当前位置:首页>文档>2022届新高考数学提分计划之函数与导数新高考I专用(10)_02高考数学_新高考复习资料_2022年新高考资料_2022届新高考数学二轮复习提分计划之函数与导数新高考专用

2022届新高考数学提分计划之函数与导数新高考I专用(10)_02高考数学_新高考复习资料_2022年新高考资料_2022届新高考数学二轮复习提分计划之函数与导数新高考专用

  • 2026-04-06 03:07:42 2026-04-06 02:52:18

文档预览

2022届新高考数学提分计划之函数与导数新高考I专用(10)_02高考数学_新高考复习资料_2022年新高考资料_2022届新高考数学二轮复习提分计划之函数与导数新高考专用
2022届新高考数学提分计划之函数与导数新高考I专用(10)_02高考数学_新高考复习资料_2022年新高考资料_2022届新高考数学二轮复习提分计划之函数与导数新高考专用
2022届新高考数学提分计划之函数与导数新高考I专用(10)_02高考数学_新高考复习资料_2022年新高考资料_2022届新高考数学二轮复习提分计划之函数与导数新高考专用
2022届新高考数学提分计划之函数与导数新高考I专用(10)_02高考数学_新高考复习资料_2022年新高考资料_2022届新高考数学二轮复习提分计划之函数与导数新高考专用
2022届新高考数学提分计划之函数与导数新高考I专用(10)_02高考数学_新高考复习资料_2022年新高考资料_2022届新高考数学二轮复习提分计划之函数与导数新高考专用
2022届新高考数学提分计划之函数与导数新高考I专用(10)_02高考数学_新高考复习资料_2022年新高考资料_2022届新高考数学二轮复习提分计划之函数与导数新高考专用
2022届新高考数学提分计划之函数与导数新高考I专用(10)_02高考数学_新高考复习资料_2022年新高考资料_2022届新高考数学二轮复习提分计划之函数与导数新高考专用
2022届新高考数学提分计划之函数与导数新高考I专用(10)_02高考数学_新高考复习资料_2022年新高考资料_2022届新高考数学二轮复习提分计划之函数与导数新高考专用
2022届新高考数学提分计划之函数与导数新高考I专用(10)_02高考数学_新高考复习资料_2022年新高考资料_2022届新高考数学二轮复习提分计划之函数与导数新高考专用
2022届新高考数学提分计划之函数与导数新高考I专用(10)_02高考数学_新高考复习资料_2022年新高考资料_2022届新高考数学二轮复习提分计划之函数与导数新高考专用
2022届新高考数学提分计划之函数与导数新高考I专用(10)_02高考数学_新高考复习资料_2022年新高考资料_2022届新高考数学二轮复习提分计划之函数与导数新高考专用
2022届新高考数学提分计划之函数与导数新高考I专用(10)_02高考数学_新高考复习资料_2022年新高考资料_2022届新高考数学二轮复习提分计划之函数与导数新高考专用
2022届新高考数学提分计划之函数与导数新高考I专用(10)_02高考数学_新高考复习资料_2022年新高考资料_2022届新高考数学二轮复习提分计划之函数与导数新高考专用
2022届新高考数学提分计划之函数与导数新高考I专用(10)_02高考数学_新高考复习资料_2022年新高考资料_2022届新高考数学二轮复习提分计划之函数与导数新高考专用

