当前位置:首页>文档>第一章第05讲解题技巧专题:利用等腰三角形的三线合一作辅助线(3类热点题型讲练)(解析版)_北师大初中数学_8下-北师大版初中数学_旧版-可参考

第一章第05讲解题技巧专题:利用等腰三角形的三线合一作辅助线(3类热点题型讲练)(解析版)_北师大初中数学_8下-北师大版初中数学_旧版-可参考

  • 2026-04-14 19:03:29 2026-04-14 18:51:52

文档预览

第一章第05讲解题技巧专题:利用等腰三角形的三线合一作辅助线(3类热点题型讲练)(解析版)_北师大初中数学_8下-北师大版初中数学_旧版-可参考
第一章第05讲解题技巧专题:利用等腰三角形的三线合一作辅助线(3类热点题型讲练)(解析版)_北师大初中数学_8下-北师大版初中数学_旧版-可参考
第一章第05讲解题技巧专题:利用等腰三角形的三线合一作辅助线(3类热点题型讲练)(解析版)_北师大初中数学_8下-北师大版初中数学_旧版-可参考
第一章第05讲解题技巧专题:利用等腰三角形的三线合一作辅助线(3类热点题型讲练)(解析版)_北师大初中数学_8下-北师大版初中数学_旧版-可参考
第一章第05讲解题技巧专题:利用等腰三角形的三线合一作辅助线(3类热点题型讲练)(解析版)_北师大初中数学_8下-北师大版初中数学_旧版-可参考
第一章第05讲解题技巧专题:利用等腰三角形的三线合一作辅助线(3类热点题型讲练)(解析版)_北师大初中数学_8下-北师大版初中数学_旧版-可参考
第一章第05讲解题技巧专题:利用等腰三角形的三线合一作辅助线(3类热点题型讲练)(解析版)_北师大初中数学_8下-北师大版初中数学_旧版-可参考
第一章第05讲解题技巧专题:利用等腰三角形的三线合一作辅助线(3类热点题型讲练)(解析版)_北师大初中数学_8下-北师大版初中数学_旧版-可参考
第一章第05讲解题技巧专题:利用等腰三角形的三线合一作辅助线(3类热点题型讲练)(解析版)_北师大初中数学_8下-北师大版初中数学_旧版-可参考
第一章第05讲解题技巧专题:利用等腰三角形的三线合一作辅助线(3类热点题型讲练)(解析版)_北师大初中数学_8下-北师大版初中数学_旧版-可参考
第一章第05讲解题技巧专题:利用等腰三角形的三线合一作辅助线(3类热点题型讲练)(解析版)_北师大初中数学_8下-北师大版初中数学_旧版-可参考
第一章第05讲解题技巧专题:利用等腰三角形的三线合一作辅助线(3类热点题型讲练)(解析版)_北师大初中数学_8下-北师大版初中数学_旧版-可参考
第一章第05讲解题技巧专题:利用等腰三角形的三线合一作辅助线(3类热点题型讲练)(解析版)_北师大初中数学_8下-北师大版初中数学_旧版-可参考
第一章第05讲解题技巧专题:利用等腰三角形的三线合一作辅助线(3类热点题型讲练)(解析版)_北师大初中数学_8下-北师大版初中数学_旧版-可参考
第一章第05讲解题技巧专题:利用等腰三角形的三线合一作辅助线(3类热点题型讲练)(解析版)_北师大初中数学_8下-北师大版初中数学_旧版-可参考
第一章第05讲解题技巧专题:利用等腰三角形的三线合一作辅助线(3类热点题型讲练)(解析版)_北师大初中数学_8下-北师大版初中数学_旧版-可参考
第一章第05讲解题技巧专题:利用等腰三角形的三线合一作辅助线(3类热点题型讲练)(解析版)_北师大初中数学_8下-北师大版初中数学_旧版-可参考
第一章第05讲解题技巧专题:利用等腰三角形的三线合一作辅助线(3类热点题型讲练)(解析版)_北师大初中数学_8下-北师大版初中数学_旧版-可参考
第一章第05讲解题技巧专题:利用等腰三角形的三线合一作辅助线(3类热点题型讲练)(解析版)_北师大初中数学_8下-北师大版初中数学_旧版-可参考
第一章第05讲解题技巧专题:利用等腰三角形的三线合一作辅助线(3类热点题型讲练)(解析版)_北师大初中数学_8下-北师大版初中数学_旧版-可参考
第一章第05讲解题技巧专题:利用等腰三角形的三线合一作辅助线(3类热点题型讲练)(解析版)_北师大初中数学_8下-北师大版初中数学_旧版-可参考
第一章第05讲解题技巧专题:利用等腰三角形的三线合一作辅助线(3类热点题型讲练)(解析版)_北师大初中数学_8下-北师大版初中数学_旧版-可参考
第一章第05讲解题技巧专题:利用等腰三角形的三线合一作辅助线(3类热点题型讲练)(解析版)_北师大初中数学_8下-北师大版初中数学_旧版-可参考
