当前位置:首页>文档>专题08数列求和(奇偶项讨论求和)(典型题型归类训练)(解析版)_02高考数学_2025年新高考资料_二轮复习_解题思路训练2025年高考数学复习解答题提优秘籍(新高考专用)

专题08数列求和(奇偶项讨论求和)(典型题型归类训练)(解析版)_02高考数学_2025年新高考资料_二轮复习_解题思路训练2025年高考数学复习解答题提优秘籍(新高考专用)

  • 2026-04-09 23:24:40 2026-04-09 23:24:40

文档预览

专题08数列求和(奇偶项讨论求和)(典型题型归类训练)(解析版)_02高考数学_2025年新高考资料_二轮复习_解题思路训练2025年高考数学复习解答题提优秘籍(新高考专用)
专题08数列求和(奇偶项讨论求和)(典型题型归类训练)(解析版)_02高考数学_2025年新高考资料_二轮复习_解题思路训练2025年高考数学复习解答题提优秘籍(新高考专用)
专题08数列求和(奇偶项讨论求和)(典型题型归类训练)(解析版)_02高考数学_2025年新高考资料_二轮复习_解题思路训练2025年高考数学复习解答题提优秘籍(新高考专用)
专题08数列求和(奇偶项讨论求和)(典型题型归类训练)(解析版)_02高考数学_2025年新高考资料_二轮复习_解题思路训练2025年高考数学复习解答题提优秘籍(新高考专用)
专题08数列求和(奇偶项讨论求和)(典型题型归类训练)(解析版)_02高考数学_2025年新高考资料_二轮复习_解题思路训练2025年高考数学复习解答题提优秘籍(新高考专用)
专题08数列求和(奇偶项讨论求和)(典型题型归类训练)(解析版)_02高考数学_2025年新高考资料_二轮复习_解题思路训练2025年高考数学复习解答题提优秘籍(新高考专用)
专题08数列求和(奇偶项讨论求和)(典型题型归类训练)(解析版)_02高考数学_2025年新高考资料_二轮复习_解题思路训练2025年高考数学复习解答题提优秘籍(新高考专用)
专题08数列求和(奇偶项讨论求和)(典型题型归类训练)(解析版)_02高考数学_2025年新高考资料_二轮复习_解题思路训练2025年高考数学复习解答题提优秘籍(新高考专用)
专题08数列求和(奇偶项讨论求和)(典型题型归类训练)(解析版)_02高考数学_2025年新高考资料_二轮复习_解题思路训练2025年高考数学复习解答题提优秘籍(新高考专用)
专题08数列求和(奇偶项讨论求和)(典型题型归类训练)(解析版)_02高考数学_2025年新高考资料_二轮复习_解题思路训练2025年高考数学复习解答题提优秘籍(新高考专用)
专题08数列求和(奇偶项讨论求和)(典型题型归类训练)(解析版)_02高考数学_2025年新高考资料_二轮复习_解题思路训练2025年高考数学复习解答题提优秘籍(新高考专用)
专题08数列求和(奇偶项讨论求和)(典型题型归类训练)(解析版)_02高考数学_2025年新高考资料_二轮复习_解题思路训练2025年高考数学复习解答题提优秘籍(新高考专用)
专题08数列求和(奇偶项讨论求和)(典型题型归类训练)(解析版)_02高考数学_2025年新高考资料_二轮复习_解题思路训练2025年高考数学复习解答题提优秘籍(新高考专用)
专题08数列求和(奇偶项讨论求和)(典型题型归类训练)(解析版)_02高考数学_2025年新高考资料_二轮复习_解题思路训练2025年高考数学复习解答题提优秘籍(新高考专用)
专题08数列求和(奇偶项讨论求和)(典型题型归类训练)(解析版)_02高考数学_2025年新高考资料_二轮复习_解题思路训练2025年高考数学复习解答题提优秘籍(新高考专用)
专题08数列求和(奇偶项讨论求和)(典型题型归类训练)(解析版)_02高考数学_2025年新高考资料_二轮复习_解题思路训练2025年高考数学复习解答题提优秘籍(新高考专用)
专题08数列求和(奇偶项讨论求和)(典型题型归类训练)(解析版)_02高考数学_2025年新高考资料_二轮复习_解题思路训练2025年高考数学复习解答题提优秘籍(新高考专用)
