当前位置:首页>文档>重难点专题17区域特征分析与区域差异比较(解析版)_2025年新高考资料_二轮复习_2025年高三地理高考二轮复习专项提升(新高考通用)3405802_重点·难点·热点专练(分地区)

重难点专题17区域特征分析与区域差异比较(解析版)_2025年新高考资料_二轮复习_2025年高三地理高考二轮复习专项提升(新高考通用)3405802_重点·难点·热点专练(分地区)

  • 2026-04-29 11:38:07 2026-04-29 11:28:13

文档预览

重难点专题17区域特征分析与区域差异比较(解析版)_2025年新高考资料_二轮复习_2025年高三地理高考二轮复习专项提升(新高考通用)3405802_重点·难点·热点专练(分地区)
重难点专题17区域特征分析与区域差异比较(解析版)_2025年新高考资料_二轮复习_2025年高三地理高考二轮复习专项提升(新高考通用)3405802_重点·难点·热点专练(分地区)
重难点专题17区域特征分析与区域差异比较(解析版)_2025年新高考资料_二轮复习_2025年高三地理高考二轮复习专项提升(新高考通用)3405802_重点·难点·热点专练(分地区)
重难点专题17区域特征分析与区域差异比较(解析版)_2025年新高考资料_二轮复习_2025年高三地理高考二轮复习专项提升(新高考通用)3405802_重点·难点·热点专练(分地区)
重难点专题17区域特征分析与区域差异比较(解析版)_2025年新高考资料_二轮复习_2025年高三地理高考二轮复习专项提升(新高考通用)3405802_重点·难点·热点专练(分地区)
重难点专题17区域特征分析与区域差异比较(解析版)_2025年新高考资料_二轮复习_2025年高三地理高考二轮复习专项提升(新高考通用)3405802_重点·难点·热点专练(分地区)
重难点专题17区域特征分析与区域差异比较(解析版)_2025年新高考资料_二轮复习_2025年高三地理高考二轮复习专项提升(新高考通用)3405802_重点·难点·热点专练(分地区)
重难点专题17区域特征分析与区域差异比较(解析版)_2025年新高考资料_二轮复习_2025年高三地理高考二轮复习专项提升(新高考通用)3405802_重点·难点·热点专练(分地区)
重难点专题17区域特征分析与区域差异比较(解析版)_2025年新高考资料_二轮复习_2025年高三地理高考二轮复习专项提升(新高考通用)3405802_重点·难点·热点专练(分地区)
重难点专题17区域特征分析与区域差异比较(解析版)_2025年新高考资料_二轮复习_2025年高三地理高考二轮复习专项提升(新高考通用)3405802_重点·难点·热点专练(分地区)
重难点专题17区域特征分析与区域差异比较(解析版)_2025年新高考资料_二轮复习_2025年高三地理高考二轮复习专项提升(新高考通用)3405802_重点·难点·热点专练(分地区)
重难点专题17区域特征分析与区域差异比较(解析版)_2025年新高考资料_二轮复习_2025年高三地理高考二轮复习专项提升(新高考通用)3405802_重点·难点·热点专练(分地区)
重难点专题17区域特征分析与区域差异比较(解析版)_2025年新高考资料_二轮复习_2025年高三地理高考二轮复习专项提升(新高考通用)3405802_重点·难点·热点专练(分地区)
重难点专题17区域特征分析与区域差异比较(解析版)_2025年新高考资料_二轮复习_2025年高三地理高考二轮复习专项提升(新高考通用)3405802_重点·难点·热点专练(分地区)
重难点专题17区域特征分析与区域差异比较(解析版)_2025年新高考资料_二轮复习_2025年高三地理高考二轮复习专项提升(新高考通用)3405802_重点·难点·热点专练(分地区)
重难点专题17区域特征分析与区域差异比较(解析版)_2025年新高考资料_二轮复习_2025年高三地理高考二轮复习专项提升(新高考通用)3405802_重点·难点·热点专练(分地区)
重难点专题17区域特征分析与区域差异比较(解析版)_2025年新高考资料_二轮复习_2025年高三地理高考二轮复习专项提升(新高考通用)3405802_重点·难点·热点专练(分地区)
重难点专题17区域特征分析与区域差异比较(解析版)_2025年新高考资料_二轮复习_2025年高三地理高考二轮复习专项提升(新高考通用)3405802_重点·难点·热点专练(分地区)
重难点专题17区域特征分析与区域差异比较(解析版)_2025年新高考资料_二轮复习_2025年高三地理高考二轮复习专项提升(新高考通用)3405802_重点·难点·热点专练(分地区)
重难点专题17区域特征分析与区域差异比较(解析版)_2025年新高考资料_二轮复习_2025年高三地理高考二轮复习专项提升(新高考通用)3405802_重点·难点·热点专练(分地区)
重难点专题17区域特征分析与区域差异比较(解析版)_2025年新高考资料_二轮复习_2025年高三地理高考二轮复习专项提升(新高考通用)3405802_重点·难点·热点专练(分地区)
重难点专题17区域特征分析与区域差异比较(解析版)_2025年新高考资料_二轮复习_2025年高三地理高考二轮复习专项提升(新高考通用)3405802_重点·难点·热点专练(分地区)
重难点专题17区域特征分析与区域差异比较(解析版)_2025年新高考资料_二轮复习_2025年高三地理高考二轮复习专项提升(新高考通用)3405802_重点·难点·热点专练(分地区)
重难点专题17区域特征分析与区域差异比较(解析版)_2025年新高考资料_二轮复习_2025年高三地理高考二轮复习专项提升(新高考通用)3405802_重点·难点·热点专练(分地区)
重难点专题17区域特征分析与区域差异比较(解析版)_2025年新高考资料_二轮复习_2025年高三地理高考二轮复习专项提升(新高考通用)3405802_重点·难点·热点专练(分地区)
重难点专题17区域特征分析与区域差异比较(解析版)_2025年新高考资料_二轮复习_2025年高三地理高考二轮复习专项提升(新高考通用)3405802_重点·难点·热点专练(分地区)
重难点专题17区域特征分析与区域差异比较(解析版)_2025年新高考资料_二轮复习_2025年高三地理高考二轮复习专项提升(新高考通用)3405802_重点·难点·热点专练(分地区)
重难点专题17区域特征分析与区域差异比较(解析版)_2025年新高考资料_二轮复习_2025年高三地理高考二轮复习专项提升(新高考通用)3405802_重点·难点·热点专练(分地区)
重难点专题17区域特征分析与区域差异比较(解析版)_2025年新高考资料_二轮复习_2025年高三地理高考二轮复习专项提升(新高考通用)3405802_重点·难点·热点专练(分地区)
重难点专题17区域特征分析与区域差异比较(解析版)_2025年新高考资料_二轮复习_2025年高三地理高考二轮复习专项提升(新高考通用)3405802_重点·难点·热点专练(分地区)
重难点专题17区域特征分析与区域差异比较(解析版)_2025年新高考资料_二轮复习_2025年高三地理高考二轮复习专项提升(新高考通用)3405802_重点·难点·热点专练(分地区)
重难点专题17区域特征分析与区域差异比较(解析版)_2025年新高考资料_二轮复习_2025年高三地理高考二轮复习专项提升(新高考通用)3405802_重点·难点·热点专练(分地区)
重难点专题17区域特征分析与区域差异比较(解析版)_2025年新高考资料_二轮复习_2025年高三地理高考二轮复习专项提升(新高考通用)3405802_重点·难点·热点专练(分地区)
重难点专题17区域特征分析与区域差异比较(解析版)_2025年新高考资料_二轮复习_2025年高三地理高考二轮复习专项提升(新高考通用)3405802_重点·难点·热点专练(分地区)
重难点专题17区域特征分析与区域差异比较(解析版)_2025年新高考资料_二轮复习_2025年高三地理高考二轮复习专项提升(新高考通用)3405802_重点·难点·热点专练(分地区)
重难点专题17区域特征分析与区域差异比较(解析版)_2025年新高考资料_二轮复习_2025年高三地理高考二轮复习专项提升(新高考通用)3405802_重点·难点·热点专练(分地区)
重难点专题17区域特征分析与区域差异比较(解析版)_2025年新高考资料_二轮复习_2025年高三地理高考二轮复习专项提升(新高考通用)3405802_重点·难点·热点专练(分地区)
重难点专题17区域特征分析与区域差异比较(解析版)_2025年新高考资料_二轮复习_2025年高三地理高考二轮复习专项提升(新高考通用)3405802_重点·难点·热点专练(分地区)
重难点专题17区域特征分析与区域差异比较(解析版)_2025年新高考资料_二轮复习_2025年高三地理高考二轮复习专项提升(新高考通用)3405802_重点·难点·热点专练(分地区)
重难点专题17区域特征分析与区域差异比较(解析版)_2025年新高考资料_二轮复习_2025年高三地理高考二轮复习专项提升(新高考通用)3405802_重点·难点·热点专练(分地区)
重难点专题17区域特征分析与区域差异比较(解析版)_2025年新高考资料_二轮复习_2025年高三地理高考二轮复习专项提升(新高考通用)3405802_重点·难点·热点专练(分地区)

文档信息

文档格式
docx
文档大小
6.129 MB
文档页数
37 页
上传时间
