当前位置:首页>文档>47必修③第2章区域生态环境建设第28讲荒漠化与水土流失_通用版(老高考)复习资料_2023年复习资料_地理高三一轮复习系列_地理高三一轮复习系列《一轮复习讲义》(学生版)

47必修③第2章区域生态环境建设第28讲荒漠化与水土流失_通用版(老高考)复习资料_2023年复习资料_地理高三一轮复习系列_地理高三一轮复习系列《一轮复习讲义》(学生版)

  • 2026-04-29 17:29:32 2026-04-29 17:20:02

文档预览

47必修③第2章区域生态环境建设第28讲荒漠化与水土流失_通用版(老高考)复习资料_2023年复习资料_地理高三一轮复习系列_地理高三一轮复习系列《一轮复习讲义》(学生版)
47必修③第2章区域生态环境建设第28讲荒漠化与水土流失_通用版(老高考)复习资料_2023年复习资料_地理高三一轮复习系列_地理高三一轮复习系列《一轮复习讲义》(学生版)
47必修③第2章区域生态环境建设第28讲荒漠化与水土流失_通用版(老高考)复习资料_2023年复习资料_地理高三一轮复习系列_地理高三一轮复习系列《一轮复习讲义》(学生版)
47必修③第2章区域生态环境建设第28讲荒漠化与水土流失_通用版(老高考)复习资料_2023年复习资料_地理高三一轮复习系列_地理高三一轮复习系列《一轮复习讲义》(学生版)
47必修③第2章区域生态环境建设第28讲荒漠化与水土流失_通用版(老高考)复习资料_2023年复习资料_地理高三一轮复习系列_地理高三一轮复习系列《一轮复习讲义》(学生版)
47必修③第2章区域生态环境建设第28讲荒漠化与水土流失_通用版(老高考)复习资料_2023年复习资料_地理高三一轮复习系列_地理高三一轮复习系列《一轮复习讲义》(学生版)
47必修③第2章区域生态环境建设第28讲荒漠化与水土流失_通用版(老高考)复习资料_2023年复习资料_地理高三一轮复习系列_地理高三一轮复习系列《一轮复习讲义》(学生版)
47必修③第2章区域生态环境建设第28讲荒漠化与水土流失_通用版(老高考)复习资料_2023年复习资料_地理高三一轮复习系列_地理高三一轮复习系列《一轮复习讲义》(学生版)
47必修③第2章区域生态环境建设第28讲荒漠化与水土流失_通用版(老高考)复习资料_2023年复习资料_地理高三一轮复习系列_地理高三一轮复习系列《一轮复习讲义》(学生版)
47必修③第2章区域生态环境建设第28讲荒漠化与水土流失_通用版(老高考)复习资料_2023年复习资料_地理高三一轮复习系列_地理高三一轮复习系列《一轮复习讲义》(学生版)
47必修③第2章区域生态环境建设第28讲荒漠化与水土流失_通用版(老高考)复习资料_2023年复习资料_地理高三一轮复习系列_地理高三一轮复习系列《一轮复习讲义》(学生版)
47必修③第2章区域生态环境建设第28讲荒漠化与水土流失_通用版(老高考)复习资料_2023年复习资料_地理高三一轮复习系列_地理高三一轮复习系列《一轮复习讲义》(学生版)
47必修③第2章区域生态环境建设第28讲荒漠化与水土流失_通用版(老高考)复习资料_2023年复习资料_地理高三一轮复习系列_地理高三一轮复习系列《一轮复习讲义》(学生版)
47必修③第2章区域生态环境建设第28讲荒漠化与水土流失_通用版(老高考)复习资料_2023年复习资料_地理高三一轮复习系列_地理高三一轮复习系列《一轮复习讲义》(学生版)
47必修③第2章区域生态环境建设第28讲荒漠化与水土流失_通用版(老高考)复习资料_2023年复习资料_地理高三一轮复习系列_地理高三一轮复习系列《一轮复习讲义》(学生版)
47必修③第2章区域生态环境建设第28讲荒漠化与水土流失_通用版(老高考)复习资料_2023年复习资料_地理高三一轮复习系列_地理高三一轮复习系列《一轮复习讲义》(学生版)