专题08数列求和(奇偶项讨论求和)(典型题型归类训练)(解析版)_02高考数学_2025年新高考资料_二轮复习_解题思路训练2025年高考数学复习解答题提优秘籍(新高考专用)
专题08数列求和(奇偶项讨论求和)(典型题型归类训练)(解析版)_02高考数学_2025年新高考资料_二轮复习_解题思路训练2025年高考数学复习解答题提优秘籍(新高考专用)
专题08数列求和(奇偶项讨论求和)(典型题型归类训练)(解析版)_02高考数学_2025年新高考资料_二轮复习_解题思路训练2025年高考数学复习解答题提优秘籍(新高考专用)
专题08数列求和(奇偶项讨论求和)(典型题型归类训练)(解析版)_02高考数学_2025年新高考资料_二轮复习_解题思路训练2025年高考数学复习解答题提优秘籍(新高考专用)
专题08数列求和(奇偶项讨论求和)(典型题型归类训练)(解析版)_02高考数学_2025年新高考资料_二轮复习_解题思路训练2025年高考数学复习解答题提优秘籍(新高考专用)
专题08数列求和(奇偶项讨论求和)(典型题型归类训练)(解析版)_02高考数学_2025年新高考资料_二轮复习_解题思路训练2025年高考数学复习解答题提优秘籍(新高考专用)
专题08数列求和(奇偶项讨论求和)(典型题型归类训练)(解析版)_02高考数学_2025年新高考资料_二轮复习_解题思路训练2025年高考数学复习解答题提优秘籍(新高考专用)
专题08数列求和(奇偶项讨论求和)(典型题型归类训练)(解析版)_02高考数学_2025年新高考资料_二轮复习_解题思路训练2025年高考数学复习解答题提优秘籍(新高考专用)
专题08数列求和(奇偶项讨论求和)(典型题型归类训练)(解析版)_02高考数学_2025年新高考资料_二轮复习_解题思路训练2025年高考数学复习解答题提优秘籍(新高考专用)
专题08数列求和(奇偶项讨论求和)(典型题型归类训练)(解析版)_02高考数学_2025年新高考资料_二轮复习_解题思路训练2025年高考数学复习解答题提优秘籍(新高考专用)
专题08数列求和(奇偶项讨论求和)(典型题型归类训练)(解析版)_02高考数学_2025年新高考资料_二轮复习_解题思路训练2025年高考数学复习解答题提优秘籍(新高考专用)
专题08数列求和(奇偶项讨论求和)(典型题型归类训练)(解析版)_02高考数学_2025年新高考资料_二轮复习_解题思路训练2025年高考数学复习解答题提优秘籍(新高考专用)
专题08数列求和(奇偶项讨论求和)(典型题型归类训练)(解析版)_02高考数学_2025年新高考资料_二轮复习_解题思路训练2025年高考数学复习解答题提优秘籍(新高考专用)
专题08数列求和(奇偶项讨论求和)(典型题型归类训练)(解析版)_02高考数学_2025年新高考资料_二轮复习_解题思路训练2025年高考数学复习解答题提优秘籍(新高考专用)
专题08数列求和(奇偶项讨论求和)(典型题型归类训练)(解析版)_02高考数学_2025年新高考资料_二轮复习_解题思路训练2025年高考数学复习解答题提优秘籍(新高考专用)
专题08数列求和(奇偶项讨论求和)(典型题型归类训练)(解析版)_02高考数学_2025年新高考资料_二轮复习_解题思路训练2025年高考数学复习解答题提优秘籍(新高考专用)
专题08数列求和(奇偶项讨论求和)(典型题型归类训练)(解析版)_02高考数学_2025年新高考资料_二轮复习_解题思路训练2025年高考数学复习解答题提优秘籍(新高考专用)
专题08数列求和(奇偶项讨论求和)(典型题型归类训练)(解析版)_02高考数学_2025年新高考资料_二轮复习_解题思路训练2025年高考数学复习解答题提优秘籍(新高考专用)
专题08数列求和(奇偶项讨论求和)(典型题型归类训练)(解析版)_02高考数学_2025年新高考资料_二轮复习_解题思路训练2025年高考数学复习解答题提优秘籍(新高考专用)
