乐于分享
好东西不私藏

【MATLAB源码】OCDM:通感一体化链路级仿真平台

【MATLAB源码】OCDM:通感一体化链路级仿真平台

🌊 OCDM 通感一体化链路级仿真平台

从 OCDM 基础链路到多径均衡、CFO、MIMO、PAPR/OOBE、ISAC 的完整闭环实现扁平工程结构 · 全中文注释 · 固定文件名自动存图 · 结果可复现

📌 为什么选择本项目?

做 OCDM 研究/教学时,常见问题是“有算法没工程、能跑通但不可维护、结果图不稳定难复现”。本项目的目标是:在一个统一代码框架里,把 基础通信链路 + 关键增强模块 全部打通。

常见痛点(零散代码)
本项目解决方案
🔴 只有单一 AWGN 示例,缺少工程扩展链路
✅ 一套代码覆盖 AWGN、多径均衡、CFO、2×2 MIMO、PAPR/OOBE、ISAC
🔴 输入输出维度混乱,函数耦合严重
✅ 统一参数协议 ocdm_param + 明确的列向量/块矩阵约定
🔴 随机性强、图像文件名漂移,难以复现实验
✅ rng_seed + 固定文件名 + 自动覆盖落盘
🔴 多径与均衡实现不稳,低 SNR 容易数值炸裂
✅ ZF 近零频点保护 + MMSE 正则项 + 参数合法性校验
🔴 论文图能画但工程文档缺失
✅ 提供算法文档 + 代码文档 + 项目文档三层文档体系

🎯 核心价值

🔬 研究与教学价值

  • • 从 DFnT/IDFnT 到完整收发、再到多场景扩展,链路完整可讲解
  • • 关键模块均可独立复用,便于做算法对比实验
  • • 支持 “通信 + 感知” 一体化展示,适合 ISAC 入门与课程演示
  • • 指标体系齐全:BER、EVM、PAPR、OOBE、Range-Doppler

💼 工程与复现价值

  • • 扁平目录结构,部署简单,迁移成本低
  • • 所有示例统一初始化,避免路径/环境差异问题
  • • 输出图片路径稳定,便于自动化报告与版本对比
  • • 模块化边界清晰,新增算法时可低风险接入

⚡ 技术亮点

🏗️ 模块化架构(扁平结构,逻辑分层)

OCDM/├── 【环境与工具】│   ├── chirpcomm_startup.m           # 工程路径初始化 + docs/figures 自动创建│   ├── setup_example_env.m           # 示例统一入口│   └── save_figure_stable.m          # 固定文件名存图(无时间戳)├── 【核心变换与收发】│   ├── parse_modem_param.m           # 参数协议校验│   ├── fast_dfnt.m                   # DFnT(chirp-FFT-chirp)│   ├── fast_inv_dfnt.m               # IDFnT(chirp-IFFT-chirp)│   ├── ocdm_modem_tx.m               # OCDM 发射机(加 CP 串行)│   └── ocdm_modem_rx.m               # OCDM 接收机(去 CP + 均衡)├── 【信道与均衡支撑】│   ├── extract_nr_tdl_profile.m      # NR-TDL 连续模型离散化│   ├── sanitize_discrete_profile.m   # 离散 PDP 清洗│   ├── build_channel_tap_set.m       # 固定信道样本集│   └── apply_multipath_and_noise.m   # 多径传播 + AWGN├── 【CFO 模块】│   ├── apply_cfo_to_signal.m         # 频偏注入│   ├── estimate_cfo_cp_correlation.m # CP 相关 CFO 估计│   └── compensate_cfo_signal.m       # 频偏补偿├── 【MIMO 模块】│   └── simulate_mimo_ocdm_frame.m    # 2x2 MIMO 频域 ZF/MMSE 单帧内核├── 【指标模块】│   ├── compute_papr_ccdf.m           # PAPR/CCDF│   └── compute_oobe_psd.m            # OOBE/PSD(支持显式主带口径+去CP)├── 【ISAC 模块】│   ├── simulate_ocdm_isac_echo.m     # 多目标回波生成│   └── estimate_range_doppler_map.m  # 距离-速度图估计 + 峰值提取└── 【示例脚本】    ├── example_ocdm_modem.m    ├── example_ocdm_awgn_performance.m    ├── example_ocdm_multipath_transmission.m    ├── example_ocdm_cfo_estimation.m    ├── example_ocdm_mimo_2x2.m    ├── example_ocdm_papr_oobe.m    └── example_ocdm_isac_comm_sensing.m

🔧 关键工程策略

  • • 统一参数协议:所有核心链路函数共享 Num_GrdIntv/Num_Symbol/Num_Chirp/Num_Block
  • • 防御式编程validateattributes + 维度检查 + 明确中文报错
  • • 数值稳定:ZF 近零频点保护、MMSE 正则、谱估计防 log(0) 处理
  • • 统计稳定:固定随机种子 + 自适应停机 + 零误码下限修正

📊 快速模式实测结果(本机回归)

1) 基础链路(example_ocdm_modem.m

指标
数值
Eb/N0
10 dB
EVM
14.06%
BER
1.808e-03 (237/131072)

2) CFO 补偿(example_ocdm_cfo_estimation.m

Eb/N0
BER(无补偿)
BER(补偿后)
平均 |频偏误差|
0 dB
4.515e-01
1.552e-01
0.0016
10 dB
4.334e-01
4.252e-03
0.0006
15 dB
4.319e-01
1.695e-06
0.0003