文档信息

文档格式
docx
文档大小
3.755 MB
文档页数
12 页
上传时间
2026-04-29 17:20:02

文档内容

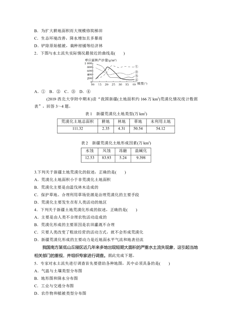
第 28 讲 荒漠化与水土流失 [考纲呈现] [思维导图] 区域存在的环境与发展问题及其产生的 危害以及有关的治理保护措施。 [考纲解读] 1.掌握荒漠化的概念、形成原因和治理 措施。 2.理解不同地区荒漠化产生的自然原 因、人为原因及其防治措施。(重点) 考点一 荒漠化 1.荒漠化的含义及类型 2.以我国西北地区为例分析荒漠化的成因及治理措施 (1)西北地区的区域背景(2)西北地区荒漠化的成因 ①自然因素是荒漠化形成的必要条件 ②人为因素是荒漠化形成的决定条件 (3)荒漠化的防治措施 ①合理利用水资源 地区 措施 农作区 改善 和 ,推广节水农业,避免土壤盐碱化 牧区草原 减少 的数量,以免牲畜的大量无序增长干旱的内 合理分配 ,既要考虑上、中游的开发,又要顾及 陆地区 下游生态环境的保护 ②利用生物措施和工程措施构筑防护体系 ③调节农、林、牧用地之间的关系 ④采取综合措施,多途径解决农牧区的能源问题 ⑤控制人口增长 考向一 荒漠化的成因与危害 1.阅读图文资料,完成下列要求。 下图所示区域海拔在4 500米以上,冬春季盛行西风,年平均大风(≥8级)日数157天, 且多集中在10月至次年4月,青藏铁路在桑曲和巴索曲之间的路段风沙灾害较为严重,且 主要为就地起沙,风沙流主要集中在近地面20~30厘米高度范围内。 (1)分析错那湖东北部沿岸地区冬春季风沙活动的沙源。 (2)说明上述沙源冬春季起沙的原因。(3)简述风沙对该路段铁路及运行列车的危害。 (4)针对该路段的风沙灾害,请提出防治措施。 下图为“非洲大陆荒漠化示意图”。读图,回答2~3题。 2.非洲荒漠化严重区主要出现在( ) A.热带雨林带 B.热带草原带 C.热带荒漠带 D.亚热带常绿硬叶林带 3.造成非洲荒漠化的主要人为原因有( ) ①人口增长——荒漠化面积与人口密度呈正相关 ②过度砍伐——大约600万公顷的森林遭到砍伐 ③过度放牧——大约2.4亿公顷的草场遭到破坏 ④过度开垦——耕地面积扩大是荒漠化的首要因素 A.①③ B.②③ C.①④ D.②④ 考向二 荒漠化的特征与防治 (2016·海南地理)下图示意一固定沙丘某年5~9月土壤水分含量(%)随深度的变化。该沙 丘位于毛乌素沙漠的南缘,无人为扰动,多年保持稳定。据此完成4~6题。4.该固定沙丘( ) ①浅层土壤含水量低 ②深层土壤含水量低 ③6~8月土壤含水量低 ④6~8月土壤含水 量高 A.①④ B.②③ C.①③ D.②④ 5.6~8月,该固定沙丘土壤含水量明显不同于其他月份的原因是( ) ①风速较大 ②蒸腾量较大 ③气温较高 ④降水较少 A.①② B.②③ C.③④ D.①④ 6.为维护生态安全,毛乌素沙漠的南缘适合( ) A.植树 B.种草 C.栽灌木 D.自然演化 (2015·山东文综)绿洲与荒漠的交错带生态环境脆弱,在其附近的绿洲区过量开采地下水 会使交错带生态环境退化,形成“生态裂谷”。下图为“生态裂谷”分布示意图。完成7~ 8题。 7.“生态裂谷”形成过程中,附近的交错带( ) A.自然植被改善 B.风力侵蚀减弱 C.地下水流向绿洲区 D.流动沙丘转为固定沙丘 8.“生态裂谷”出现后,为了绿洲区的可持续发展,应该( ) A.在荒漠区植树造林 B.在交错带发展灌溉农业 C.在绿洲区禁止开采地下水 D.在流域内合理分配水资源 考点二 水土流失 1.黄土高原区域背景- 2.