第一章第05讲解题技巧专题:利用等腰三角形的三线合一作辅助线(3类热点题型讲练)(解析版)_北师大初中数学_8下-北师大版初中数学_旧版-可参考
第一章第05讲解题技巧专题:利用等腰三角形的三线合一作辅助线(3类热点题型讲练)(解析版)_北师大初中数学_8下-北师大版初中数学_旧版-可参考
第一章第05讲解题技巧专题:利用等腰三角形的三线合一作辅助线(3类热点题型讲练)(解析版)_北师大初中数学_8下-北师大版初中数学_旧版-可参考
第一章第05讲解题技巧专题:利用等腰三角形的三线合一作辅助线(3类热点题型讲练)(解析版)_北师大初中数学_8下-北师大版初中数学_旧版-可参考
第一章第05讲解题技巧专题:利用等腰三角形的三线合一作辅助线(3类热点题型讲练)(解析版)_北师大初中数学_8下-北师大版初中数学_旧版-可参考
第一章第05讲解题技巧专题:利用等腰三角形的三线合一作辅助线(3类热点题型讲练)(解析版)_北师大初中数学_8下-北师大版初中数学_旧版-可参考
第一章第05讲解题技巧专题:利用等腰三角形的三线合一作辅助线(3类热点题型讲练)(解析版)_北师大初中数学_8下-北师大版初中数学_旧版-可参考
第一章第05讲解题技巧专题:利用等腰三角形的三线合一作辅助线(3类热点题型讲练)(解析版)_北师大初中数学_8下-北师大版初中数学_旧版-可参考
第一章第05讲解题技巧专题:利用等腰三角形的三线合一作辅助线(3类热点题型讲练)(解析版)_北师大初中数学_8下-北师大版初中数学_旧版-可参考
第一章第05讲解题技巧专题:利用等腰三角形的三线合一作辅助线(3类热点题型讲练)(解析版)_北师大初中数学_8下-北师大版初中数学_旧版-可参考
第一章第05讲解题技巧专题:利用等腰三角形的三线合一作辅助线(3类热点题型讲练)(解析版)_北师大初中数学_8下-北师大版初中数学_旧版-可参考
第一章第05讲解题技巧专题:利用等腰三角形的三线合一作辅助线(3类热点题型讲练)(解析版)_北师大初中数学_8下-北师大版初中数学_旧版-可参考
第一章第05讲解题技巧专题:利用等腰三角形的三线合一作辅助线(3类热点题型讲练)(解析版)_北师大初中数学_8下-北师大版初中数学_旧版-可参考
第一章第05讲解题技巧专题:利用等腰三角形的三线合一作辅助线(3类热点题型讲练)(解析版)_北师大初中数学_8下-北师大版初中数学_旧版-可参考
第一章第05讲解题技巧专题:利用等腰三角形的三线合一作辅助线(3类热点题型讲练)(解析版)_北师大初中数学_8下-北师大版初中数学_旧版-可参考
第一章第05讲解题技巧专题:利用等腰三角形的三线合一作辅助线(3类热点题型讲练)(解析版)_北师大初中数学_8下-北师大版初中数学_旧版-可参考
第一章第05讲解题技巧专题:利用等腰三角形的三线合一作辅助线(3类热点题型讲练)(解析版)_北师大初中数学_8下-北师大版初中数学_旧版-可参考

文档信息

文档格式
docx
文档大小
8.531 MB
文档页数
36 页
上传时间
2026-04-14 18:51:52

文档内容

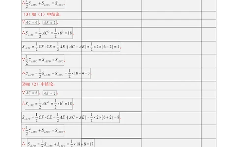
第 05 讲 解题技巧专题:利用等腰三角形的'三线合一'作辅助线 目录 【考点一等腰三角形中底边有中点时,连中线】.................................................................................................................1 【考点二等腰三角形中底边无中点时,作高】....................................................................................................................15 【考点三巧用“角平分线+垂线合一”构造等腰三角形】...............................................................................................29 【考点 一等腰三角形中底边有中点时,连中线】 模型解析:等腰三角形中底边有中点,连中线 直接用“三线合一”,①AB=AC;②AD⊥BC;③BD=DC;④∠1=∠2.