专题08数列求和(奇偶项讨论求和)(典型题型归类训练)(解析版)_02高考数学_2025年新高考资料_二轮复习_解题思路训练2025年高考数学复习解答题提优秘籍(新高考专用)
专题08数列求和(奇偶项讨论求和)(典型题型归类训练)(解析版)_02高考数学_2025年新高考资料_二轮复习_解题思路训练2025年高考数学复习解答题提优秘籍(新高考专用)

文档信息

文档格式
docx
文档大小
1.616 MB
文档页数
34 页
上传时间
2026-04-09 23:24:40

文档内容

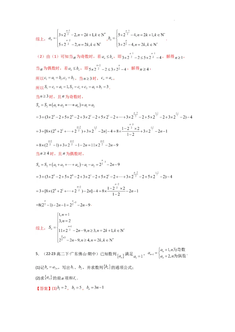
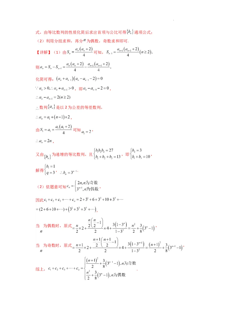
专题 08 数列求和(奇偶项讨论求和) (典型题型归类训练) 目录 一、必备秘籍..............................................1 二、典型题型..............................................2 题型一:求 的前 项和 ...................2 题型二:求 的前 项和 ....................7 题型三:通项含有 的类型;例如: ...........13 题型四:已知条件明确的奇偶项或含有三角函数问题........17 三、专题08 数列求和(奇偶项讨论求和)专项训练...........21 一、必备秘籍 有关数列奇偶项的问题是高考中经常涉及的问题,解决此类问题的难点在于搞清数列 奇数项和偶数项的首项、项数、公差(比)等.本专题主要研究与数列奇偶项有关的问题, 并在解决问题中让学生感悟分类讨论等思想在解题中的有效运用.因此,在数列综合问题中 有许多可通过构造函数来解决. 类型一: 通项公式分奇、偶项有不同表达式;例如: 角度1:求 的前 项和 角度2:求 的前 项和 类型二: 学科网(北京)股份有限公司通项含有 的类型;例如: 类型三: 已知条件明确的奇偶项或含有三角函数问题 二、典型题型 题型一:求 的前 项和 1.(23-24高三上·江西·期末)已知等比数列 的首项 ,公比为 , 的 项和 为 且 , , 成等差数列. (1)求 的通项 : (2)若 , ,求 的前 项和 . 【答案】(1) (2) 【分析】(1)根据题意,先验证 不符合要求,然后再由 列出方程,即可 求得 ,从而得到通项公式; (2)根据题意,可得 ,其奇数次项依次构成一个首项为1,公比为4的等比数列,而 偶数次项依次构成一个首项为 ,公差为 的等差数列,然后结合数列求和的公式,代 入计算即可得到结果. 【详解】(1)由题意,若 , 由首项 ,可知 , , 此时 ,不符合题意,故 , 则由 , 可得 化简整理,得 , 解得 (舍去),或 , , . 学科网(北京)股份有限公司(2)由(1),可得 , 故数列 的奇数项是以1为首项,4为公比的等比数列,偶数项是以 为首项, 为公 差的等差数列, . 2.(2024·湖南·模拟预测)已知等差数列 的前 项和为 ,且 .等比数列 是正项递增数列,且 . (1)求数列 的通项 和数列 的通项 ; (2)若 ,求数列 的前 项和. 【答案】(1) , (2) (或 ) 【分析】(1)根据题意分别求出数列 的首项和公差,以及数列 的首项和公比,进 而可得出答案; (2)利用并项求和法求解即可. 【详解】(1)由题意,设等差数列 的首项为 ,公差为 ,又 , 所以 解得 , 故 , 因为数列 为各项为正的递增数列,设公比为 ,且 , 因为 ,所以 ,得 , 又 ,所以 ,即 ,又 , 解得 ,从而 , 所以 ; (2)由(1)得 , 学科网(北京)股份有限公司所以 , 所以数列 的前 项和为 (或 ). 3.(2024·江西上饶·一模)设 为正项数列 的前 项和,若 , , 成等差数 列. (1)求数列 的通项公式; (2)设 ,求数列 的前2024项和 . 