当前位置:首页>文档>易错11分式的四则运算易错(解析版)-八年级数学下册期末突破易错挑战满分(北师大版)_北师大初中数学_8下-北师大版初中数学_旧版-可参考_06专项讲练

易错11分式的四则运算易错(解析版)-八年级数学下册期末突破易错挑战满分(北师大版)_北师大初中数学_8下-北师大版初中数学_旧版-可参考_06专项讲练

  • 2026-04-14 09:06:36 2026-04-14 03:37:06

文档预览

易错11分式的四则运算易错(解析版)-八年级数学下册期末突破易错挑战满分(北师大版)_北师大初中数学_8下-北师大版初中数学_旧版-可参考_06专项讲练
易错11分式的四则运算易错(解析版)-八年级数学下册期末突破易错挑战满分(北师大版)_北师大初中数学_8下-北师大版初中数学_旧版-可参考_06专项讲练
易错11分式的四则运算易错(解析版)-八年级数学下册期末突破易错挑战满分(北师大版)_北师大初中数学_8下-北师大版初中数学_旧版-可参考_06专项讲练
易错11分式的四则运算易错(解析版)-八年级数学下册期末突破易错挑战满分(北师大版)_北师大初中数学_8下-北师大版初中数学_旧版-可参考_06专项讲练
易错11分式的四则运算易错(解析版)-八年级数学下册期末突破易错挑战满分(北师大版)_北师大初中数学_8下-北师大版初中数学_旧版-可参考_06专项讲练
易错11分式的四则运算易错(解析版)-八年级数学下册期末突破易错挑战满分(北师大版)_北师大初中数学_8下-北师大版初中数学_旧版-可参考_06专项讲练
易错11分式的四则运算易错(解析版)-八年级数学下册期末突破易错挑战满分(北师大版)_北师大初中数学_8下-北师大版初中数学_旧版-可参考_06专项讲练
易错11分式的四则运算易错(解析版)-八年级数学下册期末突破易错挑战满分(北师大版)_北师大初中数学_8下-北师大版初中数学_旧版-可参考_06专项讲练
易错11分式的四则运算易错(解析版)-八年级数学下册期末突破易错挑战满分(北师大版)_北师大初中数学_8下-北师大版初中数学_旧版-可参考_06专项讲练
易错11分式的四则运算易错(解析版)-八年级数学下册期末突破易错挑战满分(北师大版)_北师大初中数学_8下-北师大版初中数学_旧版-可参考_06专项讲练
易错11分式的四则运算易错(解析版)-八年级数学下册期末突破易错挑战满分(北师大版)_北师大初中数学_8下-北师大版初中数学_旧版-可参考_06专项讲练
易错11分式的四则运算易错(解析版)-八年级数学下册期末突破易错挑战满分(北师大版)_北师大初中数学_8下-北师大版初中数学_旧版-可参考_06专项讲练
易错11分式的四则运算易错(解析版)-八年级数学下册期末突破易错挑战满分(北师大版)_北师大初中数学_8下-北师大版初中数学_旧版-可参考_06专项讲练
易错11分式的四则运算易错(解析版)-八年级数学下册期末突破易错挑战满分(北师大版)_北师大初中数学_8下-北师大版初中数学_旧版-可参考_06专项讲练
易错11分式的四则运算易错(解析版)-八年级数学下册期末突破易错挑战满分(北师大版)_北师大初中数学_8下-北师大版初中数学_旧版-可参考_06专项讲练
易错11分式的四则运算易错(解析版)-八年级数学下册期末突破易错挑战满分(北师大版)_北师大初中数学_8下-北师大版初中数学_旧版-可参考_06专项讲练