2026-04-29 11:28:13

文档内容

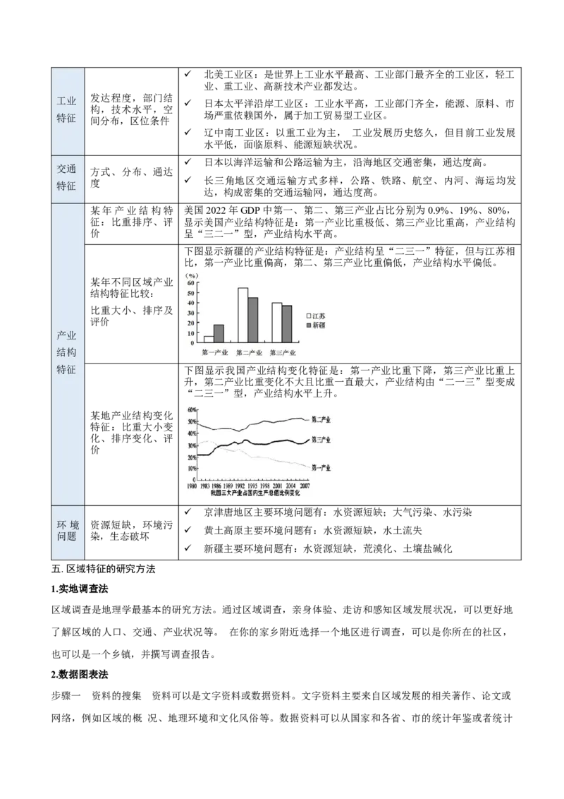
重难点专题 17 区域特征分析与区域差异比较 目 录 命题趋势解读 核心知识脉络 命题点技巧点拨 重难点01 区域的区位特征和地理环境特征分析 重难点02 区域差异比较 易混易错总结 限时检测(建议用时:60分钟) 按住 ctrl键,同时点击目录,即可跳转到对应 内容 三年考情分析 2025考向预测 考点预测:上海卷在区域区位和  2024上海卷T1,T4,T8,T11,T20,T21,T24,T27, 地理环境特征分析,主要是考查内容 T28,T29,T30:影响区域的大气环流类型;区域气候类 是区域地理中的“在哪里、有什么地 型、河水补给类型、河流径流量变化特征;河口区域盐度 理现象”,需继续关注区域地理位置 季节变化特征、潮汐变化特征、河海相互作用的时空差 及其意义的判读、区域自然和人文环 异;区域植被差异;区域自然环境地域分异规律;区域冰 境各要素、自然资源与自然灾害、人 川融化速度的空间差异;区域生态环境变化趋势;区域产 地关系发展状况等的特征及其时空变 业结构变化特征。 化规律的判读。  2023上海卷T3,T10,T11,T12,T15,T16,T19,T20, 考法预测:2024年是上海市执行 T25,T26:区域海陆位置特征;城市机场位置特征;区域 新的课程标准进行高考命题的第一 气候类型、地形类型、降水特征、某时段的天气特征;岛 年,与往年相比,试题最大的变化是 屿海岸地貌特征、沿海潮汐变化特征;区域板块位置特 以区域为载体,综合各类题型,考查 征;区域自然灾害时空差异状况;区域自然环境地域分异 学生地理素养的状况。故2025年题目 规律;区域产业结构变化特征。 仍然要求学生阅读区域地理情境的图 文信息,包括各类地理位置信息、自  2022 上海卷 T2,T11,T14,T15,T17,T20,,T21, 然地理和人文地理要素空间分布信息 T23、T25,T26:区域的半球与五带位置、板块位置;区域 和数据统计信息、景观图等,判读区 气候类型与植被类型;降水的区域差异;区域人口分布特 域地理环境及其变化特征,进而进一 征;畜牧业结构的区域差异;区域可再生能源季节变化特 步考查特征的成因、影响、对策等。 征;区域文化差异;区域工业分布特征;城市土地利用变 试题数量 8-15 题,分数占比 16- 化趋势。 25%。重难点 01 区域的区位特征与地理环境特征分析 一. 区域的区位特征分析 可以利用经纬网、区域轮廓、区域内的重要地理事物等信息,确定区域的地理位置及其与周围区域的联系。 可以从以下几方面分析: 分析思路 根据纬度、经度确定半球位置,再根据经度、纬度的高低确定大体位置。这需要熟记部 分有代表性地点的经纬度位置。例如:上海位于121°E、31°N,某地的经纬度位置是 经纬度位置 110°E、28°N,该地距离上海较近,并位于上海西南方向,其气候、水文、植被、土壤等 自然地理要素和上海类似。180°经线经过太平洋中部,若某地的经度为175°E、0°,该地 位于太平洋。 根据海岸线形状,区分岛屿、半岛、大陆东岸、西岸、大洋东岸、西岸等。这需要在地 海陆位置 图上多描画海岸线,方能烂熟于心。 根据山脉分布走向、河流干支流组合形状与流向、湖泊形状等方面进行分析判断。如 山河湖位置 “几”字形的黄河、在赤道附近东流入海的亚马孙河等。这需要在地图上多描画山脉、 河流干流,填涂湖泊,方能烂熟于心。 相邻位置 根据国家或区域轮廓、邻国、邻省轮廓进行分析。这需要在地图上多描画国界、省界,方能烂熟于心。 区域代表性的自然景观、文物古迹、现代建筑物、文化现象等往往是定位的重要线索。 特殊景观 如有企鹅的南极地区、有金字塔的埃及、有故宫的中国北京、有窑洞的黄土高原(山 西/陕西)、原野上有长颈鹿斑马的非洲草原等。 不同地区的气候特征、自然带特征、动物特征、土壤特征、水文特征、地貌特征、人文 典型区域特 特征等都具有一定的规律性或特殊性,这些特征是区域判断的重要线索。如根据降水和 征 气温情况大致可以判断该区域位于低纬还是高纬,位于内陆还是沿海,位于大陆东岸还 是大陆西岸。绿洲一般出现在气候干旱的热带沙漠气候区或温带大陆性地区。 二.区域的环境特征及意义分析 区域是一个相对独立的地理单元,结合自然和人文地理环境特征,理解区域的特征及其意义。 三.不同区域之间关系的分析 区域是人们根据特定目的在地球表面划分的空间范围。因划分指标不同,区域类型多样,区域范围大小不 一,区域之间既有共性,也有差异。 1.较高层级的区域往往与较大尺度对应;较大尺度的区域可包含若干较小尺度的区域。如长江经济带包括 长三角城市群、长江中游城市群、成渝城市群三个同等级的小尺度区域。 2.不同尺度的区域发展可以相互促进,如长三角经济区与长江经济带之间发展的相互促进作用。 3.同一尺度的区域,如江苏省与新疆维吾尔自治区都属于我国省级行政区,但因面积大小和地理位置的差 异,具有不同的发展条件和发展方向, 一般来说,大尺度区域关注地理环境的整体性,忽略细节,并注重一般规律及“普适性”;小尺度区域则 关注具体,注重细节,尤其关注“普适性”基础上的“特殊性”。 四.区域地理环境要素特征分析 1.区域地理环境要素特征的分析思路2.区域地理环境要素特征的具体分析 ①地理位置特征及其意义的分析 描述要点 典型案例(话术) 地理意义  中国绝大部分位于北温带,南  生物(农作物)类型与分布。例如俄 部一小部分位于热带 罗斯有丰富的亚寒带针叶林 低 纬 中 纬 高 纬度 纬/五带/热量  俄罗斯位于中高纬  不同区域之间农产品贸易结构。如中 位置 带/具体纬度  长三角位于亚热带 国从印度尼西亚进口大量的热带农产 品  新加坡位于4°N  新疆位于亚欧大陆中部;  临海区域具有海洋资源丰富的优势, 进而发展海洋产业 海陆 大陆大洋的方  印度位于亚欧大陆南部、南临 印度洋;  内陆区域缺乏出海通道 位置 位/内陆  日本位于亚洲东部,为西北太  判断自然与人文环境受海洋影响的程 平洋岛国。 度  美国北与加拿大相邻,南与墨  邻国之间发展国际贸易/发生领土争 西哥相邻; 端/产业转移 相邻 邻国/邻省 位置  上海与浙江、江苏相邻;  邻省之间区域一体化发展  中国与菲律宾隔南海相望。  海上邻国之间易有海洋权益争端  武汉位于汉江与长江汇合处;  影响区域交通便利的程度,判断区域 对外开放的优势 交通位置/河湖  上海位于大陆海岸线中点、长 特殊 位置/地形区位 江入海口;  判断地质灾害 位置 置 / 板 块 位  山西位于黄土高原 置……  日本位于亚欧板块与太平洋板 块的消亡边界 ②区域自然地理要素特征的分析 具体内容 典型案例(话术)  云南省为高原地形,喀斯特地貌,地表起伏大。  内蒙古为高原地形,多风成地貌,地势平坦。 地形类型、地势、特殊  日本地形以山地为主,地表起伏大。 地形特征 地貌、海岸线曲直、特 殊地貌  海南岛地形以山地为主,地势中间高、四周低,海岸线曲 折。  江苏省地形以平原为主,地势平坦,海岸线平直气候类型,气温和降水  海南岛为热带季风气候,全年高温,有明显的旱季、雨 气候特征 季节变化特征 季。 年均温高/低,气温季节  长江中下游地区夏季高温,冬季温和 气温特征 (年)变化、日变化  青藏高原夏季温和冬季寒冷,气温年较差小、日较差大  长江中下游地区年降水量大,降水季节和年际变化大,夏 季多雨、冬季少雨 年降水量大/小,季节变 降水特征 化和年际变化特征  新疆年降水量小,全年少雨,降水集中在夏季  刚果盆地年降水量大,全年多雨 流量大/小,流量季节变  长江流量大,且季节、年际变化大,有夏汛,含沙量小, 水文 化大(汛期)/小,含沙 无结冰期,山区水流速度快,平原地区水流缓慢。 特征 量大/小,有/无结冰期,  塔里木河流量小,且季节变化大,有夏汛,冬季断流,含 水流速度快/慢 沙量大,有结冰期,水流缓慢。 河流  长江源于青藏高原,向东注入东海,是中国最长、流域面 积最大的河流;上游多峡谷、中游多曲流,下游江阔水 特征 发源地、流向、长度、 浅;支流众多,河湖密布。 水系 流域面积,河道特征,  塔里木河源于天山、昆仑山,最终在沙漠里消失,是我国 特征 干支流组合形状,注入 最大的内流河,支流少,多数河段为季节性河流。 的海洋  海南岛河流众多,呈放射状流入南海,河流短小,多峡 谷。 土壤特征 颜色,质地,肥力大/小 华北地区多黄土,土质疏松,肥沃  长江中下游地区多亚热带常绿阔叶林 植被特征 植被类型,植被覆盖率  北非地区热带荒漠广布,植被覆盖率低  我国自然资源特征:类型多样,总量大、人均少,地区分 布不均。 类型、总量,人均量, 自然资源特征 质量,分布  内蒙古自然资源特征:类型多样,草场资源、煤炭、天然 气、风能、太阳能等资源丰富,耕地资源、森林资源和水 资源缺乏,耕地资源质量较差 我国气象灾害特征:类型多样,受灾面积广,灾害损失大。冬 自然灾害特征 类型、分布、危害 半年多寒潮、冻害、暴风雪;东南沿海多台风;东部地区多旱 灾、涝灾;北方春季多沙尘暴。 ③区域人文地理要素特征的分析 具体内容 典型案例(话术)  中国人口总量大、增长慢,人口老龄化;“黑河—腾冲”一线以东地区 数量及增长状况, 人口 人口密集,以西地区人口稀疏;人口素质偏低 素 质 , 分 布 ( 密 特征 度),结构,问题  埃及人口总量较多、增长快,少年儿童比重大,人口素质低;地广人 稀,人口主要集中分布在尼罗河沿岸和地中海沿海地区 城市 城市数量、规模、  长三角地区城市数量众多,大中小城市网络体系已经形成,城市化水平 分布,城市体系, 高,城市多沿河流、铁路、公路分布,部分城市存在环境污染、交通拥 特征 城市化水平,问题 堵、住房紧张等问题  长江三角洲:以种植业为主,以种植水稻为主,规模小,科技水平低, 结构、主要农作 农业 物、生产规模、科 机械化水平低,集约化程度高,生产方式精耕细作,单产高,粮食商品 技水平、机械化水 率低 特征 平、生产经营方  美国中东部:种植业和畜牧业有机结合,以种植玉米、小麦、棉花和饲 式、商品率 养牛羊为主,规模大,科技水平高,机械化水平高,商品率高 北美工业区:是世界上工业水平最高、工业部门最齐全的工业区,轻工 业、重工业、高新技术产业都发达。 工业 发达程度,部门结  日本太平洋沿岸工业区:工业水平高,工业部门齐全,能源、原料、市 构,技术水平,空 特征 间分布,区位条件 场严重依赖国外,属于加工贸易型工业区。  辽中南工业区:以重工业为主, 工业发展历史悠久,但目前工业发展 水平低,面临原料、能源短缺状况。  日本以海洋运输和公路运输为主,沿海地区交通密集,通达度高。 交通 方式、分布、通达 特征 度  长三角地区交通运输方式多样,公路、铁路、航空、内河、海运均发 达,构成密集的交通运输网,通达度高。 某年产业结构特 美国2022年GDP中第一、第二、第三产业占比分别为0.9%、19%、80%, 征:比重排序、评 显示美国产业结构特征是:第一产业比重极低、第三产业比重高,产业结构 价 呈“三二一”型,产业结构水平高。 下图显示新疆的产业结构特征是:产业结构呈“二三一”特征,但与江苏相 比,第一产业比重偏高,第二、第三产业比重偏低,产业结构水平偏低。 某年不同区域产业 结构特征比较: 比重大小、排序及 评价 产业 结构 特征 下图显示我国产业结构变化特征是:第一产业比重下降,第三产业比重上 升,第二产业比重变化不大且比重一直最大,产业结构由“二一三”型变成 “二三一”型,产业结构水平上升。 某地产业结构变化 特征:比重大小变 化、排序变化、评 价  京津唐地区主要环境问题有:水资源短缺;大气污染、水污染 环 境 资源短缺,环境污  黄土高原主要环境问题有:水资源短缺,水土流失 问题 染,生态破坏  新疆主要环境问题有:水资源短缺,荒漠化、土壤盐碱化 五.区域特征的研究方法 1.实地调查法 区域调查是地理学最基本的研究方法。通过区域调查,亲身体验、走访和感知区域发展状况,可以更好地 了解区域的人口、交通、产业状况等。 在你的家乡附近选择一个地区进行调查,可以是你所在的社区, 也可以是一个乡镇,并撰写调查报告。 2.数据图表法 步骤一 资料的搜集 资料可以是文字资料或数据资料。文字资料主要来自区域发展的相关著作、论文或 网络,例如区域的概 况、地理环境和文化风俗等。数据资料可以从国家和各省、市的统计年鉴或者统计局网站搜集,例如地区面 积、人口数量、地区生产总值、人均地区生产总值和产业结构状况等。 步骤二 资料的整理与统计 将搜集到的原始资料进行整理、核实、分类和汇总,用统计表和统计图的形 式将数据展示出来,便于直观地看到区域发展状况。 3.应用地理信息技术法 叠加了卫星图片的三维 GIS 软件,可以帮助我们更加直观地看到地球上的某一区域的景观。 通过软件, 可以观察区域的地理位置、海拔、地貌类型、河湖分布、植被状况和人口分布等。 【点拨】描述地理事物和现象分布特征的方法 1. 描述“点”状地理事物分布特征的方法 话术:该事物沿某个方向(或某个事物)分布,该地理事物在某地理事物的分布方位。 例如:下图所示M江流域城镇的地理分布特点是:分布不均。沿河流、沿交通线分布;南部和中部多,北 部少。 2.描述“线”状地理事物的分布规律的方法 话术:等值线的走向、密度,数值沿变化方向逐渐变大/小 例如:下图显示我国东部地区1月等温线特征是:大致呈东西走向延伸,比较密集,气温自南向北渐低, 南北温差大。3.描述“面”状地理事物的事物分布特征 例1:下图显示:①非洲气候类型分布规律是:以赤道为轴、南北对称分布; ②非洲热带沙漠气候分布规律是:20°--30°大陆中部、西部。 例2.下图显示: ①图示地区主要地形区分布状况是:阴山山脉位于北部,呈东西走向;河套平原位于中部,东西方向延伸; 鄂尔多斯高原位于南部,沙漠广布。②河套平原年降水量分布特征是:年降水量大多在150-400毫米之间,自东向西逐渐减少。 典型例题 1.阅读伊朗相关图文材料,完成下列要求。 材料一:“一带一路”是“丝绸之路经济带”和“21世纪海上丝绸之路”的简称。我国知名企业奇瑞汽车 作为“一带一路”探路先锋,现已覆盖沿线46个国家,是中国制造在沿线国家的优秀名片。通过深入研究 当地自然环境、产业政策、消费习惯和行业竞争现状,进行相应的产品适应性测试,使奇瑞汽车能够快速 适应海外市场。目前,奇瑞汽车在伊朗拥有年产6万辆整车的合资工厂、150多家销售和服务网点、2500 多名当地员工,并计划扩建年产10万辆整车及零部件配套工程,是伊朗第一大外资汽车企业。下图1为伊 朗位置和等高线地形图,图2为伊朗首都德黑兰气候资料统计图,图3为一带一路简图。 材料二:“瑞虎7”是奇瑞2.0系列产品中首款SUV车型,它的研发将进一步巩固和提升奇瑞在伊朗汽车 市场的优势地位,推动奇瑞国际化战略纵深发展。 (1)读图描述伊朗的地理位置,并归纳其重要性(2)根据伊朗自然环境特征,推测“瑞虎7”需要进行适应性测试的主要项目。 (3)分析“一带一路”战略的实施对“瑞虎7”登陆伊朗市场的有利影响。 【答案】(1)地处亚洲西部,南临波斯湾和阿拉伯海,拥有丰富的石油战略资源;扼守霍尔木兹海峡这一 石油输出的战略通道;处在陆上“丝绸之路经济带”和“21世纪海上丝绸之路”的战略交汇节点。 (2)海拔较高,多高原山地上的道路,需要测试车辆的爬坡性能;气候干旱,降水量少,多风沙,需要测 试车辆抗风沙能力;夏季炎热,多高温天气,需要测试车辆散热制冷性能和轮胎等部件的耐高温性能。 (3)实施“一带一路”战略,提升了政策支持力度,有利于降低关税和贸易壁垒,降低政策风险;有利于 加快产品适应性测试进程,提高产品的地区适应性和服务质量,树立优秀品牌形象;有利于基础设施建设, 加快销售、服务网络的构建,及时反馈市场信息,提高企业抗风险能力。 【解析】(1)图1、图2显示伊朗地处亚州西部,南临波斯湾(世界上重要的石油运输航线之一)和阿拉 伯海,位于波斯湾沿岸,拥有丰富的石油战略资源;地处霍尔木兹海峡周边地区,是波斯湾石油出海的必 经之地,扼守霍尔木兹海峡这一石油输出的战略通道;处在陆上“丝绸之路经济带”和“21世纪海上丝绸 之路”的战略交汇节点,对我国的一带一路战略推进至关重要。 (2)根据伊朗的自然环境特征可知,伊朗地形以高原山地为主,地势起伏较大,需要测试车辆的爬坡性 能;伊朗多温带大陆性气候,气候干旱,降水量少,多风沙,需要测试车辆抵御风沙能力;伊朗夏季高温, 需要测试车辆散热制冷性能和轮胎等部件的耐高温性能。 (3)一带一路是中国倡导的国际经济合作政策,伊朗接受中国的“一带一路”战略,有利于提升了伊朗 政策支持力度,有利于降低关税和贸易壁垒,降低产品出口成本,同时降低政策风险;政策的支持也加快 产品适应性测试进程,提高产品在当地的适应性和服务质量,树立优秀品牌形象,进一步拓宽市场;一带 一路能帮助当地基础设施建设,加快销售、服务网络的构建,交通以及信息条件的改善能及时反馈市场信 息,提高我国企业抗风险能力。 2.福建省平潭岛位于世界著名的三大风口之一,特殊的地理位置使浩荡长风在此常年不息,据统计,平潭 岛全年6级以上风达300多天,7级以上风达200多天。平潭童谣唱道:平潭岛,平潭岛,光长石头不长草, 砂石满地跑,房屋像碉堡。结合下图,回答下列问题。(1)平潭岛多花岗岩分布,主要形成于约1.5亿年前的中生代,符合这一时期的地球环境描述的是______ (单选) A. 被子植物时代 B. 重要的成煤时期 C. 哺乳动物时代 D. 喜马拉雅运动 (2)平潭岛上年平均风速最大的季节是____(单选:A.春夏季节 B.秋冬季节),受_____(单选:A 副热带高压 B.蒙古-西伯利亚高压)影响,主导风向为____(单选:A.偏北风 B.偏南风);7-9月, 因受____(单选:A.气旋 B.准静止锋)影响,是一年中风速极值出现的时间。 (3)近年来,平潭岛年8级以上大风日数量呈下降趋势,可能的原因是______(不定项选择) A. 城市建筑物不断增加 B. 沿海防护林大量种植 C. 风力发电站大量建设 D. 全球极端性天气频发 (4)石头厝是平潭岛上的典型民居,主要由花岗岩建成,其墙厚窗小、结构坚固,从远处看去像一座座 碉堡,它的建筑特点主要是为了抵御__________(单选) ①洪涝 ②台风 ③风沙 ④地震 A. ①③ B. ①④ C. ②③ D. ②④ (5)从社会经济条件角度,分析我国近海风力发电与西北内陆风力发电相比的优势。 (6)平潭为推进“零碳岛”建设,提出全面推进“产业绿色化、生态产业化、能源清洁化、生活低碳 化”,谈谈你对这句话的理解。 【答案】 (1)B (2)B B A A(3)AB (4)C (5)近海风力发电靠近沿海经济发达地区,电力需求大/不需要长距离输电,电能损耗少,成本低;近海 地区交通运输条件优越,海运便捷,有利于发电设备和物资的运输;近海地区比于西北地区,技术水平更 好,电力基础设施更加完善;在近海建设,不占用土地资源。 (6)答题要点:围绕平潭的“四化”从因地制宜、可持续发展、双碳目标、环境保护等中的一点进行表 述。 答案示例:从可持续发展角度,平潭需从生态、经济和社会等方面采取多种措施推进“零碳岛”建设。