当前位置:首页>文档>2019年高考政治试卷(新课标Ⅲ)(空白卷)_政治历年高考真题_新·PDF版2008-2025·高考政治真题_政治(按年份分类)2008-2025_2019·政治高考真题

2019年高考政治试卷(新课标Ⅲ)(空白卷)_政治历年高考真题_新·PDF版2008-2025·高考政治真题_政治(按年份分类)2008-2025_2019·政治高考真题

  • 2026-04-14 02:40:03 2026-01-28 04:27:07

文档预览

2019年高考政治试卷(新课标Ⅲ)(空白卷)_政治历年高考真题_新·PDF版2008-2025·高考政治真题_政治(按年份分类)2008-2025_2019·政治高考真题
2019年高考政治试卷(新课标Ⅲ)(空白卷)_政治历年高考真题_新·PDF版2008-2025·高考政治真题_政治(按年份分类)2008-2025_2019·政治高考真题
2019年高考政治试卷(新课标Ⅲ)(空白卷)_政治历年高考真题_新·PDF版2008-2025·高考政治真题_政治(按年份分类)2008-2025_2019·政治高考真题
2019年高考政治试卷(新课标Ⅲ)(空白卷)_政治历年高考真题_新·PDF版2008-2025·高考政治真题_政治(按年份分类)2008-2025_2019·政治高考真题
2019年高考政治试卷(新课标Ⅲ)(空白卷)_政治历年高考真题_新·PDF版2008-2025·高考政治真题_政治(按年份分类)2008-2025_2019·政治高考真题
2019年高考政治试卷(新课标Ⅲ)(空白卷)_政治历年高考真题_新·PDF版2008-2025·高考政治真题_政治(按年份分类)2008-2025_2019·政治高考真题
2019年高考政治试卷(新课标Ⅲ)(空白卷)_政治历年高考真题_新·PDF版2008-2025·高考政治真题_政治(按年份分类)2008-2025_2019·政治高考真题
2019年高考政治试卷(新课标Ⅲ)(空白卷)_政治历年高考真题_新·PDF版2008-2025·高考政治真题_政治(按年份分类)2008-2025_2019·政治高考真题
2019年高考政治试卷(新课标Ⅲ)(空白卷)_政治历年高考真题_新·PDF版2008-2025·高考政治真题_政治(按年份分类)2008-2025_2019·政治高考真题
2019年高考政治试卷(新课标Ⅲ)(空白卷)_政治历年高考真题_新·PDF版2008-2025·高考政治真题_政治(按年份分类)2008-2025_2019·政治高考真题
2019年高考政治试卷(新课标Ⅲ)(空白卷)_政治历年高考真题_新·PDF版2008-2025·高考政治真题_政治(按年份分类)2008-2025_2019·政治高考真题

