【免费下载】高考真题【甘肃】【化学】2025年高考真题——甘肃卷word版含解析学生版教师版


化学
注意事项:
1.答卷前、考生务必将自己的姓名、准考证号填写在答题卡上。
2.回答选择题时,选出每小题答案后,用2B铅笔把答题卡上对应题目的答案标号框涂黑。如需改动、用橡皮擦干净后,再选涂其他答案标号框。回答非选择题时,将答案写在答题卡上。写在本试卷上无效。
3.考试结束后,将本试卷和答题卡一并交回。
可能用到的相对原子质量:H-1C-12O-16
一、选择题:本题共14小题,每小题3分,共42分。在每小题给出的四个选项中,只有一项是符合题目要求的。
1. 下列爱国主义教育基地的藏品中,主要成分属于无机非金属材料的是
A. 劳动英雄模范碑(南梁革命纪念馆藏)
B. 红军党员登记表(红军长征胜利纪念馆藏)
C. 陕甘红军兵工厂铁工具(甘肃省博物馆藏)
D. 谢觉哉使用过的皮箱(八路军兰州办事处纪念馆藏)
2. 马家窑文化遗址出土了大量新石器时代陶制文物,陶制文物的主要成分为硅酸盐,下列有关表述错误的是
A. 基态Si原子价层电子排布图:
B.
的同位素
可作为有机反应示踪原子
C.
的电子式为:
D. 

3. 苦水玫瑰是中国国家地理标志产品,可从中提取高品质的玫瑰精油。玫瑰精油成分之一的结构简式如图,下列说法错误的是

A. 该分子含1个手性碳原子B. 该分子所有碳原子共平面
C. 该物质可发生消去反应D.该物质能使溴的四氯化碳溶液褪色
4.
加氢转化成甲烷,是综合利用
实现“碳中和”和“碳达峰”的重要方式。525℃,101kPa下,
。反应达到平衡时,能使平衡向正反应方向移动的是
A. 减小体系压强B. 升高温度
C. 增大
浓度D. 恒容下充入惰性气体
5. X、Y、Z、W、Q分别为原子序数依次增大的短周期主族元素。Y、Q基态原子的价电子数相同,均为其K层电子数的3倍,X与Z同族,W为金属元素,其原子序数等于X与Z的原子序数之和。下列说法错误的是
A. X与Q组成的化合物具有还原性
B. Y与Q组成的化合物水溶液显碱性
C. Z、W的单质均可在空气中燃烧
D. Z与Y按原子数
组成的化合物具有氧化性
6. 丁酸乙酯有果香味。下列制备、纯化丁酸乙酯的实验操作对应的装置错误的是(加热及夹持装置略)
|
A |
B |
C |
D |
|
回流 |
蒸馏 |
分液 |
干燥 |
|
|
|
|
|
A. AB. BC. CD. D
7. 物质的结构决定性质,下列事实与结构因素无关的是
|
选项 |
事实 |
结构因素 |
|
A |
K与Na产生的焰色不同 |
能量量子化 |
|
B |
|
分子间作用力 |
|
C |
金属有良好的延展性 |
离子键 |
|
D |
刚玉 |
共价晶体 |
A. AB. BC. CD. D
8. 物质的性质决定用途,下列物质的性质与用途对应关系不成立的是
|
选项 |
物质的性质 |
用途 |
|
A |
|
餐具洗涤剂 |
|
B |
酚醛树脂具有耐高温、隔热性 |
飞船外层烧蚀材料 |
|
C |
离子液体具有导电性 |
原电池电解质 |
|
D |
水凝胶具有亲水性 |
隐形眼镜材料 |
A. AB. BC. CD. D
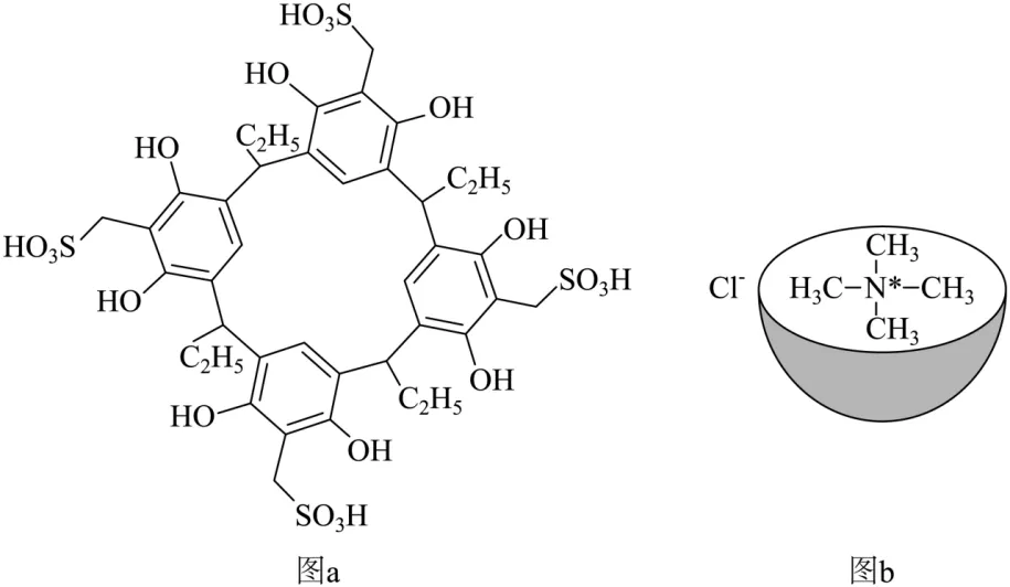
9. 我国化学家合成了一种带有空腔的杯状主体分子(结构式如图a),该分子和客体分子
可形成主客体包合物:
被固定在空腔内部(结构示意图见图b)。下列说法错误的是

A. 主体分子存在分子内氢键
B. 主客体分子之间存在共价键
C. 磺酸基中的S—O键能比
小
D.
和
中N均采用
杂化
10. 我国科学家制备了具有优良双折射性能的
材料。下列说法正确的是

A. 电负性
B. 原子半径
C.
中所有I的孤电子对数相同D.
中所有N—H极性相同
11. 处理某酸浸液(主要含
)的部分流程如下:

下列说法正确的是
A. “沉铜”过程中发生反应的离子方程式:
B. “碱浸”过程中NaOH固体加入量越多,
沉淀越完全
C. “氧化”过程中铁元素化合价降低
D. “沉锂”过程利用了
的溶解度比
小的性质
12. 我国科研工作者设计了一种Mg-海水电池驱动海水(
)电解系统(如下图)。以新型
为催化剂(生长在泡沫镍电极上)。在电池和电解池中同时产生氢气。下列关于该系统的说法错误的是

A. 将催化剂生长在泡沫镍电极上可提高催化效率
B. 在外电路中,电子从电极1流向电极4
C. 电极3的反应为:
D. 理论上,每通过2mol电子,可产生



通过网盘分享的文件:【免费下载】高考真题【甘肃】【化学】2025年高考真题——甘肃卷word版含解析学生版教师版
链接: https://pan.baidu.com/s/1Q_yNRTWu35Wwe399iCO9kA?pwd=4321 提取码: 4321
–来自百度网盘超级会员v8的分享
夜雨聆风