从 产业发展看,当地和结合实际情况,调整产业结构,结合当地特色资源发展旅游业及相关产业,促进产业 绿色化发展,减少能源消耗,大力推广清洁能源和新能源,提高能源利用率。从生态角度看,可采取多种 途径保护生态环境、减少生态破坏,发展生态产业,助力减少碳排放和增加碳吸收。从社会角度看,当地 可引导居民采用绿色生活方式,倡导绿色发展理念和低碳生活理念,引领居民健康生活、低碳出行,提高 生活品质。 【解析】(1)结合题干信息,平潭岛的花岗岩主要形成于约1.5亿年前的中生代,该地质时期爬行动物尤 其是恐龙繁盛,后期进化出羽毛,向鸟类发展,出现小型哺乳类,C错误。中生代裸子植物繁盛,使重要 的成煤期,A错误,B正确。喜马拉雅运动发生在新生代,D错误。故选B。 (2)结合表格数据可知,平潭岛上年平均风速最大的季节是秋冬季节,分析其原因,主要是受到亚洲高 压(蒙古-西伯利亚高压)影响,主导风向为偏北风。7-9月,因受气旋影响,风速偏大,是一年中风速极 值出现的时间。准静止锋相对稳定,风力较弱。 (3)结合材料及所学知识,近年来,城镇化进程推进,城市建筑物不断增加,削减风速,加上沿海防护 林大量种植,使平潭岛年8级以上大风日数量呈下降趋势,AB正确。风力发电站建设不会削减风速,C错 误。全球极端性天气频发可能带来干旱或暴雨等灾害,对局部地区 的大风天气影响较小,某些区域极端天 气事件增多可能导致大风时间增多,D错误。故选AB。 (4)结合材料,石头厝是主要由花岗岩建成,其墙厚窗小、结构坚固,主要用于抵御台风和风沙等由大 风带来的灾害性天气,②③正确。岛屿面积较小,不易出现洪涝灾害,①错误。石头民居抵御地震能力较 弱,④错误。故选C。 (5)结合材料及所学知识可知,与西北内陆风力发电相比,近海风力发电靠近沿海经济发达地区,电力 需求大,靠近电力消费市场,不需要长距离输电,电能损耗少,成本低;近海地区交通运输条件优越,海 运和陆运均便捷,有利于发电设备和物资的运输;近海地区比于西北地区,技术水平更好,电力基础设施 更加完善;在近海建设,不占用陆地的土地资源,成本较低。 (6)结合所学知识,“零碳岛”建设旨在减少碳排放、增加碳吸收,助力落实国家“双碳”政策与目标。一般而言,需要结合当地实际情况,因地制宜采取有效措施,具体包括产业发展绿色无污染、减少温室气 体排放;大力发展生态产业,增加温室气体吸收;提高能源利用率、推广使用清洁能源和新能源;从生活 角度,宣传低碳出行、绿色出行、倡导可持续的生活消费方式,促进区域生态、经济和社会的可持续发展。 3.挪威海洋资源的开发利用 材料一:挪威渔业历史悠久,盛产三文鱼。为解决近海三文鱼养殖业瓶颈,挪威开启了深海(深度大于50 米)渔场的产业转型。在经历了分别以渔业、造船、航运、石化工业等为主的发展阶段后,挪威不同地区 形成了各具特色的海洋产业集群。 材料二:2024年1月,挪威议会计划在部分海域进行采矿勘探和深海矿产开采。这些海域大多位于挪威靠 近北极地区的大陆架上。此举引发巨大争议,国内外不少人士纷纷表示反对。 (1)挪威盛产优质三文鱼与其自然环境密切相关。其沿海海域在____(填洋流名称)影响下,盐度较 ____(单选:A.高 B.低);再加上纬度高,海水温度较____(单选:A.高 B.低),三文鱼的生长周 期长,肉质更加鲜美。 (2)近年来,挪威由近海养殖走向深海养殖,其分布具有“深(海)而不远(陆)”的特点,其主要原 因是____。 (3)与近海养殖相比,挪威发展深海养殖的主要优势在于深海____(单选) ①水流更慢 ②水质更优 ③海水性质稳定 ④台风灾害更少 A. ①④ B. ①② C. ②③ D. ③④ (4)挪威海洋资源利用方式不断变化。早期主要利用海洋的____(单选:A.海面 B.海中 C.海空)空 间资源发展航运业起家;1980年,伴随着在北海海域的____(单选:A.专属经济区 B.公海)内进行石油 资源开发,其石化工业不断发展;之后,随着石油危机和制造业中心向亚洲的转移,挪威以造船业为代表 的____(单选:A.原料主导型 B.劳动力主导型)产业衰落,产业转型迫在眉睫。 (5)挪威首都奥斯陆致力于海洋城市建设,以下四处景观可以反映其主要发展的海洋产业为____(单选) A. 船舶制造业 B. 海洋文化产业 C. 海洋金融业 D. 海洋运输业 (6)挪威不同地区产业分工明确,发展方向不同,这体现了区域具有__ __特征,这种特征要求区域发 展过程中须坚持___ ___的发展思想。 (7)说明人们反对挪威开发深海矿产的理由。 【答案】(1)北大西洋暖流 A B (2)挪威近海水域较深,海底坡度陡 (3)C (4) A A B (5)B (6)差异性 因地制宜 (7)深海矿产形成时间长,数量有限,开采后不可恢复;开采深海矿产资源,会破坏了当地海底的生态 环境;矿产资源的存储、运输等过程消耗能源,排放污染和温室气体,增加环境压力;深海采矿投资成本 高,技术难度大等。 【解析】(1)据图结合所学知可知,挪威附近海域有北大西洋暖流流经,受暖流影响,该海域海水盐度 较高;再加上纬度高,获得太阳辐射较少,海水温度较低,故三文鱼的生长周期长,使的三文鱼肉质更加 鲜美。 (2)读图可知,挪威西北部沿海地区等深线数值大且密集,说明挪威近海水域较深,海底坡度陡,故挪 威由近海养殖走向深海养殖,其分布具有“深(海)而不远(陆)”的特点。 (3)由上题可知,挪威海底坡度陡,水流速度快,①错误;深海地区受到人类活动影响小,水质优,② 正确;深海海水温度、盐度、压力条件等海水性质稳定,变化小,利于养殖,③正确;该地区无台风,④ 错误,综上所述,C正确。(4)早期由于技术水平较低,主要利用海洋的海面空间资源发展航运业起家;北海位于挪威南部,属于 挪威专属经济区,故1980年,挪威进行石油资源开发的海域为专属经济区;随着石油危机和制造业中心向 亚洲的转移,说明劳动力主导型产业衰落,劳动力不再是优势,需要进行产业转型。 (5)海洋文化博物馆,它通过展览和教育活动传播海洋历史和文化,是海洋文化产业的一种形式。滨水 码头是海洋和河流沿岸用于船只停靠和货物装卸的区域,也是海洋文化和旅游活动的基础设施,属海洋文 化产业的特征。峡湾游船提供水上旅游服务,让游客享受水上观光体验,这是海洋文化产业中旅游活动的 一部分。海底雕塑作为一种艺术形式,在海底创作的雕塑不仅美化了环境,也增加了海洋旅游的文化内涵, 属于海洋文化创意产业的范畴,B正确;船舶制造业主要包括船舶的设计、建造、修理等,A错误;海洋金 融业是指围绕海洋经济开发、利用和保护等领域,提供投融资、风险管理、保险保障等金融服务的行业, C错误;海洋运输业是指使用船舶通过海上航道在不同国家和地区的港口之间运送货物的一种运输方式,D 错误。故选B。 (6)挪威不同地区产业分工明确,发展方向不同,这体现了区域具有差异性特征,这种特征要求区域发 展过程中要根据自身的情况,因地制宜或者扬长避短。 (7)深海矿产形成时间长,数量有限,属于不可再生资源,开采后不可恢复;开采深海矿产资源,会使 当地海底的生态环境遭受到破坏,大规模的采矿活动可能会导致深海物种减少;矿产资源的存储、运输等 过程消耗能源,排放污染和温室气体,会增加环境压力,加剧全球气候变暖;深海采矿投资成本高,回报 周期长,不可控因素多,技术难度大。 重难点 02 区域差异比较 一.区域差异分析的思路 不同区域之间在自然条件、历史基础、社会经济发展水平等方面存在着较大差异,因此形成了显著的区域 差异。区域间的差异,首先表现为自然环境的差异,不同的自然环境下,人类的活动也会不同。区域差异 的综合分析如下右图所示:二.不同区域地理要素特征差异的成因分析 分析区域差异要从分析区域组成要素特征的差异入手,同时注意分析要素间的相互联系。通过对地理要素 特征的因素分析,确定区域特征差异成因,分析区域间的不同发展状况和发展方向。 1.自然环境因素导致的区域差异 (1)气候差异的形成 (2)地貌差异的形成 (3)河流特征差异的形成 (4)土壤差异的形成(5)生物差异的形成 2.人类活动因素导致的区域差异 区域差异因素 农业 气候、地形、土壤、灌溉水源;市场、劳动力、交通、科技、政策、农业发展历史、地价 工业 原料、能源、市场、劳动力、科技、交通、环境、集聚、政策、工业发展历史、地价 人口 耕地资源、水资源、生态环境、科技水平、对外开放程度、开发历史、人均消费水平 城市 地形、气候、河流、自然资源、交通 交通 地理位置、地形、经济、人口、城市 三.同一区域在不同发展时期地理特征差异的分析 1.不同社会发展阶段地理环境影响人类生产、生活方式 不同社会发展阶段人类活动的主体结构不同,影响人类活动的地理环境要素也不同,具有明显的阶段性特 征。具体如下所示: 2.人类活动对地理环境的依赖性越来越小 随着社会的进步,科技水平的提高,地理环境对人类活动的制约减弱,人类活动对地理环境的依赖性减小, 表现如下: (1)优势因素的效益在放大。如东北平原地广人稀,土壤肥沃,科技的进步,机械化水平的提高,耕地 优势得到更好发挥。 (2)劣势因素的制约在弱化。灌溉技术、温室等的发展,使干旱寒冷地区的农业得到更好发展;运输条 件改善、生产率提高,使资源短缺地区的工业发展得到促进。3.综合分析某一区域发展趋势的方法 区域在发展初期,主要表现为以传统农业为主,然后依次进入工业化阶段、后工业化 (或高效益的综合发展)阶段。例如深圳在40年的时间内从一个小渔村发展成为大都 从时间上看 市;例如辽宁省阜新市在发展初期种植业为主,后因煤炭工业而兴起,但又因煤炭资 源枯竭而衰落,目前正在进行产业多元化综合发展,以获得新生。 