文档信息

文档格式
doc
文档大小
1.585 MB
文档页数
10 页
上传时间
2026-04-06 02:52:18

文档内容

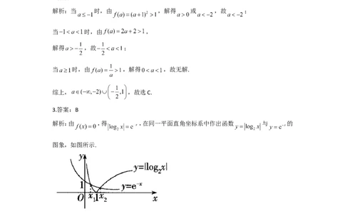
2022 届新高考数学提分计划之函数与导数 新高考 I 专用(10) 1.函数 的图像大致为( ) A. B. C. D. 2.已知函数 若 ,则实数a的取值范围是( ) A. B. C. D. 3.函数 的所有零点的积为m,则有( ) A. B. C. D. 4.设函数 , .若对任意的 , ,不等式 恒成 立,则正数k的取值范围是( )A. B. C. D. 5.已知函数 ,若对任意的 , 恒成立,则 实数a的取值范围为( ) A. B. C. D. 6. (多选)已知函数 则以下结论正确的有( ) A. B.方程 有三个实数根 C.当 时, D. 若 函 数 在 上 有 8 个 零 点 , 则 的取值范围为 7. (多选)设函数 的定义域为 ,已知 有且只有一个零点,则 下列结论中正确的有( ) A. B. 在区间 上单调递增 C.当 时, 取得极大值 D. 是 的最小值 8.已知 ,在实数集R中定义一种运算 ,则 ____________, 函数 的最小值为_____________. 9.已知函数 .若存在 ,使得 成立,则实数a 的取值范围是____________. 10.已知函数 , 为其导函数. (1)若函数 在点 处的切线方程为 ,求函数 的解析式.(2)在(1)的条件下,若 是函数 的零点,且 , ,求n的值. (3)当 时,函数 有两个零点 , ( ),且 .求证: .答案以及解析 1.答案:A 解析:设 ,易知 的定义域为 , 函数 是奇函数, 的图像关于原点对称,排除C、D,易知 ,排除B,故 选A. 2.答案:C 解析:当 时,由 ,解得 或 ,故 ; 当 时,由 , 解得 ,故 ; 当 时,由 ,解得 ,故无解. 综上, ,故选C. 3.答案:B 解析:由 ,得 ,在同一平面直角坐标系中作出函数 与 的 图象,如图所示. 由图象知 有两个实数解 , ,且 , , , 由函数的零点就是方程的解,列出关于 , 的方程. ,, ,即 .故选B. 4.答案:B 解析: 对任意的 , ,不等式 恒成立, .由 ,得 .当 , ,当 , . , .令 ,得 ( 舍去).当 时, ,当 , . , , , ,故选B. 5.答案:C 解析:函数 ,即 ,定义域为R, , 为R上的奇函数, 当 时,函数 在 上单调递增, 在 上单调递增, 且当 时, , , 所以 在 上单调递增,则 在R上单调递增, 对任意的 , 恒成立, 即 在 上恒成立, 即 ,即 对 恒成立, 设 , , 可得 ,且 ,解得 , 故选C.6.答案:ACD 解析: ,A正确; 的图象和直线 如图所示, 由图象知方程 有四个实数根,B错误; 当 时, ,依题意得 ,C正确; 由题意得 , , 不妨设 , 则 , , 又 , ,D正确. 故选ACD. 7.答案:ACD 解析: 只有一个零点,即方程 在 上只有一个根,则 ,两边取对 数,得 ,即 只有一个正根.设 ,则 ,当 时, , 单调递增;当 时, ;当 时, , 单 调递减,此时 ,则 ,所以要使方程 只有一个正根,则或 ,解得 或 .又因为 ,所以 ,故A正确; , ,令 ,即 ,两边取对数,得 ,易知 和 是此方程的解.设 , ,当 时,则 , 单调递增;当 时, , 单调递减,所以 是极大值.又 ,所以 有且只有两个零点.当 或 时,所以 ,即 ,即 ,则 .同理当 时, ,所以 在区间 和 上单调递增,在区间 上单调递减,所以极小值为 ,极大值为 . 又 ,所以 是最小值,故B错误,C,D正确.故选ACD. 8.答案:13;7 解析:由已知得 . 函数 ,当且仅当 时取等号, 所以函数 的最小值为7. 9.答案: 解析:由 ,得 ,设 ,则存在 ,使得 成立,即 成立,所以 成立,所以 .令 ,则 ,所以 时, , 单调递增,所以 ,所以实数a的取值范围是 . 10.答案:(1) , 所以 ,所以函数 . (2)由(1)知 , , 令 ,解得 或 , 因为函数 的定义域为 , 所以当 时, , 单调递减, 当 时, , 单调递增. 又 ,不符合要求, , , 所以 ,故 . (2)当 时, , , , 两式相减,可得 , 所以 . 因为 ,所以 , 因为 ,所以 .设 , 则 , 所以 在 上单调递增,且 , 所以当 时, , 因为 , ,所以 .