黄土高原水土流失的原因 3.水土流失的危害 4.黄土高原水土流失治理措施 考向一 水土流失的原因和过程 水土流失是形成黄土高原千沟万壑自然景观的主要原因,黄土高原地区每年流失的土壤约16亿吨。据此回答1~2题。 1.造成黄土高原水土流失的自然原因是( ) ①黄土土质疏松 ②轮荒制度 ③黄土高原地质灾害频繁 ④过度樵采,破坏植被 ⑤黄土 高原夏季多暴雨 A.①④⑤ B.①②③ C.①③⑤ D.③④⑤ 2.黄土高原水土流失严重的人为原因是( ) ①不合理的土地利用 ②破坏植被 ③降水集中且多暴雨 ④黄土土质疏松 A.①② B.②③ C.③④ D.①④ 3.(2019·河南调研)读材料,完成下列问题。 下图为我国某区域地形图,该区处于半湿润区向半干旱区的过渡地带,水土流失严重, 人们常用“穷山恶水”来形容当地恶劣的生存环境。 (1)请根据该地区黄土的成因推测该区域土壤颗粒物平均粒径的空间变化,并简要说明原因。 (2)简析该区域侵蚀作用的季节差异。 (3)分析图示地区水土流失严重的自然原因。 考向二 水土流失的危害和治理措施 (2019·湛江模拟)抱坡岭是三亚市一座山体裸露、地势起伏较大的废弃石灰岩矿山,自开 展“城市修补、生态修复”以来,抱坡岭成为首批山体修复试点之一,相关部门采用了削皮 退台、设置“V”型槽等综合治理办法恢复山体的生态环境。据此完成4~6题。4.抱坡岭需要人工修复最主要的原因是( ) A.石灰岩易风化,造成危岩崩落,威胁居民生命财产安全 B.处于台风多发区,易引发地质灾害 C.山体坡度大,涵养水土的能力差,自我修复能力差 D.美化环境,增加旅游景点 5.每一级退台都设置为外缘高、内部低的主要目的是( ) A.降低爬山难度 B.增加耕地面积 C.便于汇集雨水 D.提高地面美观度 6.适合用于该山体修复的植被应具有的特点为( ) A.耐旱、耐贫瘠 B.耐旱、耐盐碱 C.耐涝、耐贫瘠 D.耐涝、耐盐碱 7.黄土地貌是一种独特的地貌形态,它对当地人们的生产、生活方式有着巨大的影响。读 图文资料,回答问题。 材料一 黄土峁、黄土梁和黄土塬是黄土高原的基本地貌形态。 材料二 随着时间的推移,黄土高原的地表越来越破碎,对农业生产的不利影响越来越严重, 为减少这种影响,需要采取一系列针对性的措施。 (1)简述黄土地貌的演变对农业生产的不利影响。 (2)为减缓黄土地貌演变对农业生产的不利影响,人们动用了推土机等大型机械,实施土地 平整工程。简要分析这一措施的有利作用及产生的不利影响。 课时作业 (2019·豫北名校联考)我国南方某低山丘陵区近年来出现短期大面积的严重水土流失现象, 这引起当地相关部门的重视,并组织专家进行调查。据此完成1~2题。 1.专家经过实地调查确定水土流失的原因最可能是( ) A.城市化进程快,占用大量土地B.为扩大耕地面积而大规模修筑梯田 C.生态环境改善,降水增加且多暴雨 D.铲除原始植被,栽种柑橘等经济林 2.下图与水土流失实际情况最接近的曲线是( ) A.① B.② C.③ D.④ (2019·西北大学附中期末)读“我国新疆(土地面积约166万km2)荒漠化情况统计数据 表”,回答3~4题。 表1 新疆荒漠化土地类型(万km2) 荒漠化土地总面积 耕地 林地 草地 未利用土地 111.32 2.35 4.31 50.54 54.12 表2 新疆荒漠化土地形成因素(万km2) 水蚀 风蚀 冻融 盐碱化 12.53 83.93 5.24 9.398 3.下列关于新疆土地荒漠化的叙述,正确的是( ) A.荒漠化土地面积小于非荒漠化土地面积 B.荒漠化主要是由滥伐林木造成的 C.