当前位置:首页>文档>专题7.4数列求和2022年高考数学一轮复习讲练测(新教材新高考)(讲)原卷版_02高考数学_新高考复习资料_2022年新高考资料_2022年高考数学一轮复习讲练测(新教材新高考)8.21更新

专题7.4数列求和2022年高考数学一轮复习讲练测(新教材新高考)(讲)原卷版_02高考数学_新高考复习资料_2022年新高考资料_2022年高考数学一轮复习讲练测(新教材新高考)8.21更新

  • 2026-04-14 09:32:12 2026-04-14 05:07:15

文档预览

专题7.4数列求和2022年高考数学一轮复习讲练测(新教材新高考)(讲)原卷版_02高考数学_新高考复习资料_2022年新高考资料_2022年高考数学一轮复习讲练测(新教材新高考)8.21更新
专题7.4数列求和2022年高考数学一轮复习讲练测(新教材新高考)(讲)原卷版_02高考数学_新高考复习资料_2022年新高考资料_2022年高考数学一轮复习讲练测(新教材新高考)8.21更新
专题7.4数列求和2022年高考数学一轮复习讲练测(新教材新高考)(讲)原卷版_02高考数学_新高考复习资料_2022年新高考资料_2022年高考数学一轮复习讲练测(新教材新高考)8.21更新
专题7.4数列求和2022年高考数学一轮复习讲练测(新教材新高考)(讲)原卷版_02高考数学_新高考复习资料_2022年新高考资料_2022年高考数学一轮复习讲练测(新教材新高考)8.21更新
专题7.4数列求和2022年高考数学一轮复习讲练测(新教材新高考)(讲)原卷版_02高考数学_新高考复习资料_2022年新高考资料_2022年高考数学一轮复习讲练测(新教材新高考)8.21更新
专题7.4数列求和2022年高考数学一轮复习讲练测(新教材新高考)(讲)原卷版_02高考数学_新高考复习资料_2022年新高考资料_2022年高考数学一轮复习讲练测(新教材新高考)8.21更新
专题7.4数列求和2022年高考数学一轮复习讲练测(新教材新高考)(讲)原卷版_02高考数学_新高考复习资料_2022年新高考资料_2022年高考数学一轮复习讲练测(新教材新高考)8.21更新
专题7.4数列求和2022年高考数学一轮复习讲练测(新教材新高考)(讲)原卷版_02高考数学_新高考复习资料_2022年新高考资料_2022年高考数学一轮复习讲练测(新教材新高考)8.21更新
专题7.4数列求和2022年高考数学一轮复习讲练测(新教材新高考)(讲)原卷版_02高考数学_新高考复习资料_2022年新高考资料_2022年高考数学一轮复习讲练测(新教材新高考)8.21更新
专题7.4数列求和2022年高考数学一轮复习讲练测(新教材新高考)(讲)原卷版_02高考数学_新高考复习资料_2022年新高考资料_2022年高考数学一轮复习讲练测(新教材新高考)8.21更新
专题7.4数列求和2022年高考数学一轮复习讲练测(新教材新高考)(讲)原卷版_02高考数学_新高考复习资料_2022年新高考资料_2022年高考数学一轮复习讲练测(新教材新高考)8.21更新