3) 2×2 MIMO(example_ocdm_mimo_2x2.m

Eb/N0
BER(ZF)
BER(MMSE)
0 dB
3.061e-01
1.488e-01
10 dB
7.553e-02
1.218e-02
15 dB
1.907e-02
8.861e-04

4) PAPR/OOBE(example_ocdm_papr_oobe.m

指标
原始 OCDM
成形+加窗 OCDM
PAPR 峰值
11.62 dB
12.08 dB
CCDF=1e-3 时 PAPR
8.50 dB
8.75 dB
OOBE/Main(去 CP,|f|<=0.22)
1.04 dB
-22.46 dB

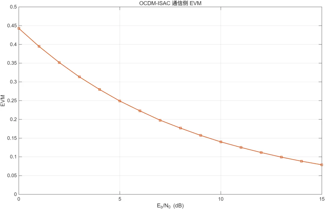
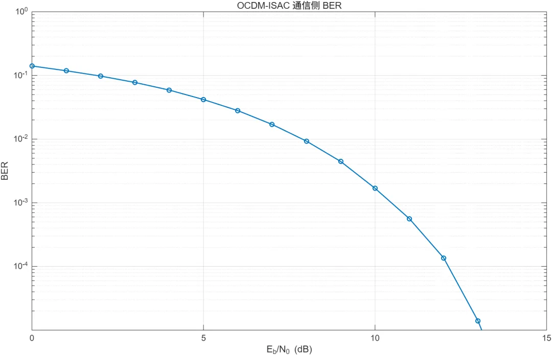
5) ISAC(example_ocdm_isac_comm_sensing.m

指标
数值
感知侧 SNR
20 dB
距离分辨率
7.49 m
速度分辨率
0.45 m/s
最大无模糊速度
±57.41 m/s

峰值检测结果(示例):

  • • 峰值1:Range=82.44 m,Velocity=17.94 m/s,Value=0.00 dB
  • • 峰值2:Range=149.90 m,Velocity=-12.11 m/s,Value=-3.07 dB
  • • 峰值3:Range=232.34 m,Velocity=4.93 m/s,Value=-4.45 dB

💻 核心代码片段

🔥 接收端频域均衡(ocdm_modem_rx.m

% 去 CPr_ocdm_signal_gi = reshape(r_modem_signal, num_chirp + num_grd_intv, num_block);r_ocdm_signal = r_ocdm_signal_gi(num_grd_intv + 1:num_grd_intv + num_chirp, :);% FFT + chirp 相位补偿phase_seq_gamma = exp(-1i * pi * (0:num_chirp - 1) .^ 2 ./ num_chirp).';r_ocdm_symbol = sqrt(1 / num_chirp) .* fft(r_ocdm_signal, num_chirp, 1);r_ocdm_symbol = phase_seq_gamma .* r_ocdm_symbol;% 一拍均衡if mode_ch_equ ~= 0    r_ocdm_symbol = ch_equ_tap .* r_ocdm_symbol;end

🚀 CFO 估计(estimate_cfo_cp_correlation.m

cp_part = rx_frame(1:cp_len, :);tail_part = rx_frame(fft_len + 1:fft_len + cp_len, :);corr_value = sum(conj(cp_part(:)) .* tail_part(:));cfo_hat = angle(corr_value) / (2 * pi);% 折叠到 [-0.5, 0.5)cfo_hat = cfo_hat - round(cfo_hat);if cfo_hat >= 0.5    cfo_hat = cfo_hat - 1;end

📉 OOBE 统计(compute_oobe_psd.m

% 支持显式主带边界、去 CP 和分段长度配置cfg = parse_oobe_config(mainband_cfg);signal = preprocess_signal_for_psd(tx_signal(:), cfg);mainband_edge = cfg.MainbandEdge;mainband_mask = abs(freq_axis_norm) <= mainband_edge;oobe_mask = ~mainband_mask;stat.OOBEToMain_dB = 10 * log10((oobe_power + eps) / (mainband_power + eps));

🎬 一键运行

cd D:/03_代码库/04.code4sale/OCDM/OCDM-Refactored% 基础链路run('example_ocdm_modem.m')% AWGN 扫频use_fast_demo = true; run('example_ocdm_awgn_performance.m')% NR-TDL 多径use_fast_demo = true; run('example_ocdm_multipath_transmission.m')% CFOuse_fast_demo = true; run('example_ocdm_cfo_estimation.m')% 2x2 MIMOuse_fast_demo = true; run('example_ocdm_mimo_2x2.m')% PAPR/OOBEuse_fast_demo = true; run('example_ocdm_papr_oobe.m')% ISACuse_fast_demo = true; run('example_ocdm_isac_comm_sensing.m')

🧾 输出文件清单(固定命名)

运行示例后,figures/ 目录将自动更新:


🖥️ 运行环境

  • • MATLAB:R2020a 或更高版本(建议 R2023a+)
  • • 必需工具箱:Communications Toolbox
  • • 可选工具箱:5G Toolbox(用于 nrTDLChannel

📚 配套文档

  • • docs/算法文档.md:完整算法原理与推导
  • • docs/代码文档.md:代码结构、接口协议与维护说明

🛒 获取方式

本站文章均为手工撰写未经允许谢绝转载:夜雨聆风 » 【MATLAB源码】OCDM:通感一体化链路级仿真平台

评论 抢沙发

4 + 6 =
  • 昵称 (必填)
  • 邮箱 (必填)
  • 网址
×
订阅图标按钮