天文摄影神器 DIY!树莓派 3 轴开源追星器,附上全套设计文件

前言

亮点 & 功能
⚡3 轴核心设计,精准追星无拖影:突破传统追踪技术限制,3 轴架构可精准补偿地球自转,让相机长时间曝光下仍能捕捉到清晰点状恒星,彻底解决星轨拖线问题;还预留卫星等其他天体的跟踪拓展能力,未来可解锁更多追拍场景。
🖨️3D 打印主体结构:设备大部分机械零件均可 3D 打印,仅需额外采购轴承、螺丝、步进电机等通用标准件,无需复杂加工工艺,新手也能轻松完成组装。
🧩多机械版本迭代:提供 v2、v3、v4 三款机械设计版本,当前主推 v3 版,兼顾结构稳定性与组装便捷性;还计划推出钢制部件的专业版本,进一步增强结构刚性,满足高精度天文摄影需求,基础版与专业版按需选择。
🖥️树莓派核心驱动:基于树莓派微控制器打造电子控制系统,搭配 A4988/TMC2209 步进电机驱动、稳压模块、LED、蜂鸣器等通用电子元件,调试更简单。

-
(加入社群领取5折优惠券)
核心参数
|
|
|
|---|---|
|
|
|
|
|
|
|
|
|
|
|
|
|
|
|
|
|
|
|
|
|
|
|
|
|
|
|
|
|
|
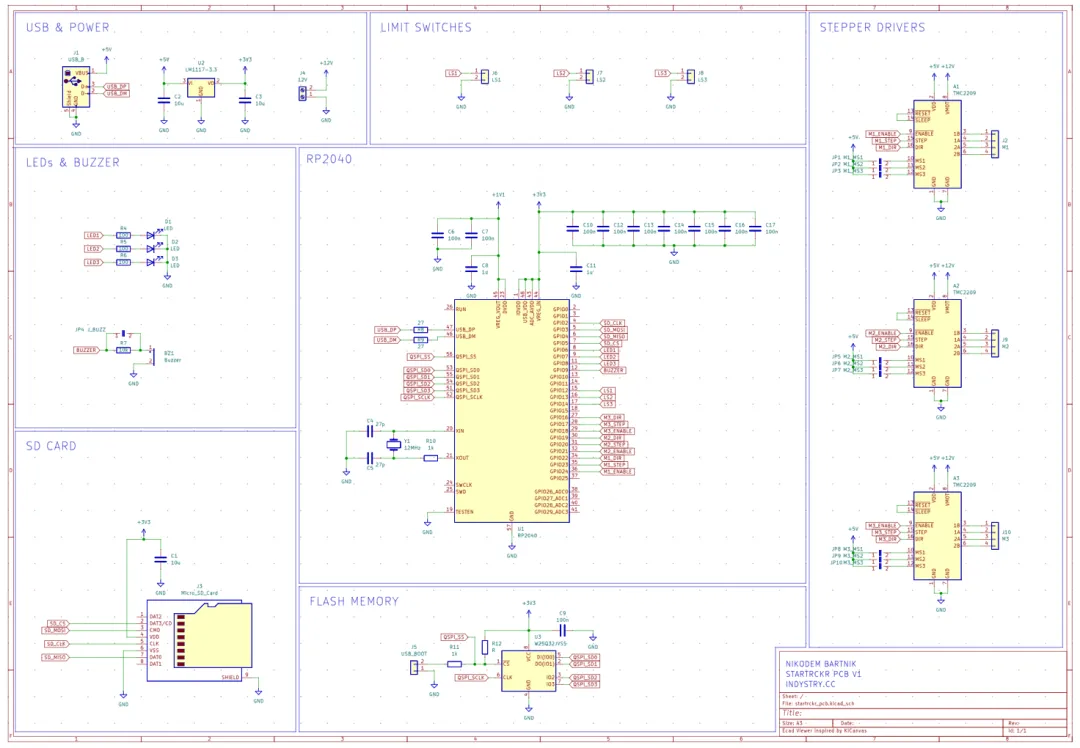
PCB图&原理图





开源资料
想了解更多开源项目的小伙伴去华秋开源硬件社区查看!欢迎大家来复刻,有商业诉求的,请联系项目的作者。
项目地址:https://p.eda.cn/d-1349574887202619392
结语
这款 StarTrckr 开源 3 轴恒星追踪器,是天文摄影爱好者的低成本圆梦方案 —— 用 3D 打印降低了机械组装的门槛,以树莓派 + Python 让电子调试更简单,3 轴核心设计又保障了追星的精准度,彻底解决了商用赤道仪贵、普通追踪器精度差的痛点。如果你也心动了,赶紧戳开底下的阅读原文解锁全部资料,欢迎在评论区分享你的脑洞,也可以蹲一波详细的复刻教程~
限时福利
感谢大家的关注与支持,最近为大家准备了小礼品:三合一数据线。
参与方式很简单,转发文章到朋友圈并在文末截图留言,赠送三合一数据线哟~快来参与吧~(务必及时回复小助理相关信息!)

推荐阅读

源于工程师,服务工程师。华秋致力于提供电子产业链一站式服务,让硬件创新更简单!请关注华秋旗下业务:

夜雨聆风