【答案】(1) ( ) (2) 【分析】(1)利用 ,得 ,两式作差,整理得 是等差数 列即可求解; (2)利用裂项相消和分组求和求解. 【详解】(1)由已知得: , 当 时, , . 当 时, 得 . , 数列 是以2为首项2为公差的等差数列 ( ) (2)由已知得: . 学科网(北京)股份有限公司. 4 . ( 23-24 高 三 上 · 河 北 · 期 末 ) 在 数 列 中 , , 且 . (1)求 的通项公式; (2)若 ,数列的前 项和为 ,求 【答案】(1) (2) 【分析】 (1)当 时, ,当 时,得到 ,从而得到 从第2项起成等比数 列,即可得到答案. (2)根据(1)得到 ,当 为大于1的奇数时, ,当 为偶数时, .再利用分组求和、错位相减求和即可得到答案. 【详解】(1) 当 时, ,则 . 当 时,由 , 得 , 则 ,则 . 因为 ,所以 从第2项起成等比数列, 学科网(北京)股份有限公司. (2) ,当 为大于1的奇数时, , 当 为偶数时, . . , 则 , 则 , , 则 , 则 . 5.(23-24高二上·浙江杭州·期末)已知正项数列 的前 项和为 ,且满足 . (1)求数列 的通项公式; (2)若 , 的前 项和为 ,求 . 【答案】(1) (2) 【分析】(1)根据 与 的关系化简求解即可; (2)采用分组求和的方式计算即可. 【详解】(1) ① ② ①-②整理得 数列 是正项数列, 学科网(北京)股份有限公司当 时, 数列 是以2为首项,4为公差的等差数列, ; (2)由题意知, , 故 . 题型二:求 的前 项和 1.(23-24高二上·江苏常州·期末)在数列 中, ,且对任意的 ,都有 . (1)证明: 是等比数列,并求出 的通项公式; (2)若 ,求数列 的前 项和 . 【答案】(1)证明见解析, (2) 【分析】(1)根据题意可得 ,可知 等比数列,结 合等比数列通项公式可得 ,可知 是等差数列,结合等差数列通项 公式运算求解; (2)由(1)可得 ,分类讨论 的奇偶性,利用分组求和法结合等差、 学科网(北京)股份有限公司等比数列的求和公式运算求解. 【详解】(1)因为 ,所以 , 又因为 ,则 , 且 ,可知 ,可得 , 则 是以 为首项, 为公比的等比数列, 所以 ,整理得 , 且 ,可知 是以2为首项,2为公差的等差数列, 所以 ,即 . (2)由(1)可知 , 可知 的奇数项为以 为首项,4为公比的等比数列;偶数项是以 , 为公差的 等差数列. 当 为偶数, ; 当 为奇数, ; 综上所述: . 2.(2023·全国·高考真题)已知 为等差数列, ,记 , 分别为 数列 , 的前n项和, , . (1)求 的通项公式; (2)证明:当 时, . 学科网(北京)股份有限公司【答案】(1) ; (2)证明见解析. 【分析】(1)设等差数列 的公差为 ,用 表示 及 ,即可求解作答. (2)方法1,利用(1)的结论求出 , ,再分奇偶结合分组求和法求出 ,并与 作 差比较作答;方法2,利用(1)的结论求出 , ,再分奇偶借助等差数列前n项和公式 求出 ,并与 作差比较作答. 【详解】(1)设等差数列 的公差为 ,而 , 则 , 于是 ,解得 , , 所以数列 的通项公式是 . (2)方法1:由(1)知, , , 当 为偶数时, , , 当 时, ,因此 , 当 为奇数时, , 当 时, ,因此 , 所以当 时, . 方法2:由(1)知, , , 当 为偶数时, , 当 时, ,因此 , 当 为奇数时,若 ,则 学科网(北京)股份有限公司,显然 满足上式,因此当 为奇数时, , 当 时, ,因此 , 所以当 时, . 3.(2023·湖南岳阳·三模)已知等比数列 的前n项和为 ,其公比 , ,且 . (1)求数列 的通项公式; (2)已知 ,求数列 的前n项和 . 【答案】(1) (2) 【分析】(1)由已知条件求出公比 , ,直接写出等比数列的通项公式即可; (2)由(1)得 ,分组求和即可,注意分类讨论的思想. 