保护草地、合理利用草场资源是治理荒漠化的主要手段 D.荒漠化主要发生在有人类活动的地区 4.下列关于新疆土地荒漠化形成的叙述,正确的是( ) A.主要是由人类不合理农牧活动造成的 B.荒漠化形成的主要原因是农田灌溉不合理 C.只要人类改变了粗放经营的活动方式,就不会形成荒漠化 D.新疆荒漠化形成的主要动力是近地面水平气流和地表径流 我国南方某低山丘陵区近几年来多地出现短期大面积的严重水土流失现象,这引起当地 相关部门的重视,并组织专家进行调查。据此完成下题。 5.专家对水土流失进行调查首先要借助各种地图,其中必须具备的是( ) A.气温与土壤类型分布图 B.地形图和降水分布图 C.工业与交通分布图 D.农作物和植被类型分布图6.云贵高原和黄土高原荒漠化的共同原因是( ) ①石灰岩广布,土层发育浅薄 ②植被破坏 ③降水强度大,多暴雨 ④土层疏松,直立性 较强 A.①②③ B.②④ C.①③ D.②③ (2019·河南驻马店期末)读“贵州省喀斯特地貌石漠化危险度评价图”,回答7~8题。 7.关于贵州省石漠化形成影响因素的叙述,正确的是( ) A.地形起伏越大,石漠化越严重 B.石漠化的成因与人类活动关系不大 C.植被覆盖率越高,石漠化越严重 D.石漠化的成因与气候条件关系不大 8.有关贵州省石漠化地区分布的叙述,正确的是( ) A.石漠化地区分布比较均匀 B.东部地区石漠化危险程度最低,因该地降水量少 C.中度危险及以上石漠化面积占绝大部分 D.石漠化地区分布主要呈东南—西北走向 (2018·宜宾高三期末)“种地非良田,观赏如画卷”的砒砂岩,是一种隐藏在黄土高原上 的特殊岩石。其岩层松散,异常贫瘠,农作物难以生长,生命如遇砒霜之毒,故称砒砂岩。 该岩石的色泽斑斓绚烂,灰绿、棕黄、绛红、粉紫、灰白,五色相间。所以当地老百姓管它 叫“五花肉”。读“砒砂岩分布示意图(下图)”,回答9~10题。9.关于砒砂岩分布区目前外力作用状况的叙述,正确的是( ) A.春季风力强劲,以风力侵蚀作用为主 B.分布在黄土高原上,全年都以流水侵蚀作用为主 C.主要分布在黄河支流的下游,以流水沉积作用为主 D.自东南向西北侵蚀作用越来越弱,风化作用越来越强 10.把砒砂岩分布区变“毒”为“宝”宜采取的措施有( ) A.退耕还林、还牧,保护生态环境 B.增施有机肥,提高土壤肥力 C.建立地质公园,发展旅游业 D.封山育林,防治水土流失 11.(2019·福建厦门模拟)阅读图文材料,完成下列要求。 黄河下游因黄河多次决口形成泛滥平原(黄泛平原),沙岗地和洼地广布,冬春季节风沙 活动频繁。 红薯是地下块茎的高产作物,喜温怕涝,喜疏松土壤。开封市在沙地采用起垄方式种植 红薯,一年两熟,大面积种植红薯却加剧了当地的风沙活动。某农业公司采用“冬小麦— 红薯”两茬轮作的保护性耕作模式,很好地抑制了风沙活动。(1)分析黄泛平原风沙区多沙地的自然原因。 (2)分析开封沙岗地起垄种植有利于红薯生长的原因。 (3)分析红薯种植加剧开封风沙活动的原因,并说明“冬小麦—红薯”模式能抑制风沙的原 因。 12.阅读图文材料,回答下列问题。 图1是我国南方某区域等高线(单位:米)地形图,图2是图1中甲处的气候资料。据道 光、咸丰年间的县志记载,图2中甲处当时森林茂密,柳竹成荫,河深水清,舟楫畅行。然 而现在展现在人们眼前的却是被切割得支离破碎的光山秃岭,一片“红色荒漠”景观。 (1)根据材料,分析图1中甲处形成“红色荒漠”景观的原因。 (2)图1中甲处形成的“红色荒漠”带来的危害主要表现在哪些方面? (3)在充分利用当地资源的基础上,我们应采取哪些有效措施防治图示区域日渐扩大的“红 色荒漠”?