知2推2原则。 连中线用“三线合一”,若AB=AC,BD=CD.则AD⊥BC,∠1=∠2. 例题:(23-24八年级下·全国·单元测试)如图,在 中, , , 为 边的中 点,点 、 分别在射线 、 上,且 ,连接 . 1/36 学科网(北京)股份有限公司(1)如图1,当点 、 分别在边 和 上时,连接 , ①证明: . ②直接写出 , 和 的关系是: (2)探究:如图2,当点E、F 分别在边 、 的延长线上时, , 和 的关系是: (3)应用:若 , ,利用上面探究得到的结论,求 的面积. 【答案】(1)①见解析;② (2) (3) 或17 【知识点】全等三角形综合问题、等腰三角形的性质和判定 【分析】本题为三角形的综合应用,涉及知识点有等腰三角形的性质、全等三角形的判定及其性质及三角 形的面积等,根据图形构造全等三角形求解即可。 (1)①连接 ,即可证明 ;②根据 ,看图即可得出结论; (2)连接 ,即同(1)可证明 ,根据 看图即可得出结论; (3)根据(1),(2)中的结论,代入求解即可。 【详解】(1)证明:①如图,连接 在 中, , 为 边的中点, ∴ , , ∴ , ∴ 是等腰直角三角形, ∴ , ∴ , ∵ , ∴ , ∵ , ∴ , 在 和 中, 2/36 学科网(北京)股份有限公司, ∴ . ②∵ , ∴ , 根据图中所示, , ∵ 为 边的中点, ∴ . ∴ . (2)解:如图,连接 在 中, , 为 边的中点, ∴ , , ∴ , ∴ 是等腰直角三角形, ∴ , ∴ , ∴ , 即 , ∵ , ∴ , ∵ , ∴ , 在 和 中, , 3/36 学科网(北京)股份有限公司∴ . ∵ , ∴ , 根据图中所示, , ∵ 为 边的中点, ∴ . ∴ . (3)如(1)中结论, ∵ , , ∴ , , ∵ , ∴ . ②如(2)中结论, ∵ , , ∴ , , ∵ , ∴ 【变式训练】 1.(23-24八年级上·江苏宿迁·期中)如图,根据下列已知条件,写出你能得到的结论. (1)已知 , ,则 ; (2)已知 ,则 ; (3)已知 ,则 . 4/36 学科网(北京)股份有限公司【答案】 【知识点】三线合一 【分析】本题主要考查了三线合一定理: (1)由等腰三角形的性质“三线合一”可求解; (2)由等腰三角形的性质“三线合一”可求解; (3)由等腰三角形的性质“三线合一”可求解. 【详解】解:(1)∵ , ,, ∴ , 故答案为: ; (2)∵ , ∴ , 故答案为: ; (3)∵ , ∴ , 故答案为: . 3.(2024八年级上·全国·专题练习)如图,在 中, , , 为 的中点, 于点 , ,求 的长. 【答案】 . 【知识点】等边对等角、含30度角的直角三角形、三线合一 【分析】本题考查了等腰三角形的性质,三线合一和含 的特殊直角三角形的性质.连接 ,利用等边 对等角得 ,在 中,得 ,在 中,得 ,即可求出 的长,熟练 运用三线合一的性质是解题的关键. 【详解】解:连接 , 5/36 学科网(北京)股份有限公司∵ , , 为 的中点, ∴ , 平分 , , ∴ , ∵ , ∴ , ∴ , 在 中, , , ∴ , 在 中, , , ∴ , ∴ . 4.(24-25八年级上·四川绵阳·期中)如图, 是等腰直角三角形, ,D为斜边 的中点,E, F分别为 边上的点,且 .若 , .求 的长. 【答案】 【知识点】全等的性质和ASA(AAS)综合(ASA或者AAS)、根据三线合一证明、用勾股定理解三角形 【分析】本题主要考查等腰直角三角形的性质及全等三角形的性质与判定,熟练掌握全等三角形的性质与 判定是解题的关键;连接 ,根据等腰直角三角形的性质,易证 ,得到 ,得 到 ,然后利用勾股定理,即可求出 . 【详解】解:如图,连接 . 6/36 学科网(北京)股份有限公司∵ , ∴ , ∵ , ∴ , ∴ , ∴ , ∴ , ∵ , ∴ , ∴ . 5.(24-25八年级上·福建厦门·期中)如图,在 中, ,点P为 边的中点, 于点D. (1)求 的度数; (2)求证: . 【答案】(1) (2)见解析 【知识点】三线合一、含30度角的直角三角形、三角形内角和定理的应用、等边对等角 【分析】本题考查等边对等角,三线合一,含30度角的直角三角形的性质: (1)根据等边对等角,利用三角形内角和定理进行求解即可; (2)连接 ,根据三线合一,以及含30度角的直角三角形的性质,进行求解即可。 