【详解】(1)因为 是等比数列,公比为 ,则 , 所以 ,解得 , 由 ,可得 ,解得 , 所以数列 的通项公式为 . (2)由(1)得 , 当n为偶数时, 学科网(北京)股份有限公司; 当n为奇数时 ; 综上所述: . 4.(2023·浙江绍兴·模拟预测)已知数列 满足 . (1)求 的通项公式; (2)设数列 满足 求 的前 项和 . 【答案】(1) , ; (2) . 【分析】(1)先求出 再对 分奇偶两种情况讨论得解; (2)先求出 时, 的前 项和 ;再讨论当 时,且 为奇数时,当 时,且 为偶数时, 的前 项和 ,即得解. 【详解】(1)根据题意可知 , 所以 当 为奇数时, ,即 , 所以当 为偶数时, ; 当 为偶数时, ,即 , 所以当 为奇数时, . 学科网(北京)股份有限公司综上, , . (2)由(1)可知当 为奇数时,若 ,即 ,解得 , 当 为偶数时,若 ,即 ,解得 , 所以 ,当 时, , 所以 . 当 时,且 为奇数时, 当 时,且 为偶数时, . 综上, 5.(22-23高二下·广东佛山·期中)已知数列 满足 , . (1)记 ,写出 、 ,并求数列 的通项公式; (2)求 的前 项和 . 【答案】(1) , , 学科网(北京)股份有限公司(2) 【分析】(1)利用数列 的递推公式以及 可写出 、 的值,推导出数列 为等差数列,确定该数列的首项和公差,即可求得数列 的通项公式; (2)对 分偶数和奇数两种情况讨论,在 为偶数时,设 ,计算出 的表达式,结合等差数列的求和公式可求得 的表达式;在 为奇数 时,设 ,由 可求得 的表达式.综合可得出 的表达式. 【详解】(1)解:因为数列 满足 , , 所以, , , ,即 , 所以,数列 是公差为 ,首项为 的等差数列, 因此, . (2)当 为偶数时,设 ,则 , , 所以, , 此时, ; 当 为奇数时,设 ,则 , 则 . 综上所述, . 学科网(北京)股份有限公司题型三:通项含有 的类型;例如: 1.(23-24高二上·湖南益阳·期末)已知公差为3的等差数列 的前 项和为 ,且 . (1)求 : (2)若 ,记 ,求 的值. 【答案】(1) (2)30 【分析】(1)直接根据等差数列及其前 项和的基本量的计算得首项,由此即可得解. (2)由题意得 ,由分组求和法即可得解. 【详解】(1)因为公差为3的等差数列 的前 项和为 ,且 , 所以 ,解得 , 所以 . (2)由题意 , 所以 . 2.(23-24高三上·山西晋城·期末)已知数列 是各项为正数的数列,前n项和记为 , ,( ), (1)求数列 的通项公式; (2)设 , ,求数列 的前n项和 . 【答案】(1) (2) 【分析】(1)利用 与 的关系,以 取代 构造等式,两式作差得递推关系,再变 形可证明数列 是等差数列,进而求出通项; (2)分奇偶讨论,利用并项求和法求解前n项和. 【详解】(1)由题意得 ①,且 , 学科网(北京)股份有限公司当 时, , 解得 或 (舍去), 当 时, ②· ∴① ②得 , ∴ , ∵ ,∴ , ∴数列 是首项为 ,公差为 的等差数列, ∴ . 所以数列 的通项公式为 ; (2)由(1)得 , 则当 ,且 时, , n为偶数时, , n为奇数时,则 为偶数,由上式可知, , 所以 . 所以, . 3.(23-24高二上·河南·阶段练习)已知数列 , 满足 , , . (1)证明: 为等差数列. (2)设数列 的前 项和为 ,求 . 【答案】(1)证明见解析 学科网(北京)股份有限公司(2) 【分析】(1)根据已知代入化简得出 ,即可证明; (2)根据(1)得出数列 的通项,当 为偶数时,利用并项求和法得出 ,当 为奇数时, 为偶数,由 得出 ,即可综合得出答案. 【详解】(1)由题意得 , , 则 , 所以 是首项 ,公差为1的等差数列. (2)由(1)得 ,则 , 当 为偶数时, . 当 为奇数时, 为偶数, 则 . 综上, . 4.(2024·贵州安顺·模拟预测)在等比数列 中,已知 , . (1)求数列 的通项公式; (2)设 ,求数列 的前 项和 . 