区域发展是一个由“点→线→面”的过程。如江浙沪地区的大小城市从初期的各自为 从空间上看 阵发展,到目前的长三角区域一体化发展。 区域产业发展一般会经历从“一二三”型→“二三一”型→“三二一”型,产业结构 不断得到升级、优化。 区域产业结构由劳动密集型产业占优势,逐渐向资金密集型、技术知识密集型产业占 优势演进。 区域产业结构由制造初级产品的产业占优势,逐渐向制造中间产品、最终产品的产业 占优势演进。 从产业结构 高级化看 微笑曲线中的区域产业升级路径:微笑曲线中游环节是工农业生产,附加值低;上游 环节是研发,下游环节是营销,附加值高。产业结构高级化应由中游环节向微笑曲线 的上游和下游发展。 从人地关系 区域发展一般经历人地关系“基本协调→明显不协调→矛盾尖锐→走向协调”的过 上看 程。 【点拨】区域差异分析的线索 (1)依据区域的整体性特点,执因索果、层层推理自然环境差异:位置→气候(结合地形)→水文→土壤、 植被等。 (2)按照“遵地之规、因地制宜、可持续发展”的原则,分析自然环境差异对人类活动的影响。 (3)从产业活动(农业、工业等)、交通运输、城镇化水平、人口状况等方面比较人类活动差异。 四.区域差异比较的类型 位置、轮廓相似的 如马达加斯加岛和台湾岛纬度位置(回归线穿过)接近,轮廓相似,可对比两岛 地理事物相比较 半球差异、气候差异等 两区域气候、地形 如刚果河和亚马孙河两大河流水文特征及综合利用比较,赤道附近的热带雨林气候和20°S大陆东岸热带雨林气候成因差异比较,南美洲热带沙漠气候与非洲 等地理要素比较 热带沙漠气候分布及成因比较,大洋洲、北美洲、南美洲地形比较等 如鲁尔区和辽中南工业区工业发展的区位因素对比;我国东北与美国中部地区 区域经济特征比较 商品谷物农业的异同比较;巴西、加拿大、澳大利亚人口集中在东南部的原因 比较 区域可持续发展和 如黄土高原与东南丘陵水土流失严重的原因、危害及治理措施的比较等 面临问题的比较 五. 因地制宜、因时制宜对区域发展的意义 不同区域的地理环境有差异,故区域发展应遵循“因地制宜”的原则;同一区域因生产力水平不断提高, 在不同时期地理环境各有特征,故区域发展应遵循“因时制宜”的原则。因地制宜、因时制宜的终极意义 是:尊重自然规律,实现人地和谐;发挥区域特点,实现区域可持续发展。 典型例题 1.四川省是我国西部大省,地域广阔,地理差异明显,历史文化丰富多彩,逐渐形成了各具特色的五个区 域经济板块。为促进四川省经济发展,相关人员开展了规划研究。成都都市圈以成都大都市为中心,与联 系紧密的德阳、眉山、资阳3市共同组成。成都是九大国家中心城市之一,西部地区重要的中心城市。新 建天府国际机场2021年正式通航,成都成为全国第三个拥有两大国际机场的城市。据图文材料,回答下列 问题。 (1)四川省地跨我国地势第一、二级阶梯,西部川西高原属 (地形区)的一部分,东部主要为群山环 抱的四川盆地,其间的成都平原沃野千里。 (2)川西北生态示范区具有重要的生态价值,为此规划人员应用GIS对这一区域的生态脆弱性进行评估。推 测下列指标中与生态脆弱性呈负相关的是 (不定项选择)A.地形坡度 B.降水强度 C.水域面积 D.植被覆盖率 (3)川青(成都—西宁)铁路青白江东至镇江关段于2023年11月28日开通,结束了川西北高原不通铁路 的历史。这将对区域发展带来的有利影响是 (单选) ①促进民族和文化交流 ②形成连绵的城市密集地区 ③有利于三大产业均衡发展 ④发挥生态环境的经济效益 A.①② B.③④ C.①③ D.①④ (4)成都平原经济区和成都都市圈是不同的区域划分。选择其中一个,从区域的划分目的、类型和边界等 角度写一段区域简介。 (5)比较成都市对都市圈其他三个城市的交通辐射差异。 (6)成渝地区双城经济圈建设是国家重大发展战略,资阳市同时连接成渝,区位优势突出。为推动区域合 作,规划人员为资阳的产业发展提出了以下方向。请任选其中两点,说明规划依据。 资阳市产业发展方向 ①建设农制产品基地,发展农副产品精加工和农业产业化 ②重点发展临空制造、临空综合服务等机场关联性产业 ③与成协同合作,构建“成治研发、阳生产”的产业格局 ④建成物流集散地和人流中转枢纽 【答案】(1)青藏高原 (2)AB (3)D(4)成都平原经济区以建设国家中心城市为目标;是便捷高效的交通通勤圈、协同共兴的产业生态圈、便 利共享的优质生活圈、开放合作的国际朋友圈;成都都都市圈以成都为中心,与其紧密联系的德阳市、眉 山市、资阳市共同组成,其位于成都平原经济区内圈。 (5)资阳位于成都东部,距离机场近,打造临空经济港;德阳打造铁路港经开区,带动北部区域发展;眉 山连接天府新区,依托成都天府大道一路南下,带动南部经济发展。 (6)与成协同合作,构建“成治研发、阳生产”的产业格局:规划依据。成都经济发达资金和技术充足, 主要负责研发新产品;资阳与成都相比的优势在于劳动力和地租较廉价,可布局生产加工工厂。 建成物流集散地和人流中转枢纽:临近机场,客货流量大,建成物流集散地便于货物中转,方便旅客进行 换乘。 【解析】(1)川西高原作为青藏高原和横断山区的一部分,海拔在4000-4500米,地势由西向东倾斜,西 北高东南低。 (2)生态脆弱性呈负相关的是地形和降水强度,地形起伏越大、坡度越陡发生地质灾害的概率会增大, 不利于生态环境的保护;降水强度大,发生暴雨洪涝水土流失的概率和风险会大大提升,不利于生态环境 的保护。 (3)川西北高原铁路通车后有利于促进民族融合和文化交流,将本区的资源优势转化为经济优势,发挥 了生态环境的经济效益;由于地区发展差异,通车后不会形成连绵的城市密集地区,三大产业也不会均衡 发展。 (4)建设成都都市圈的目的就是建设国家中心城市;类型:完善交通网络,建设便捷高效的交通通勤圈; 根据区位优势,区域内产业协同发展;城市集聚后,便利共享的优质资源;打造天府国际机场,扩大对外 开放水平;成都都都市圈以成都为中心,与其紧密联系的德阳市、眉山市、资阳市共同组成,其位于成都 平原经济区内圈,大致范围在岷江和沱江上游。 (5)由图表可知,资阳位于成都东部,距离机场近,打造临空经济港,相比其他两个城市,交通辐射的 影响减弱明显;德阳交通可达系数最高,打造铁路港经开区,带动北部区域发展,成都的辐射带动作用明 显增强;眉山连接天府新区,依托成都天府大道一路南下,带动南部发展,交通辐射作用也有所减弱。 (6)与成协同合作,构建“成治研发、阳生产”的产业格局:规划依据:根据区位优势,寻找最佳布局 方案。成都经济发达,资金和技术充足,主要负责研发新产品;资阳与成都相比的优势在于劳动力和地租 较廉价,可布局生产加工工厂。 建成物流集散地和人流中转枢纽:最大限度利用现有优势,完善多种交通运输方式。临近机场,客货流量 大,建成物流集散地便于货物中转,方便旅客进行换乘。 2.中国—中亚命运共同体 材料一:2024年10月25日至28日在银川(37.5°N,105.5°E)举办第十一届中国-中亚合作论坛,本届论坛以“推动绿色发展,建设共同家园”为主题,进一步加强中国与中亚国家在经贸、能源、农业、交通 物流等领域合作。 材料二:中吉乌铁路起自中国新疆喀什市,经吉尔吉斯斯坦的托克玛克、比什凯克和奥什,进入乌兹别克 斯坦的安集延。喀什利用其地理位置的优势,积极打造“东联西出、西引东来”的新枢纽。 (1)中国-中亚合作论坛举行期间,银川昼夜长短变化情况是____(单选:A.昼渐长/B.昼渐短),银川 的入夜时间越来越____(单选:A.早/B.晚)。 (2)双重内陆国是指本国是内陆国而其周围所有的邻国也是内陆国的国家,中亚地区属于双重内陆国的 国家是 (单选) . A 哈萨克斯坦 B. 土库曼斯坦 C. 乌兹别克斯坦 D. 吉尔吉斯斯坦 (3)中吉乌铁路建成后,对我国的影响有 (不定项选择) A. 缓解部分资源压力 B. 对外贸易线路多元化 C. 国内铁路压力减小 D. 对欧出口商品增加 (4)“东联西出、西引东来”将使喀什成为现代物流的重要中转站,从服务业分类来看物流服务属于___ _ (选填:生产性服务业/生活性服务业/公共服务业)。 (5)从“贸易畅通”和“设施联通”的角度为喀什地区打造新枢纽提出合理建议。 (6)中国-中亚合作向“绿”而行,例举2个中国在中亚地区可合作开发的新能源,并任选其中之一说明 理由。 【答案】(1)B A (2)C (3)ABD (4)生产性服务业(5)贸易畅通:喀什应进一步加强其出口商品加工基地、商品集散地、国际商贸购物中心的建设,促进 与中亚地区的贸易往来;喀什应加快信息化建设步伐,如建设电子商务平台、推动跨境电商发展等,提升 贸易的信息化水平;喀什加快边境口岸建设,优化贸易环境,推动贸易和投资自由化便利化。 设施联通:喀什应加大对基础设施建设的投入,如完善公路、铁路、航空等交通网络,提升物流运输能力。 (6)新能源:风能、太阳能 风能:靠近冬季风源地,风力大/受中纬西风带影响,风力大;地形相对平坦、对风力的阻挡作用小;植 被稀疏,对风力的阻挡作用小。 太阳能:深居内陆,远离海洋,降水量少(温带大陆性气候,降水少),晴天多,对太阳辐射的削弱作用 弱;中高纬度地区,夏季白昼长,日照时数长。 【解析】(1)根据材料信息可知,2024年10月25日至28日在银川(37.5°N,105.5°E)举办第十一届 中国—中亚合作论坛,此时间段内太阳直射点向南移动,位于北半球的银川昼渐短夜渐长,银川的入夜时 间越来越早。 (2)哈萨克斯坦、土库曼斯坦、吉尔吉斯斯坦本国是内陆国,其周围的邻国中有非内陆国,不是双重内 陆国,ABD错误;乌兹别克斯坦本国是内陆国而其周围所有的邻国也是内陆国,为双重内陆国,C正确。