欧几里得考前必备公式,PDF版文件免费领~
「犀牛AMC竞赛/IG/AL辅导,+V:13061731675咨询」
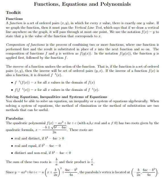
2026年的欧几里得竞赛考试将近,考前复习不到位?没有什么好的复习资料?今天犀牛老师为大家整理了欧几里得竞赛考前必背公式,针对欧几里得竞赛中的考试八大考点分别整理。完整的PDF文件文末可领取!
本次分享的欧几里得必背公式覆盖了欧几里得竞赛常考的8大考点。包含:几何,三角学,函数、方程和多项式,数列与级数,数字性质,指数与对数,解析几何等。








由于篇幅过长,仅展示部分内容
完整版请文末直接下载观看!
关注以下👇公号
回复 111 获取网盘链接!
夜雨聆风
