夜雨聆风
乐于分享
好东西不私藏
首页
教程
玩机教程
网站开发
WordPress
源码
模板主题
网站源码
插件脚本
软件
手机应用
电脑应用
iOS专区
TV盒子
车机软件
办公开发
游戏
好片推荐
活动资讯
最新活动
科技资讯
其他资源
实用趣站
零散资源
谈天说地
关于我们
进制转换
毒鸡汤
画图板
代码运行
在线排版
今天吃啥
随机密码
在线Markdown
关注本站
微信
当前位置:
夜雨聆风
>
技术教程
>
软件教程
>
2022年新高考Ⅱ卷数学真题-答案解析(免费下载)
2022年新高考Ⅱ卷数学真题-答案解析(免费下载)
当前时间: 2026-03-01 15:55:11
分类:
软件教程
评论(0)
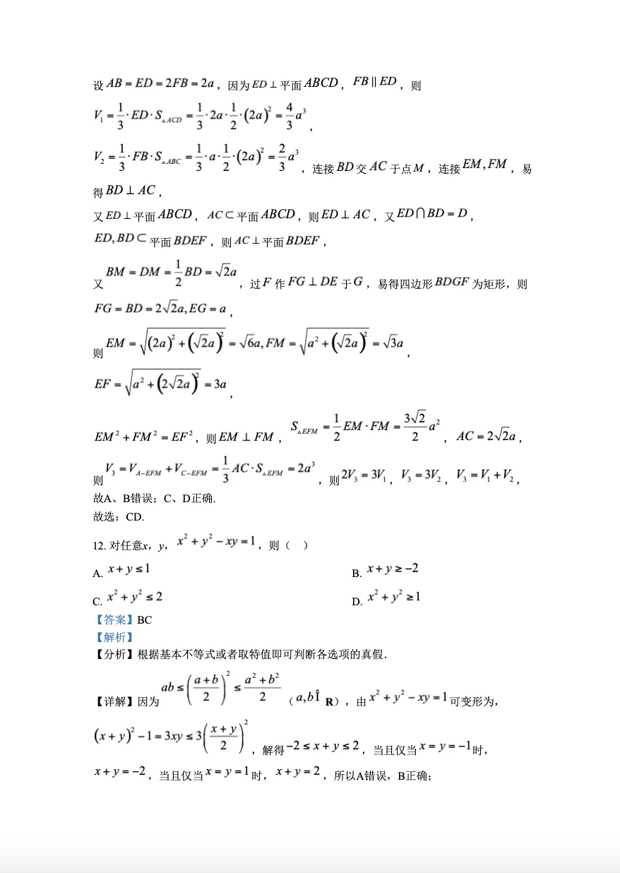
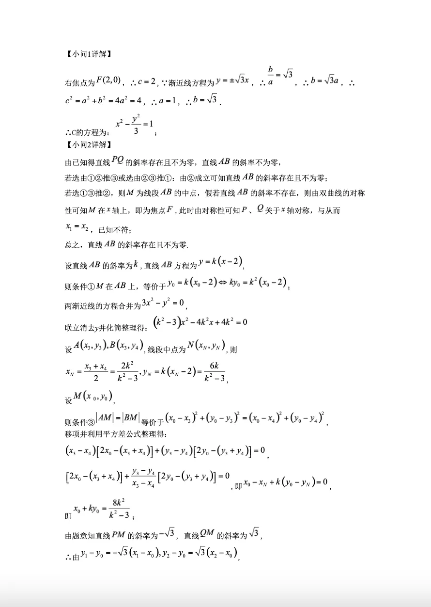
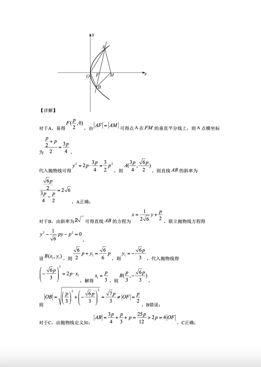
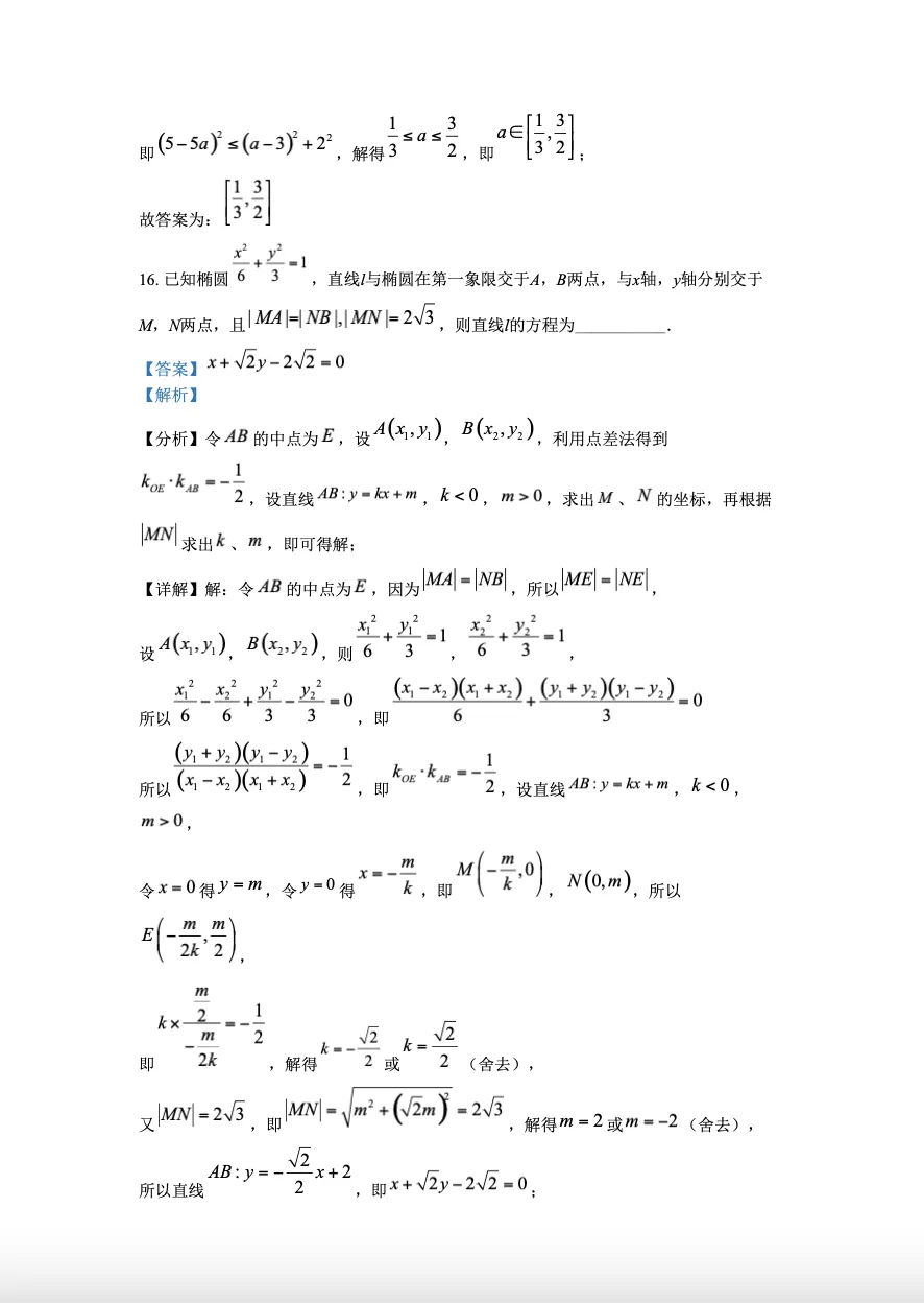
2022年新高考Ⅱ卷数学真题-答案解析(免费下载)
✨宝贝成功上岸啦!之前做的卷子拿出来分享给有需要的宝子们!
❤祝正在备考的宝子们,成功上岸❤
本站文章均为手工撰写未经允许谢绝转载:
夜雨聆风
»
2022年新高考Ⅱ卷数学真题-答案解析(免费下载)
wang
上一篇
2026年春季最新初高中政治电子版教材分享(3.1日更新最新版!免费下载!)
猜你喜欢
   
