink/think-trace/src/TraceDebug.php ( 3.40 KB )
  92. /yingpanguazai/ssd/ssd1/www/wwww.yeyulingfeng.com/vendor/topthink/framework/src/think/middleware/SessionInit.php ( 1.94 KB )
  93. /yingpanguazai/ssd/ssd1/www/wwww.yeyulingfeng.com/vendor/topthink/framework/src/think/Session.php ( 1.80 KB )
  94. /yingpanguazai/ssd/ssd1/www/wwww.yeyulingfeng.com/vendor/topthink/framework/src/think/session/driver/File.php ( 6.27 KB )
  95. /yingpanguazai/ssd/ssd1/www/wwww.yeyulingfeng.com/vendor/topthink/framework/src/think/contract/SessionHandlerInterface.php ( 0.87 KB )
  96. /yingpanguazai/ssd/ssd1/www/wwww.yeyulingfeng.com/vendor/topthink/framework/src/think/session/Store.php ( 7.12 KB )
  97. /yingpanguazai/ssd/ssd1/www/wwww.yeyulingfeng.com/vendor/topthink/framework/src/think/Route.php ( 23.73 KB )
  98. /yingpanguazai/ssd/ssd1/www/wwww.yeyulingfeng.com/vendor/topthink/framework/src/think/route/RuleName.php ( 5.75 KB )
  99. /yingpanguazai/ssd/ssd1/www/wwww.yeyulingfeng.com/vendor/topthink/framework/src/think/route/Domain.php ( 2.53 KB )
  100. /yingpanguazai/ssd/ssd1/www/wwww.yeyulingfeng.com/vendor/topthink/framework/src/think/route/RuleGroup.php ( 22.43 KB )
  101. /yingpanguazai/ssd/ssd1/www/wwww.yeyulingfeng.com/vendor/topthink/framework/src/think/route/Rule.php ( 26.95 KB )
  102. /yingpanguazai/ssd/ssd1/www/wwww.yeyulingfeng.com/vendor/topthink/framework/src/think/route/RuleItem.php ( 9.78 KB )
  103. /yingpanguazai/ssd/ssd1/www/wwww.yeyulingfeng.com/route/app.php ( 3.82 KB )
  104. /yingpanguazai/ssd/ssd1/www/wwww.yeyulingfeng.com/vendor/topthink/framework/src/think/facade/Route.php ( 4.70 KB )
  105. /yingpanguazai/ssd/ssd1/www/wwww.yeyulingfeng.com/vendor/topthink/framework/src/think/route/dispatch/Controller.php ( 4.74 KB )
  106. /yingpanguazai/ssd/ssd1/www/wwww.yeyulingfeng.com/vendor/topthink/framework/src/think/route/Dispatch.php ( 10.44 KB )
  107. /yingpanguazai/ssd/ssd1/www/wwww.yeyulingfeng.com/app/controller/Index.php ( 9.69 KB )
  108. /yingpanguazai/ssd/ssd1/www/wwww.yeyulingfeng.com/app/BaseController.php ( 2.05 KB )
  109. /yingpanguazai/ssd/ssd1/www/wwww.yeyulingfeng.com/vendor/topthink/think-orm/src/facade/Db.php ( 0.93 KB )
  110. /yingpanguazai/ssd/ssd1/www/wwww.yeyulingfeng.com/vendor/topthink/think-orm/src/db/connector/Mysql.php ( 5.44 KB )
  111. /yingpanguazai/ssd/ssd1/www/wwww.yeyulingfeng.com/vendor/topthink/think-orm/src/db/PDOConnection.php ( 52.47 KB )
  112. /yingpanguazai/ssd/ssd1/www/wwww.yeyulingfeng.com/vendor/topthink/think-orm/src/db/Connection.php ( 8.39 KB )