故 选C。 (3)中亚各国自然资源丰富,中吉乌铁路建成便利了我国进口国外的资源,缓解部分资源压力,同时该 铁路也加强了我国和欧洲之间的交通运输,便利了我国对欧洲出口商品,AD正确;中吉乌铁路建成之后, 将是中国经中亚到中东、欧洲最短的货运线路,并形成东亚、东南亚通往中亚、西亚和北非、欧洲的便捷 运输通道,有力支撑一带一路建设,促进了对外贸易线路多元化,B正确;中吉乌铁路是我国通往中亚和 欧洲的铁路线,并不能减小国内铁路压力,C错误。故选ABD。 (4)生产性服务业是指为保持工业生产过程的连续性、促进工业技术进步、产业升级和提高生产效率提 供保障服务的服务行业。从服务业分类来看物流服务属于生产性服务业。生活性服务业直接向居民提供物 质和精神生活消费产品及服务,其产品、服务用于解决消费者生活中(非生产中)的各种需求;公共服务 业是指由政府或公共组织提供,旨在满足社会公共需求的服务行业。 (5)贸易畅通的角度:喀什位于我国与中亚的边境处,应促进出口商品加工基地、进出口商品集散地和 国际贸易中心的建设,促进与中亚地区的贸易往来,保障贸易畅通;喀什应加强贸易信息化建设,提高信 息化程度,促进电子商务平台和跨境电商的发展,提高国际贸易的信息化水平,减少贸易阻力,提高贸易 的流畅程度;喀什应进一步加强边境口岸的建设,优化跨国贸易环境,推动跨国贸易和投资的自由化和便 利化,促进贸易的畅通。 设施联通的角度:应加大基础设施的建设水平,加大技术设施投资力度,促进公路、铁路、航空等交通网络和设施的完善,提高物流运输能力和效率,促进对外贸易的发展。 (6)根据所学知识可知,中亚靠近冬季风风源地,受冬季风影响较大,地处中纬西风带,风力较大;中 亚地势起伏较小,地形相对平坦,对风力的阻碍作用较小,风力较大;中亚气候干旱,植被稀疏,地表摩 擦力较小,对风力的阻碍作用较小,风力较大,风能资源丰富。中亚深居内陆,距海较远,受海洋湿润水 汽影响较小,以晴朗天气为主,晴天多,对太阳辐射的削弱作用较弱,到达地面的太阳辐射较多;该地地 处中高纬度地区,夏季白昼时间较长,日照时数较多,太阳辐射量较大,太阳能资源丰富。所以可以合作 开发的新能源有太阳能和风能。 3.南岭是我国南方地区重要的自然地理分界线,是世界地质与生态的双重瑰宝。阅读图文材料,回答问 题。 材料一:南岭由五座横亘东西的山脉组成,是北回归线荒漠带上最大的绿洲。南岭地区设有多个国家级自 然保护区,有“物种宝库”的美誉。 材料二:丹霞山位于南岭南麓的韶关市境内,其山体由红色砂砾岩构成,岩层有垂直节理发育。早期该地 区是一个四周高山环抱的大型内陆盆地,在丹霞山形成期间,该盆地多次间歇上升。 材料三:图1、图2。 (1)冬季南下的冷空气势力减弱并受南岭阻滞,常在华南地区形成______(单选:A.准静止锋 B.冷 锋)。受该锋面系统影响,郴州位于______(单选:A.冷气团 B.暖气团)一侧,受雨区影响______ (单选:A.较大 B.较小)。而韶关则位于冷空气的______(单选:A.迎风坡 B.背风坡),气温较 高。 (2)南岭地区生物多样性丰富,主要是由于______(不定项选择) A. 纬度较低,水热充足 B. 东西跨度大,从沿海到内陆的地域分异明显 C. 海拔较高,垂直地域分异明显 D. 地形复杂,栖息环境多样 (3)南岭国家级自然保护区内主要保护的植被类型是______,与北坡相比,这一植被类型在南坡分布的 海拔更______。(4)南岭能成为“北回归线绿洲”的最主要影响因素是______(单选) A. 地形 B. 大气环流 C. 水源 D. 植被 (5)丹霞山的发育始于新生代早期,与该时期相关的地质事件是______。(单选) A. 原始大陆形成 B. 环太平洋地带大规模构造运动 C. 喜马拉雅运动 D. 泛大陆成形 (6)按岩石成因划分,组成丹霞山山体 的岩石类型是______岩。 (7)从内、外力作用的角度分析丹霞山的成因。 【答案】(1) A A A B (2)ACD (3)亚热带常绿阔叶林 高 (4)B (5)C (6)沉积岩 (7)早期周边高山的岩石被风化形成大量碎屑物,在侵蚀、搬运等外力作用下碎屑物在盆地内沉积、固 结,形成巨厚的砂砾岩层。受地壳运动影响砂砾岩层;被逐步抬升出露地表,之后在流水沿垂直节理面向 下侵蚀岩石(流水侵蚀作用),形成丹霞山景观。 【解析】(1)结合所学知识,当冷空气南下后势力减弱,受到南岭山脉的阻挡,导致冷暖气团在华南地 区形成准静止状态,从而形成了华南准静止锋。 受该锋面系统影响,郴州位于南岭北坡,冷气团一侧,受 山地的抬升作用增加降水的可能性,受雨区影响较大;而韶关则位于冷空气的背风坡,气流下沉增温,气 温较高。 (2)据图可知,南岭位于北纬25°-26°左右,纬度较低,属亚热带季风气候,水热充足,生物多样性丰 富,A正确;南岭海拔较高,垂直方向上水热组合变化较大,垂直地域分异明显,生物多样性丰富,C正确; 南岭由五座横亘东西的山脉组成,地形复杂,栖息环境多样,生物多样性丰富,D正确;南岭位于东部地 区,植被以森林为主,从沿海到内陆的地域分异不明显,B错误。故选ACD。 (3)结合材料信息可知,南岭位于北纬25°-26°左右,属亚热带季风气候,植被为亚热带常绿阔叶林; 由于南坡为夏季风迎风坡,又是阳坡,水热条件好,热带常绿阔叶林在南坡分布的海拔更高。 (4)结合所学知识,南岭位于大陆东部,受季风环流影响,形成亚热带季风气候,降水较多,成为“北 回归线绿洲”,B正确;地形会影响降水,但不是南岭降水较多的主要因素,A错误;水源、植被不是影响 气候的主要因素,CD错误。故选B。 (5)结合所学知识,喜马拉雅运动发生在新生代,C正确;原始大陆形成于元古代,A错误;环太平洋地 带大规模构造运动发生在中生代,B错误;泛大陆成形于古生代,D错误。故选C。(6)结合所学知识,丹霞山位于南岭南麓的韶关市境内,其山体由红色砂砾岩构成,岩层垂直节理发育。 砂砾岩属沉积岩。 (7)结合所学知识,丹霞山其山体由红色砂砾岩构成,岩层有垂直节理发育,因此其形成早期是由于周 边高山的岩石被风化形成大量碎屑物,然后在侵蚀、搬运等外力作用下大量碎屑物在盆地内沉积,通过固 结成岩,形成巨厚的砂砾岩层;然后该地区受地壳运动影响,导致砂砾岩层被逐步抬升,出露地表,该地 区属于亚热带季风气候区,降水较多,流水沿岩层垂直节理进行侵蚀,裂隙不断扩大,山体岩石在重力作 用下发生崩塌,形成丹霞山景观。 1.区分:气候特征、天气特征 (1)气候特征主要从气温、降水季节变化规律角度描述。 (2)天气特征主要从气温、阴晴雨雪、风力风向角度描述 2.区分:气候要素、气候因素 (1)气候要素包括气温降水等(若分析气候对农业生产的影响,应主要从光照、热量、降水等方面去考虑)。 (2)气候因素是指影响气候形成的因素,主要包括太阳辐射(纬度位置),大气环流、海陆位置、地形、洋 流。 3.区分:水文特征、水系特征 (1)水文特征是河湖(海)水的物理状态,包括数量及其变化、温度(有无结冰期)、质量(含沙量)、 运动速度(流速)。 (2)水系特征主要是指河流形态特征,包括河流长度、流向、流域面积的大小、支流数量及组合形态、 河网密度、河道的宽窄、弯曲、深浅等。 4.区分:地形特征、地貌特征、地势特征 (1)地形特征,包括五种地形类型、地势特征、典型地貌及其特征。 (2)地貌特征,重在地表状态特征,如黄土地貌特征是沟壑纵横,海蚀地貌特征是海岸线曲折等。 (3)地势特征,重在地表高低起伏趋势,如平原地势平坦,我国地势总体上西高东低。 5.区分:植被特征、自然带特征 (4)植被特征,包括植被名称、种类多少、植被个体叶、根等的特征。如亚马孙平原植被特征是热带雨 林,树种繁多茂密,多板状根;如新疆塔里木盆地植被特征是温带荒漠,植被稀疏,植株矮小但根系发达, 叶缩小成刺状。(5)自然带,反映的是区域“地气水土生”综合状况,大多用植被命名,如亚马孙平原自然带的特征是: 地势平坦,气候湿热,河流水量大,热带雨林茂密,生物种属繁多,土壤贫瘠。 6.区分:第一产业、第二产业、第三产业及其升级方向 (1)第一产业指农业,具体包括种植业(耕作业)、渔业、畜牧业、林业。传统农业向现代农业发展, 是农业结构升级的方向。建立在农业基础上的“农业—农产品加工工业—农旅业”是农业区可持续发展方 向。 (2)第二产业指工业和建筑业。传统工业比重下降、现代(新兴)工业比重上升,是区域工业结构升级 的方向。 (3)第三产业指服务业。传统服务业比重下降、现代服务业比重上升,是区域服务业结构升级的方向。 7.区分:传统产业、高新技术产业 (1)在第一次、第二次技术革命中发展起来的产业,为传统产业,包括传统农业、传统工业、传统服务 业。 (2)在第三次技术革命发展起来的产业,为高新技术产业,包括现代农业、现代工业、现代服务业。 (3)狭义上的高新技术产业,指新兴工业。 8.区分:自然灾害、环境问题 (1)自然灾害是因为自然环境变异导致的生命、财产(经济)的损失,不合理的人类活动会加剧自然灾 害。 (2)环境问题是人类对自然资源不合理开发利用和对污染物大量排放导致的,具体包括三大类问题: ①资源短缺:包括能源短缺、耕地不足、水资源短缺、森林草原破坏等。 ②环境污染:包括大气污染、水污染、固体废弃物污染、噪音污染等。 ③生态破坏:包括水土流失、荒漠化、土壤盐碱化、生物多样性减少、全球变暖等。 (3)自然灾害主要是自然原因造成的,人类活动可以加剧或减轻自然灾害;环境问题主要是人为原因造 成的,自然环境自身的状况是次要原因。 (建议用时:60分钟) 1.城乡一体化,助推乡村振兴 材料一:湖北省宣恩县地处云贵高原延伸部位,动植物资源丰富,有“湖北小桂林”的美称。