【详解】(1)解:∵ , ∴ ; 7/36 学科网(北京)股份有限公司(2)证明:连接 ,则 , 由(1)知, . ∵ , ∴ , 又∵ , ∴ , ∴ , ∴ , ∴ , 即 . 6.(24-25八年级上·江苏泰州·期中)如图,在 中, ,点 是 的中点,点 在 的延长线上,点 在 的延长线上, . (1)求证: ; (2)连接 ,若 ,求 的值. 【答案】(1)见解析 (2) 【知识点】根据三线合一证明、利用二次根式的性质化简、用勾股定理解三角形、全等的性质和SAS综合 (SAS) 【分析】本题主要查了全等三角形的判定和性质,勾股定理,等腰三角形的性质: (1)连接 ,根据题意可得 ,再由等腰三角形的性质可得 ,从而得到 ,再由 ,可得 ,可证明 ,即可求证; (2)在 中,利用勾股定理解答,即可求解. 【详解】(1)证明:如图,连接 , 8/36 学科网(北京)股份有限公司∵ , ∴ , ∴ , ∵点 是 的中点, ∴ ,即 , ∴ , ∴ , , ∴ , ∵ , ∴ , ∴ , 在 和 中, ∵ , , , ∴ , ∴ ; (2)解:由(1)得: , ∴ , ∵ , ∴ , 在 中, . 7.(23-24八年级上·浙江杭州·期中)如图, 是等腰直角三角形, , 是 的中点, ,点 , 在 , 上. (1)求证: . 9/36 学科网(北京)股份有限公司(2)连接 ,则 、 、 之间有什么数量关系?请说明理由. 【答案】(1)见解析 (2) ,理由见解析 【知识点】全等的性质和SAS综合(SAS)、等边对等角、用勾股定理解三角形 【分析】本题主要考查了等腰三角形的性质、勾股定理、全等三角形的判定与性质等知识点,证得 成为解题的关键. (1)如图:连接 ,根据等腰直角三角形的性质可得 ,进而证明 ,最后 根据全等三角形的性质即可证明结论; (2)由全等三角形的性质可得 ,进而得到 ;由勾股定理可得 ,最后根 据等量代换即可解答. 【详解】(1)证明:如图:连接 , ∵ 是等腰直角三角形, , , , 是 的中点, , , , , , , , , 在 和 中, , , . (2)解: ,理由如下: , , 10/36 学科网(北京)股份有限公司, , , . 8.(23-24七年级下·山东·期末)【探究1】 如图①,在 中, , 是中线,若 ,则 的度数为_______ ; 【探究2】 如图②,在 和 中, , , , 分别为 和 的中线,若 , ,则 的度数为 ______ ; 【探究3】 如图③,在 和 中, , , , 分别为 和 的中线, 与 交于点 ,若 ,则 的度数为_______ . 【答案】【探究1】 ;【探究2】 ;【探究3】 【知识点】三角形内角和定理的应用、三线合一 【分析】本题主要考查等腰三角形的性质、三角形内角和定理和三线合一性质, [探究1]根据等腰三角形的性质得 ,由三角形内角和定理求得 ,利用“三线合一”性质即可求 得答案; [探究2]由等腰三角形的性质和三线合一性质得 和 ,结合角度之间的关系 即可求得答案; [探究3]由等腰三角形的性质和三线合一性质得 和 ,结合三角形内角和定理得 和 ,再次结合三角形内角和定理得到 即可求得答案. 【详解】解:[探究1]∵ , ∴ , ∴ , ∵ 是中线,则 是 的角平分线 ∴ , 故答案为: . 11/36 学科网(北京)股份有限公司[探究2] , , 、 分别为 和 的中线 , , , ; 故答案为: . [探究3]∵ , , ∴ 和 是等腰三角形, ∵ 、 分别为 和 的中线, ∴ , , , ∵ , ∴ , ∴ , 又 , , ∵ , ∴ . 故答案为: . 9.(24-25八年级上·江苏苏州·阶段练习)如图,已知锐角 中, 、 分别是边 、 上的高, M、N分别是线段 、 的中点. (1)求证: ; (2)连接 、 ,猜想 与 之间的关系,并说明理由. 