  113. /yingpanguazai/ssd/ssd1/www/wwww.yeyulingfeng.com/vendor/topthink/think-orm/src/db/ConnectionInterface.php ( 4.57 KB )
  114. /yingpanguazai/ssd/ssd1/www/wwww.yeyulingfeng.com/vendor/topthink/think-orm/src/db/builder/Mysql.php ( 16.58 KB )
  115. /yingpanguazai/ssd/ssd1/www/wwww.yeyulingfeng.com/vendor/topthink/think-orm/src/db/Builder.php ( 24.06 KB )
  116. /yingpanguazai/ssd/ssd1/www/wwww.yeyulingfeng.com/vendor/topthink/think-orm/src/db/BaseBuilder.php ( 27.50 KB )
  117. /yingpanguazai/ssd/ssd1/www/wwww.yeyulingfeng.com/vendor/topthink/think-orm/src/db/Query.php ( 15.71 KB )
  118. /yingpanguazai/ssd/ssd1/www/wwww.yeyulingfeng.com/vendor/topthink/think-orm/src/db/BaseQuery.php ( 45.13 KB )
  119. /yingpanguazai/ssd/ssd1/www/wwww.yeyulingfeng.com/vendor/topthink/think-orm/src/db/concern/TimeFieldQuery.php ( 7.43 KB )
  120. /yingpanguazai/ssd/ssd1/www/wwww.yeyulingfeng.com/vendor/topthink/think-orm/src/db/concern/AggregateQuery.php ( 3.26 KB )
  121. /yingpanguazai/ssd/ssd1/www/wwww.yeyulingfeng.com/vendor/topthink/think-orm/src/db/concern/ModelRelationQuery.php ( 20.07 KB )
  122. /yingpanguazai/ssd/ssd1/www/wwww.yeyulingfeng.com/vendor/topthink/think-orm/src/db/concern/ParamsBind.php ( 3.66 KB )
  123. /yingpanguazai/ssd/ssd1/www/wwww.yeyulingfeng.com/vendor/topthink/think-orm/src/db/concern/ResultOperation.php ( 7.01 KB )
  124. /yingpanguazai/ssd/ssd1/www/wwww.yeyulingfeng.com/vendor/topthink/think-orm/src/db/concern/WhereQuery.php ( 19.37 KB )
  125. /yingpanguazai/ssd/ssd1/www/wwww.yeyulingfeng.com/vendor/topthink/think-orm/src/db/concern/JoinAndViewQuery.php ( 7.11 KB )
  126. /yingpanguazai/ssd/ssd1/www/wwww.yeyulingfeng.com/vendor/topthink/think-orm/src/db/concern/TableFieldInfo.php ( 2.63 KB )
  127. /yingpanguazai/ssd/ssd1/www/wwww.yeyulingfeng.com/vendor/topthink/think-orm/src/db/concern/Transaction.php ( 2.77 KB )
  128. /yingpanguazai/ssd/ssd1/www/wwww.yeyulingfeng.com/vendor/topthink/framework/src/think/log/driver/File.php ( 5.96 KB )
  129. /yingpanguazai/ssd/ssd1/www/wwww.yeyulingfeng.com/vendor/topthink/framework/src/think/contract/LogHandlerInterface.php ( 0.86 KB )
  130. /yingpanguazai/ssd/ssd1/www/wwww.yeyulingfeng.com/vendor/topthink/framework/src/think/log/Channel.php ( 3.89 KB )
  131. /yingpanguazai/ssd/ssd1/www/wwww.yeyulingfeng.com/vendor/topthink/framework/src/think/event/LogRecord.php ( 1.02 KB )
  132. /yingpanguazai/ssd/ssd1/www/wwww.yeyulingfeng.com/vendor/topthink/think-helper/src/Collection.php ( 16.47 KB )
  133. /yingpanguazai/ssd/ssd1/www/wwww.yeyulingfeng.com/vendor/topthink/framework/src/think/facade/View.php ( 1.70 KB )