文档信息

文档格式
docx
文档大小
0.215 MB
文档页数
7 页
上传时间
2026-04-14 05:07:15

文档内容

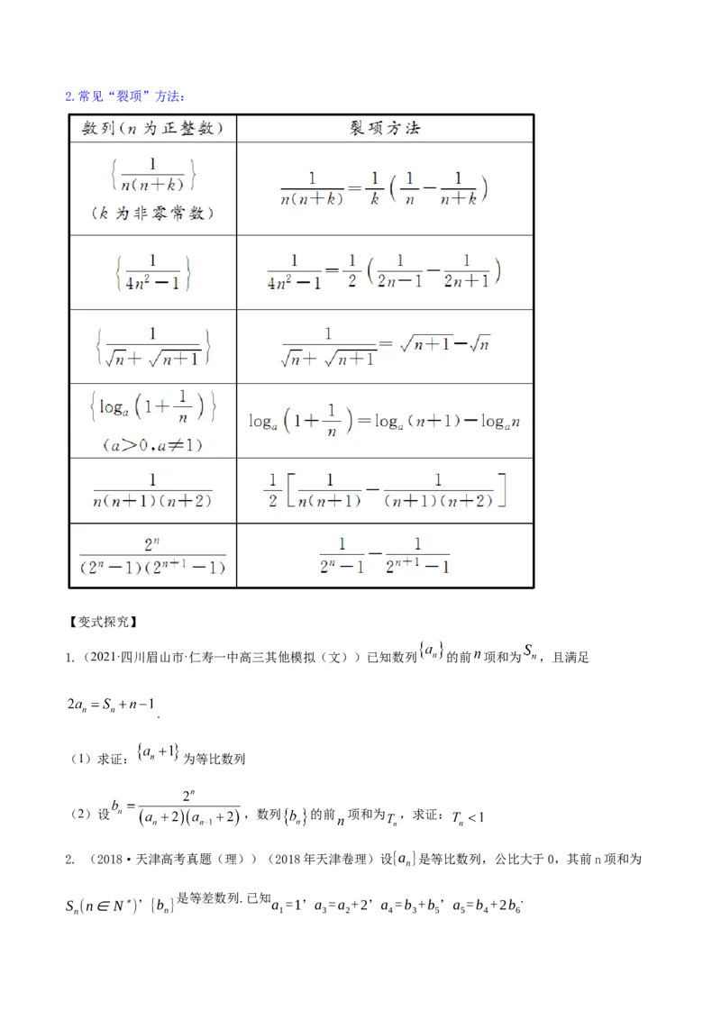
专题7.4 数列求和 新课程考试要求 1.掌握等差数列、等比数列前 n 项和公式及其应用.. 核心素养 本节涉及所有的数学核心素养:逻辑推理、数学运算、数学抽象、数学建模等. 1.等差数列与等比数列综合确定基本量,利用“裂项相消法”“错位相减法”等求和. 2.简单的等差数列、等比数列求和.. 3.往往以数列求和问题为先导,在解决数列基本问题后考查数列求和,在求和后再与不 等式、函数、最值等问题综合,近几年难度有所降低,.考查公式法求和、 “裂项相消 考向预测 法”、“错位相减法”较多. 4.复习中注意: (1)灵活选用数列求和公式的形式,关注应用公式的条件; (2)熟悉分组求和法、裂项相消法及错位相减法. 【知识清单】 知识点一.数列求和 n(a a ) n(n1) S  1 n na  d 1. 等差数列的前 n 和的求和公式: n 2 1 2 . n 2.等比数列前 项和公式 a ,a ,a ,,a , n S  a a a a q 1 一般地,设等比数列 1 2 3 n 的前 项和是 n 1 2 3 n,当 时, a (1qn) a a q S  1 S  1 n n 1q n 1q q 1 S  na 或 ;当 时, n 1(错位相减法). n 3. 数列前 项和 ①重要公式: n n(n1) k  (1)k1 123n 2 n (2k1) 1352n1 n2 (2)k1 2 n 1  k3  13 23 n3  n(n1)   2  (3)k1n 1 k2 12 22 32 n2  n(n1)(2n1) (4)k1 6 S S S mnd ②等差数列中, mn m n ; S S qnS S qmS ③等比数列中, mn n m m n. 【考点分类剖析】 考点一 :公式法、分组转化法求和 【典例1】(2021·全国高三其他模拟)设数列 的前 项和为 ,且 ,________,在以下三个条 件中任选一个填入以上横线上,并求数列 的前 项和 . ① ;② ;③ . a  b  【典例2】(2019·天津高考真题(理))设 n 是等差数列, n 是等比数列.已知 a 4,b 6,b 2a 2,b 2a 4 1 1 2 2 3 3 . a  b  (Ⅰ)求 n 和 n 的通项公式; 1, 2k n2k1, c 1,c  (Ⅱ)设数列c n 满足 1 n  b k ,n2k, 其中 kN* .    a c 1 (i)求数列 2n 2n 的通项公式; 2n ac  nN* (ii)求 i i . i1 【总结提升】 1.公式法:如果一个数列是等差、等比数列或者是可以转化为等差、等比数列的数列,我们可以运用等 n 差、等比数列的前 项和的公式来求和.对于一些特殊的数列(正整数数列、正整数的平方和立方数列等) 也可以直接使用公式求和. 2.分组转化法求和的常见类型 (1)若a=b±c,且{b},{c}为等差或等比数列,可采用分组转化法求{a}的前n项和. n n n n n n (2)通项公式为a=的数列,其中数列{b},{c}是等比数列或等差数列,可采用分组转化法求和. n n n{a b } {a },{b } 3.分组转化求和法:有一类数列 n n ,它既不是等差数列,也不是等比数列,但是数列 n n 是 等差数列或等比数列或常见特殊数列,则可以将这类数列适当拆开,可分为几个等差、等比数列或常见的 特殊数列,然后分别求和,再将其合并即可. a  n n 4.倒序相加法:类似于等差数列的前 项和的公式的推导方法,如果一个数列 n 的前 项中首末两端 n 等“距离”的两项的和相等或等于同一个常数,那么求这个数列的前 项和即可用倒序相加法,如等差数 n 列的前 项和公式即是用此法推导的. a 1n f n n 5.并项求和法:一个数列的前 项和中,可两两结合求解,则称之为并项求和.形如 n 类 S 1002 992 982 972 22 12 型,可采用两项合并求解.例如, n 100999897215050 . 【变式探究】 a  a 1 a 2a n1 1.(2020届山东省济宁市第一中学高三二轮检测)已知数列 n 中, 1 , n1 n , b a n n n . b  (1)求证:数列 n 是等比数列; a  n S (2)求数列 n 的前 项和 n. 2.(2021·全国高三其他模拟(文))已知数列 满足 , , . (1)求证:数列 是等比数列; (2)设数列 的前 项的和为 ,求证: . 