【答案】(1) (2) 【分析】(1)利用等比数列的通项公式得到关于 的方程组,解之即可; (2)先由(1)得 ,再分类讨论 为奇数与 为偶数两种情况,利用并项求和 法即可得解. 学科网(北京)股份有限公司【详解】(1)因为在等比数列 中, ,设其公比为 , 所以 ,解得 , 所以数列 的通项公式 . (2)由(1)得 , 所以数列 的前 项和 , 当 为奇数时, ; 当 为偶数时, ; 所以 . 5.(2024·山东·模拟预测)已知 是各项均为正数的数列, 为 的前n项和,且 , , 成等差数列. (1)求 的通项公式; (2)已知 ,求数列 的前n项和 . 【答案】(1) (2) 【分析】(1)由 , , 成等差数列,得 , 时得 ; 时求得 ,可知 是首项为2,公差为1的等差数列,利用等差数列 的通项公式可求得 ,进而求得 ; (2)由(1)知 ,分 是奇数、偶数可得 . 【详解】(1)由 , , 成等差数列,得 ,① 当 时, , ∴ ,得 ( 舍去), 学科网(北京)股份有限公司当 时, ,② ①-②得, , ∴ , 又 ,∴ , ∴ 是首项为2,公差为1的等差数列, ∴ , 故 ; (2)由(1)知 , 当 是奇数时, , 当 是偶数时, , 综上 . 题型四:已知条件明确的奇偶项或含有三角函数问题 1.(23-24高三上·山东济宁·期末)已知数列 为公差大于0的等差数列,其前 项和为 , , . (1)求数列 的通项公式; (2)设 ,求数列 的前100项和 . 【答案】(1) 学科网(北京)股份有限公司(2) 【分析】(1)设等差数列 的公差为 ,根据题意,列出方程求得 的值,即可求 解; (2)由(1)得 ,分别求得 , , 和 时, 的取值,结合等比数列的求和公式,即可求解. 【详解】(1)解:设等差数列 的公差为 , 因为 , ,可得 ,解得 或 (舍去), 所以 , 即数列 的通项公式为 . (2)解:由(1)得 , 当 , 时, ,所以 ; 当 , 时, ,所以 ; 当 , 时, ,所以 ; 当 , 时, ,所以 ; 所以 . 2.(2024·吉林长春·一模)已知各项均为正数的数列 满足: , . (1)求数列 的通项公式; (2)若 ,记数列 的前 项和为 ,求 . 【答案】(1) (2) 【分析】(1)根据 ,两边同除 从而得到 ,则得到其通项; 学科网(北京)股份有限公司(2)根据正弦型函数的周期性,再进行分组求和,最后利用等比数列前 项和公式即可. 【详解】(1)因为 各项为正数, , 所以上式两边同时除以 ,得 , 令 ,则 ,即 ,解得 (负值舍去), 所以 ,又 , 所以 是以 , 的等比数列, 故 . (2) , 当 时, ,当 时, ,当 时, , 当 时, ,根据三角函数周期性知 的周期为4, 则 3.(2023·江苏苏州·三模)已知数列 是公差不为0的等差数列, ,且 成 等比数列. (1)求数列 的通项公式; (2)设 ,求数列 的前2023项和. 【答案】(1) (2)1012 【分析】(1)根据等差数列的通项公式以及给定的条件求出公差d和 ; (2)根据数列 的周期性求解. 【详解】(1)设等差数列 的公差为 ,由题意可知, 学科网(北京)股份有限公司即 解得 ,所以 ; (2)由(1)可知, , 对于任意 ,有 , 所以 , 故数列 的前2023项和为 . 4.(23-24高三上·湖南长沙·阶段练习)设数列 满足 ,且 . (1)求证:数列 为等差数列,并求 的通项公式; (2)设 ,求数列 的前 项和 . 【答案】(1)证明见解析, ; (2) . 【分析】(1)根据递推式 ,变形为 ,由等差 数列定义可证明结论;利用累加法求得 ; (2)根据 ,讨论n的奇偶性,分类求解,利用并项求和法,可得答案. 【详解】(1)由已知得 , 即 , 是以 4 为首项, 2 为公差的等差数列. , 当 时, , 当 时, 也满足上式,所以 ; (2) , 当 为偶数时, 学科网(北京)股份有限公司当 为奇数时, , 所以 . 