当前位置:首页>文档>专题1.4线段的垂直平分线(解析版)_北师大初中数学_8下-北师大版初中数学_旧版-可参考_06专项讲练_八年级数学下册单元题型精练(基础题型+强化题型)(北师大版)

专题1.4线段的垂直平分线(解析版)_北师大初中数学_8下-北师大版初中数学_旧版-可参考_06专项讲练_八年级数学下册单元题型精练(基础题型+强化题型)(北师大版)

  • 2026-04-13 00:59:38 2026-04-13 00:59:38

文档预览

专题1.4线段的垂直平分线(解析版)_北师大初中数学_8下-北师大版初中数学_旧版-可参考_06专项讲练_八年级数学下册单元题型精练(基础题型+强化题型)(北师大版)
专题1.4线段的垂直平分线(解析版)_北师大初中数学_8下-北师大版初中数学_旧版-可参考_06专项讲练_八年级数学下册单元题型精练(基础题型+强化题型)(北师大版)
专题1.4线段的垂直平分线(解析版)_北师大初中数学_8下-北师大版初中数学_旧版-可参考_06专项讲练_八年级数学下册单元题型精练(基础题型+强化题型)(北师大版)
专题1.4线段的垂直平分线(解析版)_北师大初中数学_8下-北师大版初中数学_旧版-可参考_06专项讲练_八年级数学下册单元题型精练(基础题型+强化题型)(北师大版)
专题1.4线段的垂直平分线(解析版)_北师大初中数学_8下-北师大版初中数学_旧版-可参考_06专项讲练_八年级数学下册单元题型精练(基础题型+强化题型)(北师大版)
专题1.4线段的垂直平分线(解析版)_北师大初中数学_8下-北师大版初中数学_旧版-可参考_06专项讲练_八年级数学下册单元题型精练(基础题型+强化题型)(北师大版)
专题1.4线段的垂直平分线(解析版)_北师大初中数学_8下-北师大版初中数学_旧版-可参考_06专项讲练_八年级数学下册单元题型精练(基础题型+强化题型)(北师大版)
专题1.4线段的垂直平分线(解析版)_北师大初中数学_8下-北师大版初中数学_旧版-可参考_06专项讲练_八年级数学下册单元题型精练(基础题型+强化题型)(北师大版)
专题1.4线段的垂直平分线(解析版)_北师大初中数学_8下-北师大版初中数学_旧版-可参考_06专项讲练_八年级数学下册单元题型精练(基础题型+强化题型)(北师大版)
专题1.4线段的垂直平分线(解析版)_北师大初中数学_8下-北师大版初中数学_旧版-可参考_06专项讲练_八年级数学下册单元题型精练(基础题型+强化题型)(北师大版)
专题1.4线段的垂直平分线(解析版)_北师大初中数学_8下-北师大版初中数学_旧版-可参考_06专项讲练_八年级数学下册单元题型精练(基础题型+强化题型)(北师大版)
专题1.4线段的垂直平分线(解析版)_北师大初中数学_8下-北师大版初中数学_旧版-可参考_06专项讲练_八年级数学下册单元题型精练(基础题型+强化题型)(北师大版)
专题1.4线段的垂直平分线(解析版)_北师大初中数学_8下-北师大版初中数学_旧版-可参考_06专项讲练_八年级数学下册单元题型精练(基础题型+强化题型)(北师大版)
专题1.4线段的垂直平分线(解析版)_北师大初中数学_8下-北师大版初中数学_旧版-可参考_06专项讲练_八年级数学下册单元题型精练(基础题型+强化题型)(北师大版)
专题1.4线段的垂直平分线(解析版)_北师大初中数学_8下-北师大版初中数学_旧版-可参考_06专项讲练_八年级数学下册单元题型精练(基础题型+强化题型)(北师大版)
专题1.4线段的垂直平分线(解析版)_北师大初中数学_8下-北师大版初中数学_旧版-可参考_06专项讲练_八年级数学下册单元题型精练(基础题型+强化题型)(北师大版)
专题1.4线段的垂直平分线(解析版)_北师大初中数学_8下-北师大版初中数学_旧版-可参考_06专项讲练_八年级数学下册单元题型精练(基础题型+强化题型)(北师大版)
专题1.4线段的垂直平分线(解析版)_北师大初中数学_8下-北师大版初中数学_旧版-可参考_06专项讲练_八年级数学下册单元题型精练(基础题型+强化题型)(北师大版)
专题1.4线段的垂直平分线(解析版)_北师大初中数学_8下-北师大版初中数学_旧版-可参考_06专项讲练_八年级数学下册单元题型精练(基础题型+强化题型)(北师大版)
专题1.4线段的垂直平分线(解析版)_北师大初中数学_8下-北师大版初中数学_旧版-可参考_06专项讲练_八年级数学下册单元题型精练(基础题型+强化题型)(北师大版)
专题1.4线段的垂直平分线(解析版)_北师大初中数学_8下-北师大版初中数学_旧版-可参考_06专项讲练_八年级数学下册单元题型精练(基础题型+强化题型)(北师大版)
专题1.4线段的垂直平分线(解析版)_北师大初中数学_8下-北师大版初中数学_旧版-可参考_06专项讲练_八年级数学下册单元题型精练(基础题型+强化题型)(北师大版)
专题1.4线段的垂直平分线(解析版)_北师大初中数学_8下-北师大版初中数学_旧版-可参考_06专项讲练_八年级数学下册单元题型精练(基础题型+强化题型)(北师大版)