【答案】(1)见解析 (2) ,理由见解析 【知识点】三角形内角和定理的应用、等腰三角形的性质和判定、斜边的中线等于斜边的一半 12/36 学科网(北京)股份有限公司【分析】本题考查了直角三角形斜边上的中线等于斜边的一半的性质,等腰三角形两底角相等的性质,三 角形的内角和定理, (1)连接 、 ,根据直角三角形斜边上的中线等于斜边的一半可得 , ,从而得 到 ,再根据等腰三角形三线合一的性质证明; (2)根据三角形的内角和定理可得 ,再根据等腰三角形两底角相等表示出 ,然后根据平角等于180°表示出 ,整理即可得解; 【详解】(1)证明:如图,连接 、 , ∵ 、 分别是 、 边上的高, 是 的中点, ∴ , , ∴ 又∵ 为 中点, ∴ ; (2)解:在 中, , ∵ , ∴ ∴ ; 10.(23-24七年级下·四川成都·阶段练习)在 中, , 且 的顶点E在边 上移动,在移动过程中,边 , 分别与 , 交于点M,N, 13/36 学科网(北京)股份有限公司(1)当 且M与A重合时,求证: (2)当E为 中点时,连接 ,求证: 【答案】(1)见解析 (2)见解析 【知识点】三角形的外角的定义及性质、全等三角形综合问题、根据三线合一证明 【分析】本题考查等腰三角形的性质、全等三角形的判定与性质、三角形外角的性质, (1)根据等腰直角三角形的性质可得 ,利用三角形外角的性质与等量代换可得 ,在根据全等三角形的判定即可证明; (2)连接 ,在 上截取 ,根据等腰直角三角形的性质可得 , ,证得 ,可得 , ,利用等量代 换可得 ,证得 ,可得 ,即可得证. 【详解】(1)证明:∵ , , ∴ , ∵ , 又∵ , ∴ , 又∵ , ∴ ; (2)证明:连接 ,在 上截取 , ∵ , ,E为 中点, ∴ , , ∴ , 在 和 中, , ∴ , ∴ , , ∵ , ∴ ,即 , ∵ , ∴ , 又∵ , , 14/36 学科网(北京)股份有限公司∴ , ∴ , ∵ , ∴ . 【考点 二等腰三角形中底边无中点时,作高】 例题:(2023上·福建厦门·八年级厦门一中校考期中)如图,已知 ,点 在边 上, , 点 在边 上, ,若 ,求 的长. 【答案】2 【分析】本题考查了等腰三角形的性质、含 角的直角三角形的性质.作 交 于 ,由等腰三 角形的性质可得 ,由含 角的直角三角形的性质得出 ,计算出 即可得到答案.熟 练掌握等腰三角形的三线合一以及直角三角形中 所对的直角边等于斜边的一半是解此题的关键. 【详解】解:如图,作 交 于 , , , , 15/36 学科网(北京)股份有限公司, 在 中, , , , , , , , . 【变式训练】 1.(23-24八年级上·吉林·阶段练习)有一个等腰三角形模型(示意图如图所示),它的顶角为 ,腰长为 12m,则底边上的高是 m. 【答案】6 【知识点】三线合一、含30度角的直角三角形、等边对等角 【分析】本题主要考查等腰三角形的性质,三角形内角和定理,含30度角的直角三角形的性质等.作 于点D,根据等腰三角形的性质和三角形内角和定理可得 ,再根 据含30度角的直角三角形的性质即可得出答案. 【详解】解:如图,作 于点D, 在 中, , ∴ , 又∵ , ∴ , 故答案为:6. 2.(22-23九年级上·四川成都·阶段练习)如图,在 中, ,D为 上一点,连接 , 且 ,则 为 . 16/36 学科网(北京)股份有限公司【答案】 / 【知识点】用勾股定理解三角形、三线合一 【分析】本题考查勾股定理,等腰三角形的性质等知识,解题的关键是学会利用参数构建方程解决问题, 属于中考常考题型.作 于 .设 ,则有: ,由此构建方程 求出 即可解决问题. 【详解】解:如图,作 于 . , , ,设 , 则有: , , 解得: , , 故答案为: . 3.(24-25八年级上·重庆长寿·阶段练习)如图,已知 , , 与 的面积和为10,则 的平方 . 【答案】76 【知识点】三线合一、用勾股定理解三角形、全等的性质和ASA(AAS)综合(ASA或者AAS) 17/36 学科网(北京)股份有限公司【分析】本题考查了三角形的面积,勾股定理,等腰三角形的性质,全等三角形的判定和性质等知识,解 题的关键是学会添加常用辅助线,构造全等三角形解决问题. 作 , ,证明 ,推出 ,设 , ,利用完全平方公式求出 ,可得结论. 【详解】解:如图,过点A作 于点H,过点D作 于点K. , , , , . , . , , 又 , , , 设 , . 与 的面积和为10, 即 , , 在 中, , 即 , , , . 故答案为:76. 4.(23-24九年级下·四川遂宁·阶段练习)如图,等腰三角形 中, , ,点P是底边 上一动点, 、 分别与 、 两边垂直,垂足分别为D、E,则 的值为 . 