2016年以来, 宣恩县深挖本地资源,推进城乡一体化发展(即城镇和乡村共同发展),打造了七姊妹山国家级自然保护 区、庆阳坝凉亭古街、伍家台万亩贡茶园等特色旅游景区。 材料二:伍家台村茶文化旅游产业以茶园景观为依托,以茶叶手工生产和贡茶文化体验活动为重点,协同当地土家族民俗文化,以“茶产业+旅游产业”相融合的方式带动乡村经济发展。 材料三:图1、图2、图3,表一。 表一:2016、2023年宣恩县人口及三大产业比重数据 (1)宣恩县曾是国家重点关注的贫困县,当地经济发展落后的主要原因是____(单选:A.地貌类型多样 B.生态环境脆弱 C.人口流失严重)。2011年以来,在国家精准扶贫政策的支持下,宣恩县立足当地资源, 大力发展____产业,推进城乡一体化发展。2016年以来,宣恩县的城镇化水平在不断____,2023年其城镇 化率约为____%,成功实现全域脱贫。 (2)七姊妹山自然保护区内主要为____地貌,绝壁孤峰林立,以原始珙桐群落、泥炭藓森林沼泽湿地及 大型猫科动物栖息地等为主要保护对象,属于____类(单选:A.自然生态系统B.野生生物类C.自然遗迹 类)自然保护区,在涵养水源、调节气候、改善空气质量、保持水土,及保护____和减轻____等方面发挥 着重要 的生态服务价值。 (3)庆阳坝凉亭街被誉为“土家商街的活化石”,街道两侧房屋楼高2-3层,檐搭檐,宽敞的檐下走廊供 人们穿行、买卖,临街商铺与住宅合二为一,多为前店后宅或下店上宅布局(如图2、图3)。结合当地的 地理环境,说明凉亭古街传统建筑设计的合理性。(4)伍家台村位于北纬30°黄金茶树的生长带,冬暖夏凉、雨热同期,土壤的____(单选:A.侵蚀B.淋 溶C.堆积)作用强,呈____(单选:A.弱酸性B.弱碱性C.中性),受____因素影响,土壤中硒元素含量 高,十分适宜种植茶树。 (5)简析伍家台村以“茶产业+旅游产业”方式带动乡村发展,对推动乡村空间利用、缓解乡村问题带来 的积极影响。 【答案】(1)B 第三/旅游 提升 49.4 (2)喀斯特 A 生物多样性 自然灾害 (3)地处山区(河谷地带),地表崎岖,发展空间不足,下店上宅可以节约土地,提高土地利用利用率; 位于亚热带季风气候区,夏季炎热多雨,冬季寒冷干燥,宽敞的檐下走廊既可以遮阳、遮雨,又可以挡风, 减少了天气对商业活动的影响;凉亭街自古以来就是商贸(商业)街,前店后宅的布局将商业和住宅紧密 结合,可以节省建设成本,减轻来回奔波的辛苦,使生活和工作更加便利。 (4)B A 基岩/成土母质 (5)乡村空间利用:开展茶树种植,发展茶园生态观光旅游,有利于合理开发利用乡村的土地资源; 乡村问题:旅游业可以带动餐饮、民宿等相关产业发展,吸纳农业剩余劳动力,乡村居民不用进城务工, 有利于解决乡村老弱化、空废化、留守儿童等社会问题;可以带动交通等基础设施和公共服务建设,促进 乡村环境整治,改善乡村人居环境等 【解析】(1)湖北省宣恩县地处云贵高原延伸部位,虽环境优美,但生态脆弱一直制约经济发展。材料 提及该地动植物资源丰富,有“湖北小桂林”的美称,故应立足当地资源,大力发展第三产业或旅游产业。 从表格数据来看,该县城镇人口增长,乡村人口减少,城镇化水平上升。2023年城镇化率为城镇人 口/(城镇人口+乡村人口)×100%=49.4%。 (2)七姊妹山国家级自然保护区地处云贵高原延伸部位,多喀斯特地貌,绝壁孤峰林立。以原始珙桐群 落、泥炭藓森林沼泽湿地及大型猫科动物栖息地等为主要保护对象,属于自然生态系统类自然保护区。自 然保护区可以涵养水源、调节气候、改善空气质量、保持水土,及保护生物多样性,以及减轻自然灾害。 (3)凉亭古街所在地区地处山区(河谷地带),地势起伏大,地表崎岖,土地发展空间不足,下店上宅 的布局可以节约土地,提高土地利用利用率;该地位于湖北省,属于亚热带季风气候区,夏季炎热多雨, 冬季温和少雨,宽敞的檐下走廊既可以遮阳、遮雨,又可以挡风,阻挡寒冷气流,减少了天气对商业活动 的影响,利于经济发展;庆阳坝凉亭街被誉为“土家商街的活化石”,凉亭街自古以来就是商贸(商业) 街,前店后宅的布局将商业和住宅紧密结合,可以节省建设成本,减轻来回奔波的辛苦,既兼顾了工作也 便捷了生活,利于发展。 (4)伍家台村位于北纬30°地区,属于季风气候区,夏季降水集中,土壤淋溶作用较强,土壤为红壤, 呈现弱酸性,受基岩或成土母质影响,土壤中硒元素较高。(5)从乡村空间利用角度来看:开展茶树种植,促进乡村第一产业发展,发展茶园生态观光旅游,促进 乡村第三产业发展,使乡村闲置土地得以利用,有利于合理开发利用乡村的土地资源; 从乡村问题来看: 旅游业可以带动餐饮、民宿等相关产业发展,吸纳部分农业剩余劳动力,也可产生吸引力,使得乡村居民 不用进城务工,有利于缓解乡村老弱化、空废化、留守儿童等社会问题,减少乡村人口问题;同时产业发 展也可以带动交通等基础设施和公共服务建设,促进乡村环境整治,改善乡村人居环境等。 2.牙买加是世界著名旅游胜地,主要有美丽的沙滩、舒适的气候、多样的地形、丰富的地貌和泉水等旅游 资源。家住北京的小王同学,利用今年的假期时间跟父母一起来到该国旅游了10天。图(a)为牙买加位 置和地形图、图(b)为曼德维尔气候图、图(c)为中西部地区石灰岩地貌示意图。阅读图文资料,回答 下列问题。 (1)据图(b),描述曼德维尔的主要气候特征。 (2)牙买加意为“泉水之岛”,尤其在石灰岩广布的中西部地区,有大量的温泉分布。温泉是泉水的一种, 是从地下自然涌出的,泉口温度显著高于当地年平均气温的地下天然水。分析该国中西部多温泉的原因。 (3)在牙买加旅游的10天中,小王同学感到自然环境的体验感跟北京相差甚远。推测小王来到牙买加度假 的时间,并从两地体验感差异的角度说明理由。 【答案】(1)全年高温,年降水量大,季节变化较大,夏半年降水偏多。(2)该国降水丰富,为温泉的形成提供充足的水源;广布的石灰岩容易被流水侵蚀形成缝隙或溶洞,为地 下水提供存贮空间;该国位于板块交界处附近,地壳运动活跃,地热资源丰富,为地下水加热使之成为热 水;地下热水沿石灰岩裂隙出露地表,形成温泉。 (3)寒假。理由是:寒假期间北京体验到的是寒冷干燥,看到的是落叶后的温带森林以及河流的结冰现象; 牙买加体验到的测是高温湿润的气候、看到的是热带常绿的森林、无结冰现象的河流以及美丽的海洋、沙 难。因此两地的体验感相差甚远。 或暑假。理由是:暑假期间北京看到的是广阔的陆地、垂直结构简单的植被、体验到高温酷暑的天气;牙 买加看到的是广阔的海洋、沙难、垂直结构复杂的植被,体验到凉爽舒适的天气。因此两地的体验感相差 甚远。 【解析】(1)读图b可知,全年最低温大于20℃,故终年高温;年降水量丰富,夏半年多雨,季节变化 明显。 (2)读图结合材料可知,该国降水丰富,为温泉的形成提供充足的水源;中西部地区石灰岩地貌广布, 石灰岩容易被流水侵蚀形成缝隙或溶洞,为地下水提供存贮空间;该国位于美洲板块与太平洋板块交界处 附近,地壳运动活跃,地热资源丰富,为地下水加热使之成为热水;岩石多裂隙,地下热水沿石灰岩裂隙 出露地表,形成温泉。 (3)读图结合所学知识,牙买加属于热带雨林气候区,小王家在北京,距离牙买加较远,来到牙买加度 假的时间应选择时间较长的假期,故为寒假或暑假。 寒假:北京为温带季风气候区,冬季寒冷干燥,在北京体验到的是寒冷的天气;看到的是落叶后的温带森 林;气温低于0℃,河流、湖泊有结冰现象;而牙买加地处热带雨林气候区,气候高温多雨,体验到的是 温暖湿润的气候、看到的是热带雨林茂密的森林、无结冰现象的河流以及美丽的海洋、沙难。因此两地的 体验感相差甚远。 暑假:暑假期间北京温带季风气候区的夏季,高温多雨,体验到的是高温酷暑的天气;北京是内陆城市, 看到的是广阔的陆地;地带性植被是温带落叶阔叶林,植被垂直结构简单。而牙买加为岛国,此时为夏季, 气候比较凉爽,体验到凉爽舒适的天气;看到的是广阔的海洋、美丽的沙滩,多样的地形、丰富的地貌和 泉水等旅游资源,地带性植被是热带雨林,植被茂密,垂直结构复杂等,因此两地的体验感相差甚远。 3.位于长江上游的世界最大清洁能源走廊在刚刚过去的2023年是全面发挥综合效益的第一年。该能源走廊 由长江干流乌东德、白鹤滩、溪洛渡、向家坝、三峡和葛洲坝6座梯级水电站共同构成,全程跨越1800千 米,沿线经过重庆等重要城市。是我国长江经济带经济发展的重要保障,也是我国“西电东送”工程顺利 实施的重要基础。下图为长江上游清洁能源走廊示意图。阅读图文资料,回答下列问题。(1)世界最大清洁能源走廊形成的主要条件是______。(不定项选择) A.地势落差大 B.位于人口稠密区 C.河流水量充沛 D.国家政策支持 (2)清洁能源走廊沿线梯级电站的建成体现了人类对自然界水循环______环节的影响。(单选) A.地下径流 B.地表径流 C.植物蒸腾 D.水汽输送 (3)重庆市作为该清洁能源走廊沿线最大的城市,其对周边区域起主要辐射带动作用,这主要是因为重庆 与周边地区相比______。(单选) A.气候条件优越 B.经济发展水平最高 C.资源储备丰富 D.人口数量最多 (4)图中所示长江干流河段主要受流水 (单选:A.侵蚀 B.堆积)作用,多发育形成 (单 选:A.冲积扇 B.峡谷)。当长江到达中游地区后,侧蚀作用增强,表现在 (单选:A.凹岸 B.凸岸)不断被侵蚀,河道弯曲明显。 (5)图中清洁能源走廊所在区域与上海所在的长三角地区同在长江经济带内,请就两区域如何实现优势互 补,共同发展提出合理建议。 (6)简述长江上游清洁能源走廊建成后对我国能源、生态、环境安全带来的积极意义。 