文档信息

文档格式
docx
文档大小
0.183 MB
文档页数
12 页
上传时间
2026-04-14 03:37:06

文档内容

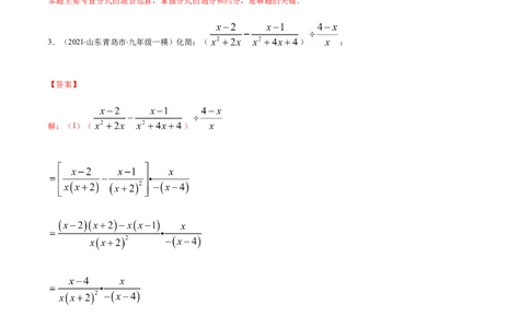
2020-2021 学年八年级数学下册期末突破易错挑战满分(北师大版) 易错11 分式的四则运算易错 【典型例题】 1.(2021·湖北荆州市·八年级期末)计算: (1) . (2) . 【答案】 (1)原式 ; (2) 【点睛】 本题考查的是分式的混合运算,熟知分式混合运算的法则是解答此题的关键. 【专题训练】 一、解答题 1.(2020·江苏苏州市·八年级期中)若 ,求 、 的值. 【答案】解:∵ , ∴x-5=(A+B)x+(-A+B), ∴ , 解得: . 【点睛】 本题考查分式的运算,解题的关键是熟练运用分式运算法则,本题属于基础题型. 2.(2020·江苏苏州市·八年级期中)计算: (1) ; (2) . 【答案】 (1)原式= = ·(x+1)- = = ;(2)原式= = . 【点睛】 本题主要考查分式的混合运算,掌握分式的通分和约分,是解题的关键. 3.(2021·山东青岛市·九年级一模)化简:( ) ; 【答案】 解:(1)( ) ; 【点睛】本题考查的是分式的化简,,掌握以上运算是解题的关键. 4.(2021·陕西宝鸡市·八年级期末)化简: . 【答案】 . 【点睛】 本题考查了分式的混合运算,整式的混合运算,熟练掌握运算法则是解本题的关键. 5.(2021·四川绵阳市·八年级期末)计算: . 【答案】 解:原式. 【点睛】 本题考查了分式的混合运算,熟知分式混合运算的法则是解答此题的关键. 6.(2021·湖北武汉市·八年级期末)分式的运算: (1) (2) 【答案】 解:(1) (2)【点睛】 本题考查的是分式的混合运算,掌握分式的混合运算的运算顺序与运算法则是解题的关键. 7.(2021·山东潍坊市·八年级期末)化简: 【答案】 解: , , , , ; 【点睛】 本题考查了分式的运算和分式化简,解题关键是熟练运用分式的运算法则和运算顺序解题.8.(2020·浙江杭州市·七年级期末)若 ,求 的值; 【答案】 解:设 , ∴x=3k,y=4k,z=5k, ∴ = = = ; 【点睛】 本题考查了分式的基本性质,分式的化简求值,解题的关键是掌握运算法则. 9.(2020·浙江杭州市·七年级期末)计算: 【答案】 解: = = == ; 【点睛】 本题考查了分式的混合运算,解题的关键是掌握各自的运算方法. 10.(2021·山东聊城市·八年级期末)化简下列分式 (1) ; (2) . 【答案】 解:(1) . (2) . 【点睛】 本题考查了分式的混合运算,解题的关键是掌握有关运算法则,以及注意分子、分母的因式分解,通分、约分.11.(2020·浙江杭州市·七年级期末)计算: 【答案】 解:原式 . 【点睛】 本题考查了分式的混合运算,解题的关键是掌握运算法则. 12.(2021·山东泰安市·九年级期末)计算: 【答案】 解:原式 ; 【点睛】 本题主要考查分式的混合运算以及分式的化简,掌握分式的通分和约分,是解题的关键.13.(2021·江苏九年级专题练习)计算: 【答案】 解: = = 【点睛】 本题考查分式的混合运算,掌握运算顺序和计算法则正确计算是解题关键. 14.(2021·山东威海市·八年级期末)计算: (1) ; (2) 【答案】 解:(1) , = , = ,= , = , = ; (2) = = , = , = 【点睛】 本题考查了分式的混合运算及分式的化简,正确运用分式的运算法则进行运算是解题的关键. 15.(2021·四川成都市·九年级期末)化简代数式 . 【答案】 解:【点睛】 本题考查的是分式的化简,掌握分式的加减乘除混合运算是解题的关键. 16.(2021·湖南邵阳市·八年级期末)计算: 【答案】 原式= = = . 【点睛】 本题考查二次根式的计算和分式的计算,解题的关键是掌握二次根式的运算法则和分式的运算法则.