文档
办公文件
生活文档
学习资料
当前位置:
首页
>
文档
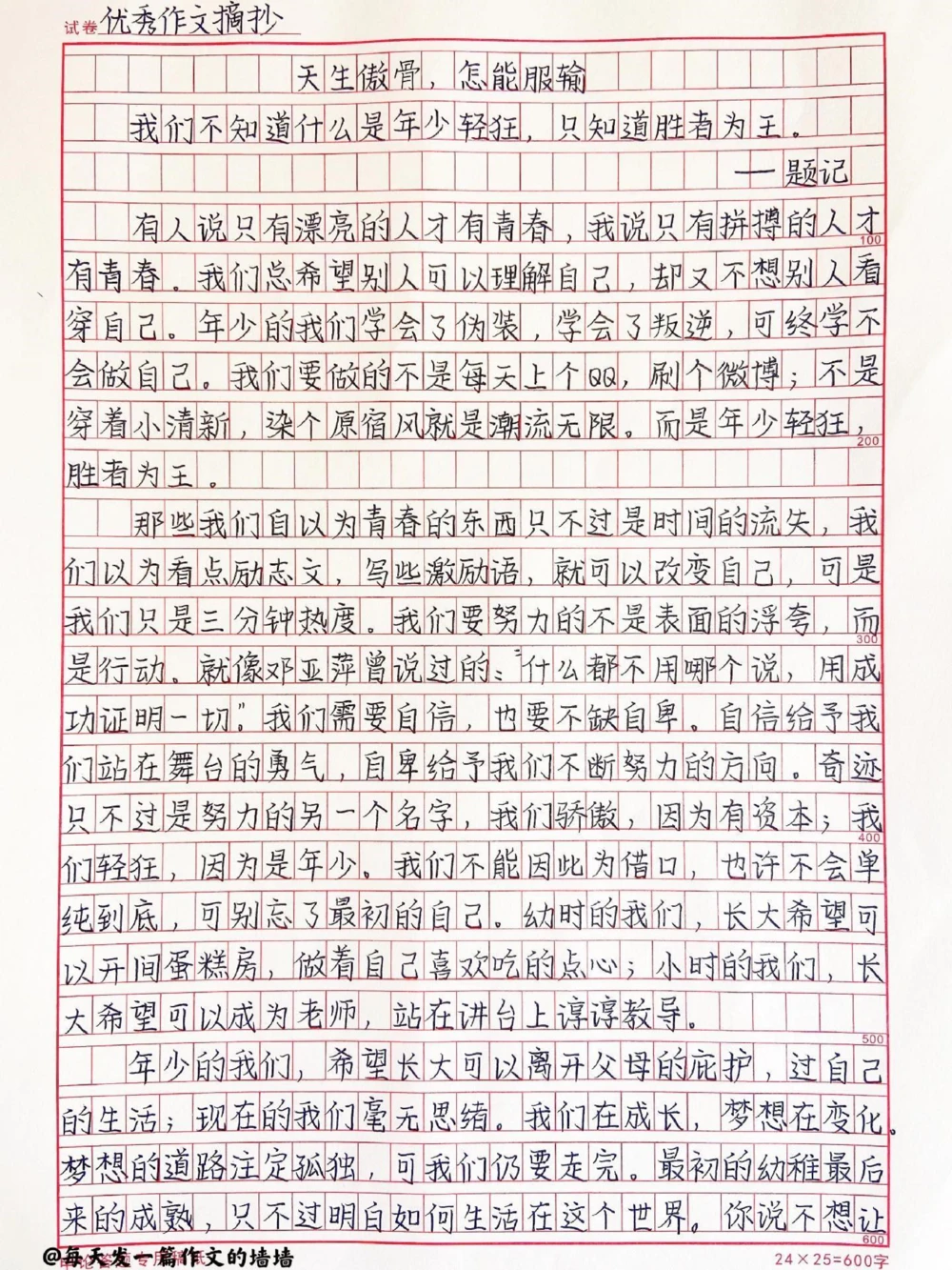
>高中优秀作文范文摘抄《天生傲骨,怎能服输》努力让自己变得更好更优秀#作文#作文素材#抖音图文来了_中小学精品资料(高清可打印)_初中大全集高清资料整理版
高中优秀作文范文摘抄《天生傲骨,怎能服输》努力让自己变得更好更优秀#作文#作文素材#抖音图文来了_中小学精品资料(高清可打印)_初中大全集高清资料整理版
2026-03-27 02:53:45
2026-01-23 05:13:38
文档预览
文档信息
文档格式
pdf
文档大小
2.810 MB
文档页数
8 页
上传时间
2026-01-23 05:13:38
下载文档
本文档来自网络内容,如有侵犯您的权益请联系我们删除,联系邮箱:wyl860211@qq.com。
上一篇
高中优秀作文范文《以吾少年意气,护祖国之盛世》#作文#抖音图文来了_中小学精品资料(高清可打印)_初中大全集高清资料整理版
下一篇
高中优秀作文范文摘抄《纵有疾风起,人生不言弃》#高中#作文#高三#抖音图文来了_中小学精品资料(高清可打印)_初中大全集高清资料整理版
最新文档
Unit1PartC课件_26春四年级上下册人教版_四上英语合集人教版PEP英语四年级上册新教材(教学视频+课件+动画+音频+练习+教案)_19同步教案课件_人教pep3_3年级下册_PDF课件
Unit1PartB课件_26春四年级上下册人教版_四上英语合集人教版PEP英语四年级上册新教材(教学视频+课件+动画+音频+练习+教案)_19同步教案课件_人教pep3_6年级下册_PDF课件
专题01重大灾害事件(9大热点话题+3大考点提炼)(测试)-2025年中考地理二轮复习(全国通用)(解析版)_02中考总复习(2026版更新中)_09-地理-中考总复习_2025中考地理复习资料_测试
Unit1PartB课件_26春四年级上下册人教版_四上英语合集人教版PEP英语四年级上册新教材(教学视频+课件+动画+音频+练习+教案)_19同步教案课件_人教pep3_5年级下册_PDF课件
Unit1PartB课件_26春四年级上下册人教版_四上英语合集人教版PEP英语四年级上册新教材(教学视频+课件+动画+音频+练习+教案)_19同步教案课件_人教pep3_4年级下册_PDF课件
专题01重大灾害事件(9大热点话题+3大考点提炼)(测试)-2025年中考地理二轮复习(全国通用)(原卷版)_02中考总复习(2026版更新中)_09-地理-中考总复习_2025中考地理复习资料_测试
Unit1PartB课件_26春四年级上下册人教版_四上英语合集人教版PEP英语四年级上册新教材(教学视频+课件+动画+音频+练习+教案)_19同步教案课件_人教pep3_3年级下册_PDF课件
Unit1PartB第二课时_26春四年级上下册人教版_四上英语合集人教版PEP英语四年级上册新教材(教学视频+课件+动画+音频+练习+教案)_19同步教案课件_人教pep3_3-6年级上册_Unit1Myclassroom