三、专题08 数列求和(奇偶项讨论求和)专项训练 1.(23-24高二上·湖南长沙·期末)已知数列 的前n项和为 , ,等比数列 的公比为3, . (1)求数列 , 的通项公式; (2)令 求数列 的前7项和 . 【答案】(1) ; (2) 【分析】(1)首先求 ,即可求数列 的通项公式,再利用公式 ,即可求数列 的通项公式,利用数列 , ,即可求数列 的项公 式; (2)根据(1)的结果,即可求 . 【详解】(1)当 时, ,即 ,由 , 得 ,又等比数列 的公比为3, 所以 ; 由 ,①,当 时, ②, 学科网(北京)股份有限公司① ②, ,因为 , 所以 ,即 , 即数列 是常数列,即 , 得 , 当 时, , 当 时, 成立, 所以 ; (2) , , , 2.(2024高三·全国·专题练习)已知数列 的前 项和 , , . (1)求数列 的通项公式; (2)求数列 的前 项和 . 【答案】(1) (2) 【分析】(1)利用 求解即可; (2)利用分组求和即可. 【详解】(1)当 时, , 当 时, , 也满足 , 故数列 的通项公式为 . (2)由(1)可知 , 学科网(北京)股份有限公司当 为偶数时, ; 当 为奇数时, , 所以 . 3.(23-24高三上·江苏苏州·期末)已知等差数列 的公差为 ,且 ,设 为 的前项和,数列 满足 . (1)若 ,且 ,求 ; (2)若数列 也是公差为 的等差数列,求数列 的前 项和 . 【答案】(1) ; (2) . 【分析】(1)根据给定条件,依次求出 ,列出不等式求解即得. (2)设 ,由已知求出 ,借助恒成立求出 ,再按奇偶分类并结合分组求 和法求解即得. 【详解】(1)依题意, , , 则 ,由 ,得 ,解得 ,而 , 所以 . (2)由 是公差为 的等差数列,设 , 又 , 于是 对任意 恒成立, 即 对任意 恒成立, 学科网(北京)股份有限公司则 ,又 ,解得 ,从而 , , 当 为偶数时, ; 当 为奇数时, , 所以 . 4.(2023·广东·二模)在等差数列 中, . (1)求 的通项公式; (2)求数列 的前 项和 . 【答案】(1) (2) 【分析】(1)根据等差数列基本量的计算即可求解, (2)根据等差数列以及等比求和公式,结合分组求和即可求解,或者分奇偶,又等差求和 公式以及并项求和求解. 【详解】(1)设 的公差为 ,则 解得 所以 . (2)(方法一) . (方法二)当 为偶数时, 学科网(北京)股份有限公司当 为奇数时, . 综上, 5.(23-24高三上·福建莆田·阶段练习)已知数列 的前 项和为 ,满足 . (1)求数列 的通项公式; (2)记 ,求数列 的前100项的和 . 【答案】(1) , (2) 【分析】(1)根据 与 之间的关系,结合等比数列的定义进行求解即可; (2)根据特殊角余弦值的特点,结合等比数列的前 项和公式进行求解即可. 【详解】(1)当 时, ,整理得 ,又 ,得 则数列 是以-2为首项,-2为公比的等比数列. 则 (2)当 时, 当 时, , 当 时, , 当 时, , 则 学科网(北京)股份有限公司6.(2024·浙江·二模)如图,已知 的面积为1,点D,E,F分别为线段 , , 的中点,记 的面积为 ;点G,H,I分别为线段 , , 的中点,记 的面积为 ;…;以此类推,第n次取中点后,得到的三角形面积记为 . (1)求 , ,并求数列 的通项公式; (2)若 ,求数列 的前n项和 . 【答案】(1) (2) 【分析】(1)根据相邻两个三角形的面积关系可得 ,即可求解通项, (2)先利用并项求和法求得 为偶数的情况的和,再利用所得结论求得奇数的情况的和, 然后写成分段形式. 【详解】(1)由题意可知 , ,..., 由此可知 ,故 是以公比为 的等比数列,所以 . (2)由 得 , , 当 为偶数时, , 当 为奇数时, , 学科网(北京)股份有限公司故 . 7.