文档信息

文档格式
docx
文档大小
1.640 MB
文档页数
19 页
上传时间
2026-04-13 00:59:38

文档内容

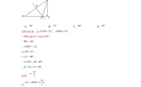
专题 1.4 线段的垂直平分线 求角度 【例1】如图,在 中, , 边的垂直平分线 交 于点 ,交 于点 ,连接 , 将 分成两个角,且 ,则 的度数 是 A. B. C. D. 【解答】解:设 , , 的垂直平分线是 , , , 即 , , , , 解得: , 即 , , 故选: .【变式训练1】如图,在 中, 、 分别是线段 、 的垂直平分线,若 ,则 的度数是 A. B. C. D. 【解答】解: , , 、 分别是线段 、 的垂直平分线, , , , , , , , 故选: . 【变式训练2】如图, 中, 平分 , 是 的中点,过点 作 的垂线 交 于点 ,连接 ,若 , ,则 的度数为A. B. C. D. 【解答】解: 是 的中点,过点 作 的垂线交 于点 , 垂直平分 , , , , , , , 平分 , , , 故选: . 求线段长度 【例2】如图, 中, 是 的垂直平分线,与 交于点 , , , 则 的长度为 A.6 B.7 C.8 D.9 【解答】解: 是 的垂直平分线, , , ,故选: . 【变式训练1】如图,在 中, ,垂足为 , 垂直平分 ,交 于点 ,交 于点 , ,若 的周长为 , ,则 的长为 . A.7 B.8 C.9 D.10 【解答】解: 的周长为 , , 垂直平分 , , , , , , , , , , , 故选: . 【变式训练2】如图所示,在 中, , 垂直平分 ,交 于点 ,垂 足为点 , , ,则 等于 A. B. C. D.【解答】解: 在 中, , , , 垂直平分 , , , , , , , , 故选: . 【变式训练3】如图,在 中, 的垂直平分线 交 于点 .若 , ,则 的长度 的取值范围为 . 【解答】解: 是线段 的垂直平分线, , 在 中, ,即 , 故答案为: . 与三角形周长有关 【例3】如图,直线 是 边 的垂直平分线,且与 相交于点 ,与 相交 于点 ,连接 ,已知 , ,则 的周长为 A. B. C. D.【解答】解: 直线 是 的垂直平分线, , , , 的周长 , 故选: . 【变式训练1】如图,在 中, 是 的垂直平分线, , 的周长为 ,则 的周长为 A. B. C. D. 【解答】解: 是 的垂直平分线, , , , 的周长为 , , 的周长 , 故选: . 【变式训练2】如图, , 的垂直平分线 交 于点 , , ,则 的周长是A. B. C. D. 【解答】解: 是 的垂直平分线, , 的周长 , 故选: . 【变式训练3】如图, 中, ,边 的垂直平分线和边 的垂直平分线相 交于点 ,且与边 分别相交于点 、 ,连接 、 ,则 的周长 A.14 B.10 C.18 D.不能确定 【解答】解: 是线段 的垂直平分线, , 同理: , 的周长 , 故选: . 如图,在 中, 和 的垂直平分线分别交 于点 , ,且点 在点 的左 侧, ,则 的周长是 A. B. C. D. 【解答】解: 和 的垂直平分线分别交 于点 , ,, , 的周长 , 故选: . 证明题 【例4】如图,在 中, , , , 是 的垂直平分线. (1)求 的周长; (2)求线段 的长. 【解答】解:(1) 是 的垂直平分线, , , , 的周长为: ; (2)在 中, , 即 , 解得: , 在 中, , 即 , 解得: , 是 的垂直平分线, , , 在 中, , 即 ,解得: . 【变式训练1】如图,在 中, , ,点 是 边的中点, 交 于点 ,连接 . (1)求 的度数; (2)求证: . 【解答】(1)解:设 的度数为 ,则 , , , 在 中, , , 解得: , , 答: 的度数是 ; (2)证明: 点 是 边的中点, , 又 , , 又 , . 【变式训练2】如图,直线 与 分别是 边 和 的垂直平分线, 与 分别交边 于点 和点 . (1)若 ,则 的周长是多少?为什么?(2)若 ,求 的度数. 【解答】解:(1) 的周长为10 直线 与 分别是 边 和 的垂直平分线, , , 的周长 ; (2) 直线 与 分别是 边 和 的垂直平分线, , , , , 又 , , , . 垂直平分线的判定 【例5】如图,在 中, 、 的垂直平分线 、 相交于点 . (1)求证:点 在 的垂直平分线上: (2)若 , ,则 . 