Unit1PartB第三课时_26春四年级上下册人教版_四上英语合集人教版PEP英语四年级上册新教材(教学视频+课件+动画+音频+练习+教案)_19同步教案课件_人教pep3_3-6年级上册_Unit1Myclassroom
Unit1PartB第一课时_26春四年级上下册人教版_四上英语合集人教版PEP英语四年级上册新教材(教学视频+课件+动画+音频+练习+教案)_19同步教案课件_人教pep3_3-6年级上册_Unit1Myclassroom
热门文档
Unit1PartBReadandwrite_26春四年级上下册人教版_四上英语合集人教版PEP英语四年级上册新教材(教学视频+课件+动画+音频+练习+教案)_19同步教案课件_人教pep3_3-6上册_Unit1
Unit1PartBLet’stalk_26春四年级上下册人教版_四上英语合集人教版PEP英语四年级上册新教材(教学视频+课件+动画+音频+练习+教案)_19同步教案课件_人教pep3_3-6上册_Unit1
Unit1PartBLet’slearn_26春四年级上下册人教版_四上英语合集人教版PEP英语四年级上册新教材(教学视频+课件+动画+音频+练习+教案)_19同步教案课件_人教pep3_3-6上册_Unit1
Unit1PartBHowcanwebepolite_Unit1Meetingnewpeople(第四课时)_课后练习1_26春四年级上下册人教版_四上英语合集人教版PEP英语四年级上册新教材(教学视频+课件+动画+音频+练习+教案)
Unit1PartBHowcanwebepolite_Unit1Meetingnewpeople(第四课时)_教学设计1_26春四年级上下册人教版_四上英语合集人教版PEP英语四年级上册新教材(教学视频+课件+动画+音频+练习+教案)
Unit1PartBHowcanwebepolite_Unit1Meetingnewpeople(第四课时)_学习任务单1_26春四年级上下册人教版_四上英语合集人教版PEP英语四年级上册新教材(教学视频+课件+动画+音频+练习+教案)
Unit1PartBHowcanwebepolite_Unit1Meetingnewpeople(第六课时)_课后练习3_26春四年级上下册人教版_四上英语合集人教版PEP英语四年级上册新教材(教学视频+课件+动画+音频+练习+教案)
Unit1PartBHowcanwebepolite_Unit1Meetingnewpeople(第六课时)_教学设计3_26春四年级上下册人教版_四上英语合集人教版PEP英语四年级上册新教材(教学视频+课件+动画+音频+练习+教案)
Unit1PartBHowcanwebepolite_Unit1Meetingnewpeople(第六课时)_学习任务单3_26春四年级上下册人教版_四上英语合集人教版PEP英语四年级上册新教材(教学视频+课件+动画+音频+练习+教案)