(23-24高三上·辽宁·期末)在等比数列 中 (1)求 的通项公式; (2)设 ,求 的前n项和 . 【答案】(1) ; (2) . 【分析】(1)根据等比数列的通项公式列式运算求解; (2)根据题意可得: ,利用并项求和运算求解. 【详解】(1)由题意可得: , ∵ ,则 ,解得 或 (舍去), ∴ 的通项公式 ; (2)由(1)可得: , 若 为奇数,可得 ,则有: 当 为奇数时,则 ; 当 为偶数时,则 ; 综上所述: . 8.(23-24高三上·江苏苏州·期中)已知 为数列 的前 项和, , . (1)求 的通项公式; (2)若 , ,求数列 的前 项和 . 【答案】(1) 学科网(北京)股份有限公司(2) 【分析】(1)法一:根据 得到 ,从而得到 ,可得 的奇数项和偶数项分别为等差数列,求出奇数项和偶数项的 通项公式,得到答案; 法二:变形得到 ,结合 ,得到 ,利 用 求出答案; (2)变形得到 ,当 为奇数时, ,当 为偶数时, ,分 为奇数和偶数两种情况,求和,得到答案. 【详解】(1)法一: 当 时, ,即 ,由 ,得 , 由 ,得 , 两式相减得: .又 ,满足上式. 所以当 时, , 又当 时, , 两式相减得: , 所以数列 的奇数项是以 为首项,4为公差的等差数列, 所以 (n为奇数), 数列 的偶数项是以 为首项,4为公差的等差数列, 所以 (n为偶数), 所以 ,即 的通项公式是 . 法二:因为 , 所以 , 同理可得 , 故 , 因为 ,所以 ,即 , 当 时, , 学科网(北京)股份有限公司当 时, 适合上式,所以 的通项公式是 . (2)因为 , 故当 时, ①, 当 时, ②, ①、②两式相减得: , 因为 , ,所以 , 因为 ,所以当 为奇数时, , 当 为偶数时, , 所以 , 所以 ; 当n为偶数时, , 当n为奇数时, , 综上, . 9.(2024高三·全国·专题练习)设 是首项为1,公差不为0的等差数列,且 , , 成等比数列. (1)求 的通项公式; (2)令 ,求数列 的前 项和 . 【答案】(1) (2) 【分析】(1)设数列 的公差为 ,结合等比数列定义等差数列通项公式,列方程求 ,由此可得 的通项公式; 学科网(北京)股份有限公司(2)证明 ,讨论 的奇偶,利用分组求和法求 . 【详解】(1)设数列 的公差为 ,则 , 又 ,所以 因为 , , 成等比数列, 所以 , 化简得 ,又 , 所以 , 所以 ; (2)由(1)可得: , 则 , 则当 为偶数时, , 当 为奇数时, , 即 . 10.(2024·广东汕头·模拟预测)已知数列 的前n项和为 , ,且 . (1)求 的通项公式; (2)已知 ,求数列 的前n项和 . 【答案】(1) (2) 【分析】 (1)根据前n项和与通项之间的关系分析可得 ,结合等比数列求其通项公式; (2)结合(1)求 ,分奇偶项,利用分组求和的方法求和即可. 【详解】(1) ∵ ,则有: 学科网(北京)股份有限公司当 时, ,解得 ; 当 时,则 , 两式相减得 ,即 ; 注意到 ,故 , ∴ 是首项为3,公比为3的等比数列, 故 . (2) 由(1)得 , 当n为偶数时, ; 当n为奇数时 ; 综上所述: . 11.(23-24高二下·山东德州·阶段练习)已知正项数列 的前n项和 ,且 ,数列 为单调递增的等比数列, . (1)求数列 的通项公式; (2)设 ,求 . 【答案】(1) , (2) 【分析】(1)根据 与 的关系化简递推关系式可得 为等差数列,据此可得通项公 学科网(北京)股份有限公司式,由等比数列的性质化简后求出首项与公比可得 通项公式; (2)利用分组求和,再分 为偶数,奇数求和即可. 【详解】(1)由 可知, 则 化简可得: ,即 , 数列 是以2为公差的等差数列, , 由 可知 , , 又由 为递增的等比数列,且 ,即 , 解得 , . (2)依题意可知 , 因此 , 当 为偶数时,原式 , 当 为奇数时,原式 , 综上, . 学科网(北京)股份有限公司学科网(北京)股份有限公司