文档信息

文档格式
pdf
文档大小
0.206 MB
文档页数
7 页
上传时间
2026-01-28 04:27:07

文档内容

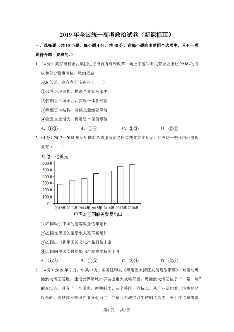
2019 年全国统一高考政治试卷(新课标Ⅲ) 一、选择题(共10小题,每小题4分,共48分。在每小题给出的四个选项中,只有一项 是符合题目要求的。) 1.(4分)某家国有企业集团进行混合所有制改革,向上下游知名民营企业出让29.8%的股 权和部分董事席位,吸纳资金 33.6亿元。这有利于该企业( ) ①改善治理结构,提高企业管理水平 ②控制上下游企业,实现一体化经营 ③调整资本结构,降低企业经营风险 ④激发企业活力,促进资本保值增值 A.①② B.①④ C.②③ D.③④ 2.(4分)2012~2018年间甲国对乙国服务贸易出口变化如图所示。促成这一变化的经济现 象有( ) ①乙国吸引甲国的游客数量逐年增长 ②乙国在甲国的留学生人数不断增加 ③乙国出口到甲国的文化产品日趋丰富 ④乙国向甲国支付的知识产权费用持续上升 A.①② B.①③ C.②④ D.③④ 3.(4分)2019年2月,中共中央、国务院印发《粤港澳大湾区发展规划纲要》。对推动粤 港澳大湾区发展,建设世界级城市群做出重大战略部署。粤港澳大湾区位于“一带一路” 的交汇点,具有“一个国家、两种制度、三个关区”的特点。从产业结构看,港澳地区 以金融、信息技术等现代服务业为主,广东九个城市以生产制造为主。关于打造粤港澳 第1页 | 共7页大湾区的重大意义,下列判断中不恰当的是( ) A.促进产业转型升级,实现中国东中西区域协调发展 B.丰富“一国两制”实践内涵,进一步密切内地与港澳交流合作 C.推进供给侧结构性改革,加快培育发展新动能、实现创新驱动发展 D.建立与国际接轨的开放型经济新体制,建设高水平参与国际经济合作新平台 4.(4分)某国是铁矿石、石油等大宗商品(以美元计价)的进口国。当美元指数持续上涨 时,该国面临通货膨胀的压力。不考虑其他因素的影响,这一传导过程是( ) ①进口原材料成本上升 ②居民消费价格上涨 ③生产者出厂价格上涨 ④生产者购进价格上涨 A.①→④→③→②B.①→④→②→③ C.④→①→③→②D.④→①→②→ ③ 5.(4分)2018年,西藏自治区开始实施以“神圣国土守护者、幸福家园建设者”为主题的 乡村振兴工程,将边民脱贫致富和守边固边相结合,补齐基础设施和公共服务的短板, 加快边境地区发展。边疆民族地区实施乡村振兴工程 ( ) ①是充分发挥民族地区资源优势的要求 ②保障了自治区少数民族人民的自治权 ③是保证边防安全、维护国家统一的重要举措 ④有利于实现共同富裕,激发各族人民的爱国热情 A.①② B.①③ C.②④ D.③④ 6.(4分)目前,上海合作组织共有8个成员国、4个观察员国、6个对话伙伴,同联合国 等国际和地区组织建立了广泛的合作关系;其成员国的经济和人口总量分别约占全球的 20%和40%.在2018年青岛峰会上,上海合作组织共通过23份安全、经济、人文等领 域合作文件。上海合作组织是( ) ①横跨欧亚大陆的地区性国家联盟 ②推动经济全球化深入发展的主导力量 ③维护地区及全球安全稳定的重要因素 ④坚持开放包容、促进互利合作的多边机制 第2页 | 共7页A.①② B.①④ C.②③ D.③④ 7.我国已成为全球生态文明建设的重要参与者、贡献者、引领者。据此完成7~8题。 2018年5月,习近平在全国生态环境保护大会上发表重要讲话强调,新时代推进生态文 明建设,必须坚持共谋全球生态文明建设,深度参与全球环境治理,形成世界环境保护 和可持续发展的解决方案,引导应对气候变化国际合作。这一论述( ) ①表明全球环境治理的价值共识已经形成 ②反映中国拥有全球环境治理的话语主导权 ③彰显中国在全球环境治理中的文化自觉和文化自信 ④表达中国为全球环境治理贡献智慧和力量的责任担当 A.①② B.①④ C.②③ D.③④ 8.我国已成为全球生态文明建设的重要参与者、贡献者、引领者。据此完成7~8题。 2018年,某省人大环境与资源保护委员会建立环境资源保护监督系统。通过该系统,人 大代表能够在线查阅政府部门对所反映问题的受理、处置和反馈情况,还可查阅国家法 律和本省地方性法规。建立环境资源保护监督系统,能够( ) ①强化人大环境监督机构的职能 ②畅通人大代表监督环境问题的渠道 ③提高人大代表处置环境问题的能力 ④增强人大代表监督环境问题的时效性 A.①② B.①③ C.②④ D.③④ 9.《中共中央 国务院关于开展质量提升行动的指导意见》提出,实施中国精品培育工程, 加强对中华老字号、地理标志等品牌培育和保护,培育更多百年老店和民族品牌。据此 完成9~10题。 商务部先后认定两批中华老字号共1128家,平均有160多年的历史。北京全聚德、上海 老凤祥、天津狗不理……这些品牌耳熟能详,在老百姓中间有良好口碑和广泛影响力。 