Unit1PartBHowcanwebepolite_Unit1Meetingnewpeople(第五课时)_课后练习2_26春四年级上下册人教版_四上英语合集人教版PEP英语四年级上册新教材(教学视频+课件+动画+音频+练习+教案)
随机文档
Unit1PartBHowcanwebepolite_Unit1Meetingnewpeople(第五课时)_教学设计2_26春四年级上下册人教版_四上英语合集人教版PEP英语四年级上册新教材(教学视频+课件+动画+音频+练习+教案)
Unit1PartBHowcanwebepolite_Unit1Meetingnewpeople(第五课时)_学习任务单2_26春四年级上下册人教版_四上英语合集人教版PEP英语四年级上册新教材(教学视频+课件+动画+音频+练习+教案)
Unit1PartA课件_26春四年级上下册人教版_四上英语合集人教版PEP英语四年级上册新教材(教学视频+课件+动画+音频+练习+教案)_19同步教案课件_人教pep3_3年级下册_PDF课件
Unit1PartA第二课时_26春四年级上下册人教版_四上英语合集人教版PEP英语四年级上册新教材(教学视频+课件+动画+音频+练习+教案)_19同步教案课件_人教pep3_3-6年级上册_Unit1Myclassroom
Unit1PartA第三课时_26春四年级上下册人教版_四上英语合集人教版PEP英语四年级上册新教材(教学视频+课件+动画+音频+练习+教案)_19同步教案课件_人教pep3_3-6年级上册_Unit1Myclassroom
Unit1PartA第一课时_26春四年级上下册人教版_四上英语合集人教版PEP英语四年级上册新教材(教学视频+课件+动画+音频+练习+教案)_19同步教案课件_人教pep3_3-6年级上册_Unit1Myclassroom
Unit1PartALet’stalk_26春四年级上下册人教版_四上英语合集人教版PEP英语四年级上册新教材(教学视频+课件+动画+音频+练习+教案)_19同步教案课件_人教pep3_3-6上册_Unit1
Unit1PartALet’sspell_26春四年级上下册人教版_四上英语合集人教版PEP英语四年级上册新教材(教学视频+课件+动画+音频+练习+教案)_19同步教案课件_人教pep3_3-6上册_Unit1
Unit1PartALet’slearn_26春四年级上下册人教版_四上英语合集人教版PEP英语四年级上册新教材(教学视频+课件+动画+音频+练习+教案)_19同步教案课件_人教pep3_3-6上册_Unit1
Unit1PartAHowdowegreetnewpeople_Unit1Meetingnewpeople(第二课时)_课后练习2_26春四年级上下册人教版_19同步教案课件_人教pep3_小学英语PEP智慧教育课件(3上,3-6下)_Unit1Meetingnewpeople