18/36 学科网(北京)股份有限公司【答案】 【知识点】用勾股定理解三角形、三线合一 【分析】本题考查了勾股定理、等腰三角形的性质,根据题意画出图形,然后过A点作 于F,连 接 ,根据等腰三角形三线合一的性质和勾股定理可得 的长,由图形得 代入数值, 解答出即可. 【详解】如图所示,过A点作 于F,连接 , ∵在 中, , , ∴ , ∴在 中, , ∴ , 即 ∴ 故答案为: . 5.(23-24八年级上·浙江宁波·期末)(1)如图1所示,在 中, , , ,求证 . (2)如图2所示,在 中, , ,延长 至 使 ,求 . 19/36 学科网(北京)股份有限公司【答案】(1)见解析;(2) 【知识点】全等三角形综合问题、含30度角的直角三角形、等腰三角形的性质和判定、根据三线合一证明 【分析】(1)作 交 于 ,过点 作 交 的延长线于 ,过点 作 ,由 题意得 和 ,利用等角对等边可得 ,利用三线合一的性质得 ,结合含 角的直角三角形性质得 ,可证明 ,即可证得结论; (2)在 上取 ,连接 ,作 平分 ,交 于 ,交 于 ,根据题意得 ,利用等腰三角形两腰上的高相等得 ,结合含 角的直角三角形性质得 ,由题意得 ,即可求得 ,即可求得答案. 【详解】解:(1)作 交 于 ,过点 作 交 的延长线于 ,过点 作 , 如图, , , , , , , , , , , , , , 在 和 中, , , . (2)在 上取 ,连接 ,作 平分 ,交 于 ,交 于 ,如图, 20/36 学科网(北京)股份有限公司平分 , , , , , , 即 是等腰三角形, 作 ,则 (等腰三角形两腰上的高相等), , , , ∴ , ∵ , ∴ , , ∵ , ∴ , 【点睛】本题主要考查等腰三角形的判定和性质、三线合一的性质、全等三角形的判定和性质和含 角的 直角三角形性质,解题的关键是添加辅助线并找到对应边角之间的关系. 6.(22-23八年级上·湖北武汉·期中)如图,点 , 在 的边 上, , . (1)如图1,求证: ; (2)如图2,当 时,过点 作 于点 ,如果 ,求 的值. 【答案】(1)见解析 (2)4 【知识点】全等的性质和ASA(AAS)综合(ASA或者AAS)、根据三线合一证明 【分析】(1)过 作 于点 ,根据三线合一可得: , ,即可证明; 21/36 学科网(北京)股份有限公司(2)过 作 于点 ,易证 ,可得 ,即可求解. 【详解】(1)证明:如图过 作 于点 , ∵ , , ∴ , ∵ , ∴ , ∴ ; (2)解:过 作 于点 , 在 和 中, ∴ , ∴ , ∴ . 【点睛】本题考查了全等三角形的性质与判定,等腰三角形的性质“三线合一”,熟练掌握全等三角形的判定 方法是解题的关键. 7.(24-25八年级上·辽宁大连·期中)如图,在等边 中,点 在 边上,点 在 延长线上,且 . 22/36 学科网(北京)股份有限公司(1)求证: ; (2)若等边 的边长为6, 求 的长; (3)求证: ; (4)如图,当点 在 的延长线上,点 在 延长线上时,其它条件不变,(3)中的结论是否仍然成立? 若成立,请证明;若不成立,请说明理由. 【答案】(1)见解析 (2) (3)见解析 (4)(3)中的结论仍然成立,证明见解析 【知识点】全等三角形综合问题、等边三角形的判定和性质、三线合一、含30度角的直角三角形 【分析】(1)根据等边三角形的性质,等边对等角,结合三角形的外角,即可得出结论; (2)过 作 于 ,利用等边三角形的性质,含 度角的直角三角形的性质,以及三线合一,进 行求解即可; (3)过 作 交 于点 ,易得 是等边三角形,得到 ,证明 , 得到 ,等量代换即可得出结论; (4)过 作 交 的延长线于 ,证明 是等边三角形,得到 ,证明 ,得到 ,等量代换即可得出结论. 【详解】(1)证明: 是等边三角形, , , , , , ; (2)如图,过 作 于 , , . 等边 的边长为6, 23/36 学科网(北京)股份有限公司, , , , , . . ; (3)证明:如图2,过 作 交 于点 . , 又 , 是等边三角形. , , , 又 , , . 由(1)得, , 又 . . . , ; 24/36 学科网(北京)股份有限公司(4)(3)中的结论仍然成立.