当前位置:首页>文档>信息必刷卷01(上海专用)参考答案_02高考数学_2025年新高考资料_2025考前信息卷_2025年高考数学考前信息必刷卷(上海专用)3430959

信息必刷卷01(上海专用)参考答案_02高考数学_2025年新高考资料_2025考前信息卷_2025年高考数学考前信息必刷卷(上海专用)3430959

  • 2026-04-14 23:42:54 2026-04-14 23:42:54

文档预览

信息必刷卷01(上海专用)参考答案_02高考数学_2025年新高考资料_2025考前信息卷_2025年高考数学考前信息必刷卷(上海专用)3430959
信息必刷卷01(上海专用)参考答案_02高考数学_2025年新高考资料_2025考前信息卷_2025年高考数学考前信息必刷卷(上海专用)3430959
信息必刷卷01(上海专用)参考答案_02高考数学_2025年新高考资料_2025考前信息卷_2025年高考数学考前信息必刷卷(上海专用)3430959
信息必刷卷01(上海专用)参考答案_02高考数学_2025年新高考资料_2025考前信息卷_2025年高考数学考前信息必刷卷(上海专用)3430959
信息必刷卷01(上海专用)参考答案_02高考数学_2025年新高考资料_2025考前信息卷_2025年高考数学考前信息必刷卷(上海专用)3430959
信息必刷卷01(上海专用)参考答案_02高考数学_2025年新高考资料_2025考前信息卷_2025年高考数学考前信息必刷卷(上海专用)3430959
信息必刷卷01(上海专用)参考答案_02高考数学_2025年新高考资料_2025考前信息卷_2025年高考数学考前信息必刷卷(上海专用)3430959
信息必刷卷01(上海专用)参考答案_02高考数学_2025年新高考资料_2025考前信息卷_2025年高考数学考前信息必刷卷(上海专用)3430959
信息必刷卷01(上海专用)参考答案_02高考数学_2025年新高考资料_2025考前信息卷_2025年高考数学考前信息必刷卷(上海专用)3430959
信息必刷卷01(上海专用)参考答案_02高考数学_2025年新高考资料_2025考前信息卷_2025年高考数学考前信息必刷卷(上海专用)3430959
信息必刷卷01(上海专用)参考答案_02高考数学_2025年新高考资料_2025考前信息卷_2025年高考数学考前信息必刷卷(上海专用)3430959
信息必刷卷01(上海专用)参考答案_02高考数学_2025年新高考资料_2025考前信息卷_2025年高考数学考前信息必刷卷(上海专用)3430959

文档信息

文档格式
docx
文档大小
0.386 MB
文档页数
8 页
上传时间
2026-04-14 23:42:54

文档内容

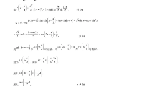
2025 年高考考前信息必刷卷 01(上海卷) 数 学·参考答案 一、填空题(本大题共有12题,满分54分,第1-6题每题4分,第7-12题每题5分) 1. 2. 3. 4.0.94 5. 6.20 7. 8. 9.5 10. 11.138 12. 二、选择题(本题共有4题,满分18分,第13-14题每题4分,第15-16题每题5分;每题有且只有一个正 确选项) 13 14 15 16 B B B C 三、解答题(本大题共有5题,满分78分,第17-19题每题14分,第20、21题每题18分.) 17.(1)由题意知, , 因为 平面 , 平面 , 所以 平面 , 因为 ,且 平面 , 平面 , 所以 平面 , 又 , 、 平面 , 所以平面 平面 , (4分) 因为 平面 , 所以 平面 . (6分)(2)由题意知,底面 为直角梯形, 所以梯形 的面积 , 因为四棱柱 的体积为36, 所以 , 过 作 于 ,连接 , 因为 平面 ,且 平面 , 所以 , 又 , 、 平面 , 所以 平面 , 因为 平面 ,所以 , 所以 即为二面角 的平面角, (8分) 在 △ 中, , 所以 , 所以 ,即 , 故二面角 的大小为 . (14分)18.(1)由已知 , 又 ,所以 , 所以 或 , 所以 或 , 即 在 上的解为 或 ; (6分) (2)由已知 , (8分) 则 在 时有解,即 在 时有解, 因为 ,所以 , 所以 , 所以 . (14分) 19.(1)假设 :M社区的市民是否喜欢网上买菜与年龄无关. 由给定的 列联表,得: . 根据小概率值 的独立性检验,我们推断 不成立, 即认为是否喜欢网上买菜与年龄有关联,此推断犯错误的概率不大于 . (2分)(2)设 表示周 在A平台买菜, 表示周 在B平台买菜, 由题可得 , 由全概率公式,小张周二选择 平台买菜的概率为: ; (7分) (3)依题意,喜欢网上买菜的概率为: . 从M社区随机抽取20名市民,其中喜欢网上买菜的市民人数 服从二项分布: ,所以 , . 又 ,所以 , . (12分) 20.(1)因为点 在抛物线 : 上, 所以 ,得 , 所以抛物线 的方程为 , (4分) (2)由 点纵坐标为 ,得 点横坐标为 ,设 ,重心 , 因为直线 过 ,所以 所以直线 的方程为 ,即 , (5分) 代入 ,得 , 所以 ,得 ,所以 , 因为 , ,重心在 轴上,所以 ,得 , 所以 ,所以 , 所以 即点 的横坐标为 (10分) (3)由(2)得 , , 所以 , 所以直线 的方程为 , (11分) 令 ,得 ,即 , 因为 在点 的右侧,所以 , 所以 , 令 ,则 ,, (17分) 当且仅当 ,即 取等号, 所以当 时, 取得最小值为 , 此时 ,则 ,所以 (18分) 21.(1)满足,理由如下: 因为 , , , 所以 , (1分) 在 上单调递增,在 上单调递减, 当 时, 取到最小值0,故 . 又 , 综上, 满足 性质. (4分) (2) ,理由如下: 设 ,则 , 由条件知 ,则 是 的极小值点,所以 ,即 . 当 时, , 当 时, ;当 时, ; 所以 ,即 恒成立(当且仅当 时取等号) 因此 . (10分) (3)设 , 由(2)所证的 (当且仅当 时取等号)知: , 当 时取等号. 设 ,则 , 所以 在 上单调递增,又 , 所以存在 使得 ,即 ,则 , 又 ,则 , 结合条件可得 ,所以 , 设 ,则 , 又由已知 ,则 是 的极小值点, 所以 ,即 ,结合 ,可得 ,故 , 所以 是 满足 性质的必要条件. (18分)