乐于分享
好东西不私藏

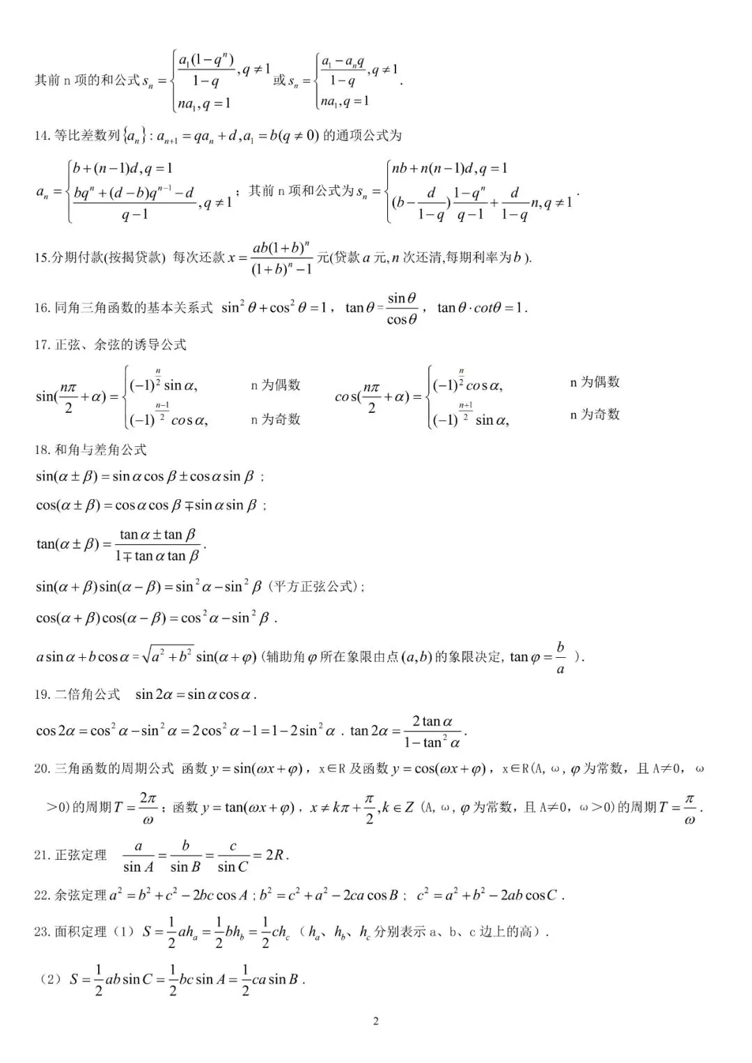
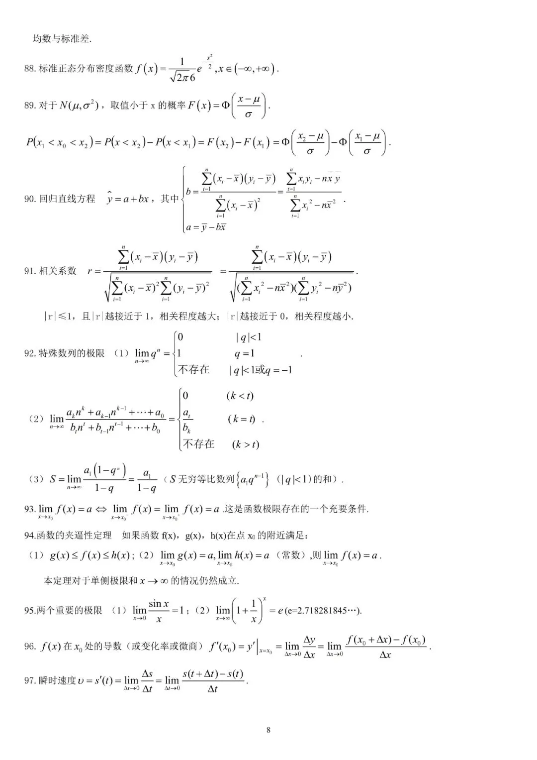
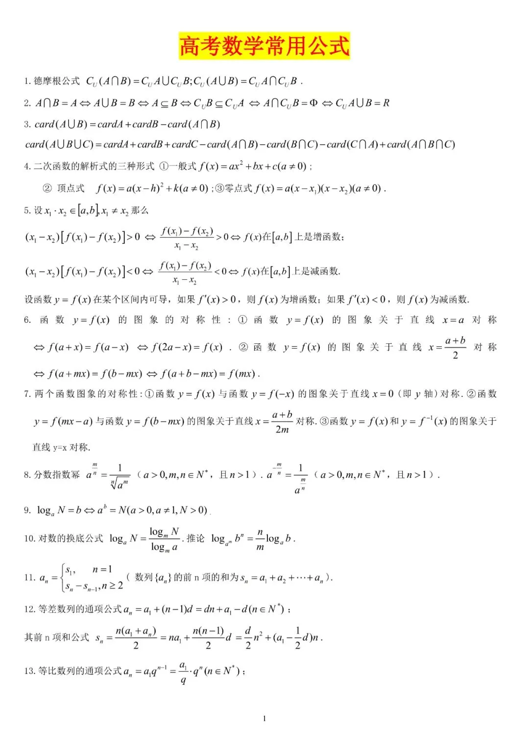
高中数学常用109条公式、定理及结论(可打印)

高中数学常用109条公式、定理及结论(可打印)

百度网盘链接: https://pan.baidu.com/s/1d_91P-V-J65k9DWDrxxzeg?pwd=fk3u 提取码: fk3u

点击文末左下方阅读原文即可下载!