【解答】(1)证明:连接 ,、 的垂直平分线 、 相交于点 , , , , 点 在 的垂直平分线上: (2)解:延长 交 于 , , 点在 的垂直平分线上, 点 在 的垂直平分线上, 垂直平分 , , , , , 在 中, , ,解得 , 故答案为: . 【变式训练1】如图,在 中, 的垂直平分线 交 于点 ,交 于点 , 的垂直平分线 交 于点 ,交 于点 , 与 相交于点 , 的周长为 10,请你解答下列问题: (1)求 的长; (2)试判断点 是否在边 的垂直平分线上,并说明理由. 【解答】解:(1) 垂直平分 , , 同理 , ; (2)点 在边 的垂直平分线上, 理由:连接 , , , 与 是 , 的垂直平分线, , , , 点 在边 的垂直平分线上.【变式训练2】如图,在 中,边 、 的垂直平分线分别交 于 、 . (1)若 ,求 的周长; (2)设直线 、 交于点 . ①试判断点 是否在 的垂直平分线上,并说明理由; ②若 ,求 的度数. 【解答】解:(1) 、 的垂直平分线分别交 于 、 , , , ; (2)①如图,点 在 的垂直平分线上, 理由:连接 , , , , 分别是 , 的垂直平分线, , , , 点 在 的垂直平分线上; ② , , , , , .【变式训练3】已知:如图,在 中, , 的垂直平分线 、 相交于点 .求 证:点 在 的垂直平分线上. 【解答】证明:连接 、 、 , 是 的垂直平分线, , 是 的垂直平分线, , , 点 在 的垂直平分线上. 实际应用 【例6】甲、乙、丙三地如图所示,若想建立一个货物中转仓,使其到甲、乙、丙三地的距 离相等,则中转仓的位置应选在A.三条角平分线的交点 B.三边垂直平分线的交点 C.三边中线的交点 D.三边上高的交点 【解答】解: 中转仓到甲、乙、丙三地的距离相等, 中转仓的位置应选在三角形三边垂直平分线的交点上, 故选: . 【变式训练1】到 的三个顶点距离相等的点是 A.三条中线的交点 B.三条角平分线的交点 C.三条高线的交点 D.三条边的垂直平分线的交点 【解答】解: 到三角形的一边的两端点距离相等的点在这边的垂直平分线上, 到三角形三个顶点的距离都相等的点是这个三角形的三条边的垂直平分线的交点, 故选: . 【变式训练2】如图,兔子的三个洞口 、 、 构成 ,猎狗想捕捉兔子,必须到 三个洞口的距离都相等,则猎狗应蹲守在 A.三个角的角平分线的交点 B.三条边的垂直平分线的交点 C.三角形三条高的交点 D.三角形三条中线的交点 【解答】解:猎狗到 三个顶点的距离相等,则猎狗应蹲守在 的三条边垂直平 分线的交点. 故选: . 【变式训练3】如图,有 、 、 三个居民小区,现决定在三个小区之间修建一个购物 超市,使超市到三个小区的距离相等,则超市应建在A. 、 两内角的平分线的交点处 B. 、 两边高线的交点处 C. 、 两边中线的交点处 D. 、 两边垂直平分线的交点处 【解答】解:根据线段垂直平分线上的点到线段两个端点的距离相等,超市应建在 、 两边垂直平分线的交点处, 故选: . 尺规作图 【例7】如图,在 中, , . (1)尺规作图:①作边 的垂直平分线交 于点 ; ②连接 ,作 的平分线交 于点 ;(要求:保留作图痕迹,不写作法) (2)在(1)所作的图中,求 的度数. 【解答】解:(1)如图,点 ,射线 即为所求. (2) 垂直平分线段 , , , , , , 平分 ,. 【变式训练1】党和政府十分关心四川灾后重建工作,准备为三个村庄 、 、 (其位 置如图所示)修建一口水井,要求水井到三个村庄的距离相等,水井应该修在什么地方呢 你能找到吗? (写出作法,并保留作图痕迹) 【解答】解:作法: (1)连接 , . (2)作 、 的垂直平分线,交于点 . 则点 就是水井的位置. 【变式训练2】作图题: (1)如图,一个三角形状的水池,现要在水池内安装一个喷水头,且喷水头到池边的距离 都要相等,请用尺规找出喷水池的位置点 . 【解答】解:(1)①以 为圆心,以任意长为半径画圆分别交 、 于 、 两点, 再分别以 、 为圆心,以大于 为半径画圆,两圆相交于 点,作射线 ,则 即为 的平分线; ②同理,以 为圆心,以任意长为半径画圆分别交 、 于 、 两点,再分别以 、为圆心,以大于 为半径画圆,两圆相交于 点,作射线 , 交射线 于 点 , 则 点即为所求点. 【变式训练3】如图,直线 表示一条公路, 、 表示两所大学.要在公路旁修建一个 车站 使到两所大学的距离相等,请在图上找出这点 . 【解答】解:如图所示,点 是 线段的垂直平分线与直线 的交点.