证明如下: 如图,过 作 交 的延长线于 ,则 , , 是等边三角形. , . , , , ∴ , , ∴ , . 又 , , , . . . 【点睛】本题考查等边三角形的判定和性质,等边对等角,三线合一,含30度角的直角三角形,全等三角 形的判定和性质,熟练掌握相关知识点,添加辅助线,构造全等三角形和等边三角形,是解题的关键. 8.在 中, ,过点C作射线 ,使 (点 与点B在直线 的异侧)点D 是射线 上一动点(不与点C重合),点E在线段 上,且 . 25/36 学科网(北京)股份有限公司(1)如图1,当点E与点C重合时, 与 的位置关系是 ,若 ,则 的长为;(用含a的式子 表示) (2)如图2,当点E与点C不重合时,连接 . ①用等式表示 与 之间的数量关系,并证明; ②用等式表示线段 , , 之间的数量关系,并证明. 【答案】(1)互相垂直; (2)① ,证明见解析;② ,证明见解析 【知识点】全等的性质和SAS综合(SAS)、全等的性质和ASA(AAS)综合(ASA或者AAS)、根据三线合 一证明 【分析】(1)根据三角形内角和定理可得 与 的位置关系是互相垂直,过点A作 于点M,根 据等腰三角形性质得到 ,利用 证明 ,根据全等三角形性质即可 得出 ; (2)当点E与点C不重合时,①过点A作 于点M、 于点N,利用 证明 ,根据全等三角形性质即可得到 ; ②在 上截取 ,连接 ,利用 证明 ,根据全等三角形性质得到 , ,根据角的和差得到 ,再利用 证明 ,根据全等三角形性 质及线段和差即可得到 . 【详解】(1)解:当点E与点C重合时, , ∵ , ∴ , ∴ , ∴ , 即 与 的位置关系是互相垂直, 若 ,过点A作 于点M,如图: 26/36 学科网(北京)股份有限公司则 , ∵ , ∴ , 在 与 中, ∴ , ∴ , 即 的长为 , 故答案为:互相垂直; ; (2)解:①当点E与点C不重合时,用等式表示 与 之间的数量关系是: , 证明如下: 过点A作 于点M、 于点N,如图: 则 , ∴ , ∵ , 即 , ∴ , ∵ , , ∴ , 在 与 中, 27/36 学科网(北京)股份有限公司, ∴ , ∴ , ∴ ; ②用等式表示线段 , , 之间的量关系是: ,证明如下: 在 上截取 ,连接 ,如图: ∵ , ∴ , ∵ , ∴ , 在 和 中, , ∴ , ∴ , , ∴ , 由①知: , 即 , ∴ , ∴ , ∴ , 在 和 中, , 28/36 学科网(北京)股份有限公司∴ , ∴ , ∴ . 【点睛】本题是三角形综合题,考查了等腰三角形的性质、全等三角形的判定与性质、三角形内角和定理、 垂直定义等知识,熟练掌握等腰三角形的性质、全等三角形的判定与性质并作出合理的辅助线是解题的关键. 【考点 三巧用“角平分线+垂线合一”构造等腰三角形】 模型解析::如图, 中,AD平分 由“ASA”易得 从而得 即一边上的高与这边所对的角平分线重合,易得这个三角形是等腰三角形. 例题:(24-25八年级上·广东肇庆·期中)(1)【问题情境】利用角平分线构造全等三角形是常用的方法,如 图1, 平分 .点 为 上一点,过点 作 ,垂足为 ,延长 交 于点 ,求证: . (2)【问题探究】如图2,在(1)的条件下,过点 作 ,垂足为 交 于点 .若 ,试探究 和 的数量关系,并证明你的结论. (3)【拓展延伸】如图3, 中, ,点 在线段 上,且 于 交 于 ,试探究 和 之间的数量关系,并证明你的结论. 【答案】(1)见解析;(2) ,见解析;(3) ;见解析 【知识点】全等三角形综合问题、等腰三角形的性质和判定 【分析】本题主要考查了等腰直角三角形的判定和性质,全等三角形的判定和性质等知识, (1)根据“ ”证明 即可得出结论; (2)先证 ,再证 得出 ,进而即可得解; (3)如图:过点 作 ,交 的延长线于点 ,与 相交于 ,证出 和 ,然后进行线段的等量代换即可得解; 29/36 学科网(北京)股份有限公司解题的关键是学会添加常用辅助线,构造全等三角形解决问题. 【详解】(1)在 和 中, , ; (2) ,理由如下: 由(1)得, , ,即 , , , , 在 和 中, , , , ; (3) .理由如下: 如图:过点 作 ,交 的延长线于点 ,与 相交于 , , , , , , 30/36 学科网(北京)股份有限公司, , , , , , , , , , 在 和 中, , , , 在 和 中, , ,即 , . 