  
2026年春季最新初高中政治电子版教材分享(3.1日更新最新版!免费下载!)
   
  
知识点总结2-办公软件部分
   
  
党建工作责任清单(2025版)电子版资料
   
  
退钱啦!申请退税今起办理,手机App操作一图读懂→
   
  
(日运)娜迪娅丨苏珊米勒丨APP(2026年3月2日)运势
   
  
文末免费下载|26春二年级下册数学第四单元预习单《人教版》
   
  
26春四年级下册译林英语知识点,共8页,可打印
   
  
书籍分享丨车间管理的全套书籍免费下载
评论
抢沙发
取消
有人回复时邮件通知我
2 + 5 =
提交评论
昵称
昵称 (必填)
邮箱
邮箱 (必填)
网址
网址
×
随机推荐:《魔兽时光服:天塌了!又现“外挂级”插件,居然能全地图灵魂兽刷新时间+点位,精准收割!》
坐等沙发
)
随机推荐:《安卓下载器推荐—Snaptube油管下载器V7.16.0.71650110【YouTube视频随心下载】》
坐等沙发
)
随机推荐:《可怕!微光有钱 APP 里的月系融担平台,就是吃人不吐骨头的高利贷,小心别再还款!》
坐等沙发
)
随机推荐:《看来是遇到真爱了》
看来是遇到真爱了
已关闭评论
)
随机推荐:《【计算机毕设/任务书-免费领取源码】基于Web的智慧养老平台的设计与实现》
坐等沙发
)