考点二 :错位相减法求和 【典例3】(2021·陕西高三其他模拟(理))数列 前n项和为 , , . (1)求 的通项公式;(2)若 ,求数列 的前n项和 . a  b  【典例4】(2019·天津高考真题(文)) 设 n 是等差数列, n 是等比数列,公比大于0,已知 a b 3 b a b 4a 3 1 1 , 2 3 , 3 2 . a  b  (Ⅰ)求 n 和 n 的通项公式; 1, n为奇数,  (Ⅱ)设数列c 满足 c n   b n n为偶数, 求 ac a c a c  nN*. n  2 1 1 2 2 2n 2n 【规律方法】 1.错位相减法求和的策略 (1)如果数列{a}是等差数列,{b}是等比数列,求数列{a·b}的前n项和时,可采用错位相减法,一般 n n n n 是和式两边同乘以等比数列{b}的公比,然后作差求解. n (2)在写“S”与“qS”的表达式时应特别注意将两式“错项对齐”以便下一步准确写出“S-qS”的表 n n n n 达式. (3)在应用错位相减法求和时,若等比数列的公比为参数,应分公比等于1和不等于1两种情况求解. 2.错位相减法:如果一个数列的各项是由一个等差数列和一个等比数列的对应项之积构成的,那么这个 n n 数列的前 项和即可用此法来求,如等比数列的前 项和公式就是用此法推导的. a b c b  c  q 若 n n n,其中 n 是等差数列, n 是公比为 等比数列,令 S bc b c b c b c qS  bc b c b c b c n 1 1 2 2 n1 n1 n n,则 n 1 2 2 3 n1 n n n1两式错位相减并整理即得. 【变式探究】 1 1.(2020届山东省六地市部分学校高三3月线考)数列 a n  满足: a 1 a 2 a 3 L a n  2  3n 1  a  (1)求 n 的通项公式; b  a 3a n b n b  n T (2)若数列 n 满足 n ,求 n 的前 项和 n. 2.(2021·新安县第一高级中学高三其他模拟(理))已知数列 前 项和是 ,且 . (1)设 ,证明:数列 是等比数列;(2)设 ,求数列 的前 项和 . 考点三 : 裂项相消法求和 【典例5】(2021·全国高三其他模拟(理))已知数列 的前 项和为 ,且 , . (1)求数列 的通项公式; (2)求数列 的前 项和 . a  d 0 n 【典例6】(2020·山东滕州市第一中学高三3月模拟)已知等差数列 n 的公差 ,其前 项和为 S a a 22 a ,a ,a n,若 2 8 ,且 4 7 12成等比数列. a  (1)求数列 n 的通项公式; 1 1 1 3 T    T  (2)若 n S S S ,证明: n 4 . 1 2 n {a } n S a 4 a S {b } 【典例7】(2019·浙江高考真题)设等差数列 n 的前 项和为 n, 3 , 4 3,数列 n 满足: nN,S b ,S b ,S b 对每 n n n1 n n2 n成等比数列. {a },{b } (1)求数列 n n 的通项公式; a C  n ,nN, (2)记 n 2b 证明: C C +C 2 n,nN. n 1 2 n 【总结提升】 1.裂项相消法求和的实质和关键 (1)裂项原则:一般是前边裂几项,后边就裂几项,直到发现被消去项的规律为止. (2)消项规律:消项后前边剩几项,后边就剩几项,前边剩第几项,后边就剩倒数第几项.2.常见“裂项”方法: 【变式探究】 1.(2021·四川眉山市·仁寿一中高三其他模拟(文))已知数列 的前 项和为 ,且满足 . (1)求证: 为等比数列 (2)设 ,数列 的前 项和为 ,求证: 2. (2018·天津高考真题(理))(2018年天津卷理)设{a }是等比数列,公比大于0,其前n项和为 n , 是等差数列.已知 , , , . S (n∈N∗) {b } a =1 a =a +2 a =b +b a =b +2b n n 1 3 2 4 3 5 5 4 6(I)求{a }和{b }的通项公式; n n (II)设数列 的前n项和为 , {S } T (n∈N∗) n n (i)求T ; n (ii)证明 n (T +b )b 2n+2 . ∑ k k+2 k = −2(n∈N∗) (k+1)(k+2) n+2 k=1 【总结提升】 1.裂项相消法:把数列的通项拆成两项之差,即数列的每一项都可按此法拆成两项之差,在求和时一些 n 正负项相互抵消,于是前 项的和变成首尾若干少数项之和,这一求和方法称为裂项相消法.适用于类似  c    a a a    c n n1 (其中 n 是各项不为零的等差数列, 为常数)的数列、部分无理数列等.用裂项相消法求和, 2.需要掌握一些常见的裂项方法: 1 11 1  1 1 1       nnk k n nk  k 1 nn1 n n1 (1) ,特别地当 时, ; 1 1  1  nk  n  n1 n nk  n k k 1 n1 n (2) ,特别地当 时, ; 2n2 1 1 1  a  1    n 2n12n1 22n1 2n1 (3) 1 1 1 1  a      n nn1n2 2  nn1 n1n2   (4) 1 1 1 1  (  ) (p  q) pq q p p q (5)