【答案】(1)ACD (2)B (3)B (4)A B A (5)清洁能源走廊所在区域通过“西电东送”等工程为东部长三角地区提供能源、资源;东部长三角地区 可通过产业转移、技术、人才、资金支持等促进清洁能源走廊区域经济发展; (6)充沛的电力供给,缓解我国中、东部地区能源短缺,保障能源安全;大量清洁能源能够减少化石能源 的使用,减少生态破坏,维护了我国生态安全;清洁电能的大量使用,改善能源消费结构,减少碳排放, 缓解温室效应,确保了环境安全。 【解析】(1)由图中信息和材料可知,世界最大清洁能源走廊由长江干流乌东德、白鹤滩、溪洛渡、向家坝、三峡和葛洲坝6座梯级水电站共同构成,可见生产的清洁能源是水电,水电的开发条件包括地势落 差大,河流水量充沛,AC对;修建水电站需要淹没大量土地,移民难度、资金巨大,需要国家政策支持, D对;人口稠密区移民压力大,且水电生产不需要人口条件,B错,故选ACD。 (2)河流梯级电站的建设主要是通过提高河水水位产生势能进行发电,影响了水循环中的地表径流环节, B对;没有对地下径流、植物蒸腾、水汽输送施加影响,ACD错。故选B。 (3)由题目可知,重庆市作为该清洁能源走廊沿线最大的城市,说明重庆市经济水平最高,能辐射带动 周围城市共同发展,B对;与气候条件、资源储量、人口数量无关,ACD错。故选B。 (4)图中所示长江干流河段位于葛洲坝上游,属于长江中游河段,落差较大,受长江的侵蚀作用明显, 而非堆积作用。侵蚀作用可能形成峡谷,堆积作用才有可能形成冲积扇,故多发于形成峡谷,中游侧蚀, 凹岸侵蚀,凸岸堆积,侵蚀的河岸是凹岸而不是凸岸,河道弯曲明显。 (5)长三角地区经济发达,但能源匮乏,清洁能源走廊所在区域通过“西电东送”等工程为东部长三角 地区提供能源、资源,为长三角发展注入动力;东部长三角地区有强大的经济辐射能力,可通过产业转移、 技术、人才、资金支持等促进清洁能源走廊区域经济发展,促进当地工业化、城镇化发展,促进社会和谐。 (6)能源方面,充沛的电力供给,缓解我国中、东部地区能源短缺,防止因能源不足造成的生产、生活 问题,保障能源安全,减少外部能源依赖;生态方面,大量清洁能源能够减少化石能源的使用,减少开采 中的生态破坏,排放后的大气污染,维护了我国生态安全;环境方面,水电没有碳排放,清洁电能的大量 使用,改善能源以煤为主的消费结构,减少碳排放,缓解温室效应,防止全球变暖,确保了环境安全。 4.农牧交错带是指我国东部农耕区与西部草原牧区相连接的生态过波带。阅读资料,回答下列问题。 材料一:下图为我国农牧交错带分布图。 材料二:农牧交错带土地退化过程示意图。(1)北方农牧交错带是 和 (填气候)的过渡地带;南方农牧交错带是 和 (填地形区)的 过渡地带。 (2)北方农牧交错带的过渡性还表现为( ) ①平原地形向高原地形过渡 ②半湿润区向半干旱区过渡; ③草原景观向荒漠景观过渡 ④人口密集区向稀疏区过渡 A.①②③ B.②③④ C.①②④ D.①③④ (3)判断下列有关南、北方农牧交错带的说法是否正确。(在括号内填写:正确,或错误) ①均为生态脆弱区( ) ②均位于第一和第二阶梯交界处( ) ③南、北方农牧交错带区域的类型均为自然区域( ) ④全球变暖背景下北方农牧交错带正向西北方向迁移( ) (4)将正确的代号填入材料二的图中对应的框内(每个字母限填一次) A.陡坡开垦 B.过度放牧 C.生态环境脆弱 D.不因时制宜 (5)南方农牧交错带和北方农牧交错带,都易产生的生态环境问题有( )(不定项选择) A.草场退化 B.石漠化 C.生物多样性减少 D.沙漠化 (6)材料二示意图体现了 (单选) A.被动适应的人地关系 B.自然环境的整体性 C.自然环境的差异性 D.区域的整体性 (7)南方农牧交错带是我国泥石流发生风险较高的地区之一,从板块运动和气候条件分析原因。 【答案】(1)温带季风气候 温带大陆性气候 云贵高原(四川盆地) 青藏高原 (2)C (3)正确 错误 错误 错误(4)CBAD (5)AC (6)D (7)板块运动:位于板块交界处,地壳运动活跃,山体结构不稳定,碎屑物质多 气候条件:亚热带季风气候,夏季降水集中多暴雨 【解析】(1)读材料一图并结合所学知识,从所属气候看,北方农牧交错带是温带季风气候和温带大陆 性气候的过渡地带;从所属地形区看,南方农牧交错带是云贵高原(四川盆地)和青藏高原的过渡地带。 (2)北方农牧交错带位于内蒙古高原向东北平原、华北平原的过渡地带,①正确;内蒙古高原主要位于 半干旱区,华北平原、东北平原主要位于半湿润区,北方农牧交错带位于半干旱区向半湿润区过渡,②正 确;内蒙古高原东部为草原带,华北平原和东北平原主要为森林带,所以是草原景观向森林景观的过渡, ③错误;该过渡带是人口稀疏区向密集区的过渡地带,④正确。综上所述,D对,排除ABC。故选D。 (3)结合已学的生态脆弱区的概念和主要分布可知,南、北方农牧交错带均为生态脆弱区,①说法正确; 读材料一图,南、北方农牧交错带在第一和第二阶梯交界处和第二和第三阶梯交界处均有分布,②说法错 误;南、北方农牧交错带区域的类型均为综合自然特征和人文特征划分的区域,③说法错误;全球变暖背 景下,蒸发增加,地表呈现干旱,整个干旱半干旱区南移,北方农牧交错带会向偏南方向迁移,④说法错 误。 (4)读图可知,不合理的土地利用方式包括粗放经营、不因地制宜和不因时制宜(④对应D)。过度放牧 属于粗放经营(②对应B),陡坡开荒属于不因地制宜(③对应A),不合理利用土地会导致生态环境更加 脆弱,所以左上角的空白框中填(①对应C)。因此自上而下依次是CBAD。 (5)南方农牧交错带和北方农牧交错带均属于农区和牧区的过渡地带,随着人口的增加,人类过度开垦、 过度放牧均会破坏植被后导致草场退化、物种多样性减少等生态问题,AC对;石漠化主要出现在南方农牧 交错带,B错;沙漠化主要出现在北方农牧交错带,D错。故选AC。 (6)材料二:农牧交错带土地退化过程是区域自然要素和人文要素相互作用、相互制约、相互影响的结 果,所以材料二示意图体现了区域的整体性,而非自然环境的整体性,D对B错;区域之间存在差异性,C 错;材料二示意图体现了人类活动对土地退化的影响,并没有体现被动适应的人地关系,A错。故选D。 (7)南方农牧交错带位于我国西南地区,从板块运动条件分析:其位于亚欧板块和印度洋板块交界处, 地壳运动活跃,山体结构不稳定,碎屑物质多(或岩石破碎);从气候条件分析:其属于亚热带季风气候, 夏季降水丰富,且多暴雨,降雨强度大。以上原因使南方农牧交错带是我国泥石流发生风险较高的地区之 一。 5.日本东京和法国巴黎分别是第32届和33届夏季奥运会的举办地,下图为法国和日本简图,下表为巴黎 与东京的降水统计资料。阅读图文资料,回答下列问题。(1)描述法国的位置。 (2)与巴黎相比,描述东京的降水特征并分析原因。 (3)第33届夏季奥运会于7月26日-8月11日在巴黎举行,据报道,巴黎奥运村不安装空调。据统计,巴 黎绝大多数的居民家庭同样不安装空调。从气候角度分析巴黎奥运村不安装空调的原因。 (4)马赛是2024年巴黎奥运会帆船比赛的赛场。帆船运动对气象和水文的基本要求是微风、水流不太急、 能见度在1500米以上。说明在马赛举办夏季奥运会帆船比赛的有利自然条件。 【答案】(1)大部分位于44°N-50°N,北温带,中纬度;位于欧洲的西部(西南部);南临地中海,西北 临英吉利海峡,西南临比斯开湾。 (2)特征:相比巴黎,东京年降水量更大;夏季降水更多,季节差异更大。 原因:东京位于太平洋沿岸,受海洋影响大,水汽更充足,降水量更大;夏季,东京受来自太平洋的东南 季风影响,带来充足水汽;东京位于山脉东侧,东南季风受到山地抬升,降水多。东京易受台风影响,降 水多。 (3)巴黎纬度较高,正午太阳高度角小,地表获得热量少;距离海洋较近,海洋对气候的调节作用强;阴 雨天气多,夏季凉爽,不需要安装空调。 (4)马赛位于地中海沿岸,海域宽阔;马赛夏季受副热带高气压带控制;盛行下沉气流,风力较小,海上 风浪较小;多晴天,能见度高。 【解析】(1)读图可知,从纬度位置看,法国大部分位于44°N-50°N,说明法国处于北温带、中纬度地区。从海陆位置看,法国位于欧洲的西部(西南部),南临地中海,西北临英吉利海峡,西南临比斯开湾。 (2)降水特征:相比巴黎,东京年降水量更大。从表格数据可以明显看出,东京各月降水量普遍高于巴 黎,全年总降水量也更多。东京夏季几个月降水量较多,而冬季相对较少,降水季节变化明显。原因:东 京位于太平洋沿岸,受海洋影响大,水汽更充足,降水量更大。海洋能够提供大量的水汽,使得沿海地区 降水相对较多。夏季,东京受来自太平洋的东南季风影响,东南季风从海洋吹向陆地,携带大量水汽,增 加了东京的降水。东京位于山脉东侧,东南季风受到山地抬升,导致水汽在上升过程中冷却凝结,形成降 水。东京易受台风影响,台风带来大量的水汽和强降水,进一步增加了东京的降水量。 (3)巴黎纬度较高,太阳高度角小,太阳辐射相对较弱,气温相对较低。距离海洋较近,海洋对气候的 调节作用强,能够吸收和释放热量,使得沿海地区气温变化较为缓和,夏季不会过于炎热。巴黎受海洋影 响,气候湿润,阴雨天气较多,云层能够削弱太阳辐射,降低气温。 (4)马赛位于地中海沿岸,海域宽阔,为帆船比赛提供了足够的空间,有利于运动员发挥。马赛夏季受 副热带高气压带控制,盛行下沉气流,风力较小,海上风浪较小,这种气象条件非常适合帆船比赛,不会 因为风浪过大而影响比赛的进行。晴天多,能见度在1500米以上,有利于运动员观察周围环境和其他船只, 提高比赛的安全性和观赏性。