这表明( ) ①中华老字号具有明显的地域文化特征 ②中华老字号的文化传承取决于品牌的认定 ③中华老字号的文化价值不受社会历史变迁影响 ④中华老字号的影响力得益于其包含的民族文化基因 A.①② B.①④ C.②③ D.③④ 第3页 | 共7页10.《中共中央 国务院关于开展质量提升行动的指导意见》提出,实施中国精品培育工程, 加强对中华老字号、地理标志等品牌培育和保护,培育更多百年老店和民族品牌。据此 完成9~10题。 中华老字号要成为“常青树”,需要不断创新。从哲学上看,这是因为( ) ①只有不断吐故纳新,事物才能保持旺盛的生命力 ②事物的优势和劣势相互转化依赖于人的主观能动性 ③只要不断批判和否定,新事物就能保持质的稳定性 ④事物只有通过自我否定、自我超越才能得到不断发展 A.①② B.①④ C.②③ D.③④ 11.(4分)毛泽东说:“战争历史中有在连战皆捷之后吃了一个败仗以至全功尽弃的,有在 吃了许多败仗之后打了一个胜仗因而开展了新局面的。”其中蕴含的哲学道理是( ) A.处于非支配地位的部分及其变化不影响整体的功能 B.在一些事物的存在和发展中,整体服从和服务于部分 C.关键部分的功能及其变化甚至对整体功能起决定作用 D.只要充分发挥部分的作用,就能实现整体的最优目标 12.(4分)废旧塑料的回收利用一直受到污水排放问题的困扰。一位“草根发明家”转变 思路,经过反复试验,研制成无水清洗的废旧塑料自动化生产线,脏兮兮的废旧塑料进 入生产线,变成了“新鲜、干净”的塑料颗粒。这表明 ( ) ①实践的需要推动人的创新能力不断发展 ②批判性思维能够促进认识发展和实践创新 ③观念创新决定着创新思维活动的内容和性质 ④能否应用于实践是衡量创新成功与否的唯一标准 A.①② B.①④ C.②③ D.③④ 二、非选择题:共52分. 13.(26分)阅读材料,完成下列要求。 推动形成全面开放新格局是党中央的决策部署。 材料一 党的十九大要求实行高水平的贸易和投资自由化便利化政策,保护外商投资合法 权益。制定外资基础性法律列入《全国人大常委会2018年立法工作计划》。 第4页 | 共7页商务部、国家发展改革委、司法部经征求中央财办、外交部、财政部、人民银行 等72个中央有关单位以及地方人民政府等方面的意见,起草形成了《中华人民共和国外 商投资法(草案)》。 2018年12月,全国人大常委会初次审议这一草案并在中国人大网公布,向社会 征求意见。2019年3月,十三届全国人大二次会议审议通过《中华人民共和国外商投资 法》。 材料二 近几年中国新能源汽车发展迅速,生产企业已达200多家,产业集群优势明显。 2018年,中国取消新能源汽车外资股比限制,允许该领域实行外资独资经营。新通过的 《外商投资法》对外商投资实行准入前的国民待遇加负面清单管理制度。 某公司是国外一家具有全球影响力的新能源汽车企业,其设计与生产理念同当前 全球先进制造、绿色能源、智能制造高度契合,2018年该公司入选世界品牌500强。2019 年1月,该公司决定在上海投资70亿美元开工建设集新能源汽车的研发、制造、销售等 功能于一体的超级工厂,预计年生产纯电动汽车50万辆。 2018年,中国新能源汽车产销分别完成127万辆和125.6万辆,比上年分别增长 59.9%和61.7%.市场预测,到2028年新能源汽车在中国的销量将超过1100万辆。 (1)结合材料一,运用政治生活知识说明外商投资法的制定是如何体现依法治国方略的。 (2)结合材料二,运用经济生活知识分析该公司为何在中国投资建设新能源汽车工厂。 第5页 | 共7页14.(26分)阅读材料,完成下列要求。 历史上,风沙、盐碱、内涝肆虐,兰考民生艰难、百姓贫苦。上世纪六十年代, “县委书记的好榜样”﹣﹣焦裕禄依靠群众,开启治理“三害”的征程,改善了兰考自 然环境,形成了“亲民爱民、艰苦奋斗、科学求实、迎难而上、无私奉献”的焦裕禄精 神。 2014年,在党的群众路线教育实践活动中,习近平总书记选择兰考作为联系点, 叮嘱当地干部要切实关心贫困群众,带领群众艰苦奋斗,早日脱贫致富。 “改变兰考贫困的面貌,让百姓过上好日子。”兰考县委牢记总书记嘱托,把脱贫作为第 一民生工程,提出了“三年脱贫,七年小康”的奋斗目标。兰考广大党员干部密切联系 群众,深入调查研究,找到了制约经济发展的瓶颈,制定了切实可行的脱贫措施。在焦 裕禄精神的鼓舞下,兰考人民团结奋斗,因地制宜,创造性地建立“公司+贫困户”“经 营大户+贫困户”等模式,发展温室大棚种植、畜牧业、民族乐器制作等产业,打赢了艰 苦卓绝的脱贫攻坚战。2017年,兰考在河南省率先摘掉贫困县的帽子。2018年,兰考入 选中国“幸福百县榜”。 (1)结合材料并运用唯物史观知识,说明在脱贫致富实践中兰考县委是如何贯彻群众路 线的。 (2)弘扬焦裕禄精神对于打赢脱贫攻坚战具有重要意义,运用中华民族精神的知识并结 合材料加以分析。 (3)班级学习园地“如何学习焦裕禄艰苦奋斗精神”栏目征稿,请列举两个写作要点。 第6页 | 共7页第7页 | 共7页