【变式训练】 1.(23-24七年级下·陕西西安·期末)利用角平分线构造全等三角形是常用的方法,如图 , 平分 .点 为 上一点,过点 作 ,垂足为 ,延长 交 于点 ,可证得 ,则 , . 【问题提出】 (1)如图 ,在 中, 平分 , 于点 ,若 , ,通过上述构 造全等的办法,求 的度数; 31/36 学科网(北京)股份有限公司【问题探究】 (2)如图 ,在 中, , , 平分 , ,垂足 在 的延长 线上,试探究 和 的数量关系; 【问题解决】 (3)如图 是一块肥沃的土地 ,其中 边与灌渠相邻,李伯伯想在这块地中划出一块直角三角形 土地 进行水稻试验,他进行了如下操作: 作 的平分线 ; 再过点 作 交 于点 已知 米, 米, 面积为 平方米,求划出的 的面积. 【答案】() ;() ,理由见解析;() . 【知识点】角平分线的有关计算、三角形的外角的定义及性质、全等的性质和ASA(AAS)综合(ASA或者 AAS)、等边对等角 【分析】()延长 交 于点 ,由已知可知 ,再由等腰三角形的在得 , 然后由三角形的外角性质即可得出结论; ( )延长 交于点 ,证 ,得 ,再由已知可知 ,即 可得出结论; ( )延长 交 于 ,由已知可知 , ,则 再由三角形面积关系得 ,即可得出结论. 【详解】()如图 ,延长 交 于点 , 由已知可知 , ∴ , ∵ , ∴ ; ( ) ,证明如下: 如图,延长 交于点 ,则 , 32/36 学科网(北京)股份有限公司∵ , ∴ , ∵ , ∴ , 又∵ , ∴ , ∴ , 由已知可知, , ∴ ; ( )如图,延长 交 于 , 由已知可知, , , ∴ , ∵ , ∴ , ∴ . 【点睛】本题考查了全等三角形的判定与性质,等腰三角形的性质,三角形的外角性质、角平分线定义以 及三角形面积等知识,熟练掌握知识点的应用是解题的关键. 2.(2023上·江苏盐城·八年级校联考阶段练习)【情境建模】学校数学社团活动时遇到下面一个问题: 如图1,点 在 的角平分线上,过点 作 的垂线分别交 、 于点 、 .求证: .请你帮助完成此证明. 33/36 学科网(北京)股份有限公司【应用实践】请尝试直接应用“情境建模”中的结论解决下列问题: (1)将图1沿着过点 的直线折叠,得到图2,使点 正好与边 上的点 重合,此时测得 .求 的度数. (2)如图3, , 平分 交 于 ,若 , ,求边 的长度. 【拓展提升】 (3)如图4, 是某小区绿化施工的一块区域示意图,其中 , 米, 米.该 绿化带中修建了健身步道 、 、 、 、 ,其中入口 、 分别在 、 上,步道 、 分别平分 和 , , .现要用围栏完全封闭 区域,修建地下排水和 地上公益广告等设施,试求至少需要围栏多少米?(步道宽度忽略不计) 【答案】【情景建模】见解析;(1) ;(2) ;(3)至少需要围挡40米. 【分析】情景建模:利用角平分线的性质和全等三角形的性质和判定,求证 即可解题. (1)利用角平分线的性质和等腰三角形的性质“等边对等角”将边的关系转化为角的关系,再应用第一问的 条件和结论结合方程即可解题. (2)延长 和 相交于点 ,利用勾股定理和第一问的结论得出 ,即可解题. (3)延长 交 于点 ,延长 交 于点 ,得三角形全等,利用全等得性质,将 转化为 , 再用代数式表示出 、 、 即可解题. 【详解】情境建模 证明: 点 在 的角平分线上, , 由题知 , , 34/36 学科网(北京)股份有限公司, , , (1)解: 点 、点 关于直线对称, 直线垂直平分 , , , , , 又 , , , , , (2)解:延长 和 相交于点 ,如图所示: , , 平分 , , , , 在 中 , (3)解:延长 交 于点 ,延长 交 于点 ,如图所示: 35/36 学科网(北京)股份有限公司、 分别平分 和 , , , 由“情境建模”的结论得: , , , , 在 和 中, , , , 米, 米, 米 设 , ,则 , , , , , , , , , 的周长 答:至少需要围挡40米. 【点睛】本题考查角平分线的性质、全等三角形的性质和判定、等腰三角形的性质和勾股定理,本题的关 键在于灵活应用角平分线性质结合全等三角形的性质,求解角和边. 36/36 学科网(北京)股份有限公司