  134. /yingpanguazai/ssd/ssd1/www/wwww.yeyulingfeng.com/vendor/topthink/framework/src/think/View.php ( 4.39 KB )
  135. /yingpanguazai/ssd/ssd1/www/wwww.yeyulingfeng.com/vendor/topthink/framework/src/think/Response.php ( 8.81 KB )
  136. /yingpanguazai/ssd/ssd1/www/wwww.yeyulingfeng.com/vendor/topthink/framework/src/think/response/View.php ( 3.29 KB )
  137. /yingpanguazai/ssd/ssd1/www/wwww.yeyulingfeng.com/vendor/topthink/framework/src/think/Cookie.php ( 6.06 KB )
  138. /yingpanguazai/ssd/ssd1/www/wwww.yeyulingfeng.com/vendor/topthink/think-view/src/Think.php ( 8.38 KB )
  139. /yingpanguazai/ssd/ssd1/www/wwww.yeyulingfeng.com/vendor/topthink/framework/src/think/contract/TemplateHandlerInterface.php ( 1.60 KB )
  140. /yingpanguazai/ssd/ssd1/www/wwww.yeyulingfeng.com/vendor/topthink/think-template/src/Template.php ( 46.61 KB )
  141. /yingpanguazai/ssd/ssd1/www/wwww.yeyulingfeng.com/vendor/topthink/think-template/src/template/driver/File.php ( 2.41 KB )
  142. /yingpanguazai/ssd/ssd1/www/wwww.yeyulingfeng.com/vendor/topthink/think-template/src/template/contract/DriverInterface.php ( 0.86 KB )
  143. /yingpanguazai/ssd/ssd1/www/wwww.yeyulingfeng.com/runtime/temp/10a0c909b6afa23b5a52a2e2d58c3c0f.php ( 21.72 KB )
  144. /yingpanguazai/ssd/ssd1/www/wwww.yeyulingfeng.com/vendor/topthink/think-trace/src/Html.php ( 4.42 KB )
  1. CONNECT:[ UseTime:0.000944s ] mysql:host=127.0.0.1;port=3306;dbname=wenku;charset=utf8mb4
  2. SHOW FULL COLUMNS FROM `fenlei` [ RunTime:0.001612s ]
  3. SELECT * FROM `fenlei` WHERE `fid` = 0 [ RunTime:0.000711s ]
  4. SELECT * FROM `fenlei` WHERE `fid` = 63 [ RunTime:0.000655s ]
  5. SHOW FULL COLUMNS FROM `set` [ RunTime:0.001358s ]
  6. SELECT * FROM `set` [ RunTime:0.000549s ]
  7. SHOW FULL COLUMNS FROM `wendang` [ RunTime:0.001491s ]
  8. SELECT * FROM `wendang` WHERE `id` = 48546 LIMIT 1 [ RunTime:0.001111s ]
  9. UPDATE `wendang` SET `liulancishu` = 9 WHERE `id` = 48546 [ RunTime:0.019183s ]
  10. UPDATE `wendang` SET `lasttime` = 1773113309 WHERE `id` = 48546 [ RunTime:0.001182s ]
  11. SELECT * FROM `wendang` WHERE `id` < 48546 ORDER BY `id` DESC LIMIT 1 [ RunTime:0.001468s ]
  12. SELECT * FROM `wendang` WHERE `id` > 48546 ORDER BY `id` ASC LIMIT 1 [ RunTime:0.001066s ]
  13. SELECT * FROM `wendang` WHERE `id` <> 48546 ORDER BY `id` DESC LIMIT 10 [ RunTime:0.002274s ]
  14. SELECT * FROM `wendang` WHERE `id` <> 48546 ORDER BY `id` DESC LIMIT 10,10 [ RunTime:0.001707s ]
  15. SELECT * FROM `wendang` WHERE `id` <> 48546 ORDER BY `id` DESC LIMIT 20,10 [ RunTime:0.002169s ]
0.130598s