【MATLAB源码-第414期】基于MATLAB的室内可见光通信的LED功率配置与多灯均匀布局联合优化面向全空间达标覆盖的仿真
MATLAB 2024a
1、算法描述
基于室内可见光通信的LED功率与布局联合优化研究——面向全空间达标覆盖的仿真分析
摘要
可见光通信利用发光二极管同时承担照明与信息传输功能,具有频谱资源丰富、电磁兼容性好、室内复用潜力高以及便于与既有照明基础设施融合等特点,因而在智能楼宇、工业互联、医疗环境和高密度室内接入等场景中展现出较高应用价值。近年来,室内光无线通信研究逐步由单一链路性能提升转向系统级综合优化,灯具数量、空间布局、功率分配、信道建模以及覆盖均匀性已成为影响系统可用性的关键因素。相关研究表明,在室内场景中,合理的LED部署通常比单纯提高局部发射功率更有利于提升最差点性能与系统能效。
本文围绕固定室内场景下的可见光通信覆盖问题,建立房间尺寸为6 m×6 m×3 m的三维仿真模型,以误码率不高于10^-5、信噪比不低于20 dB、传输速率不低于10 Mbps作为系统达标约束,对单灯集中照射方案与四灯均匀布局方案进行比较研究。仿真中采用全空间逐点扫描方式,对室内有效接收空间内每一个离散点计算接收信号功率,并按照多灯叠加原则获得各点的通信性能指标,最终以“全空间所有点是否同时满足三项指标”作为方案优劣判据。结果表明,单灯方案虽然能够随总功率增加逐步改善最差点性能,但必须提升至50 W才可实现全空间全部达标;相比之下,四灯均匀布局方案在总功率15 W时即可首次实现全空间全部达标,表现出更优的覆盖均匀性与显著更低的功耗需求。本文进一步对最优方案的薄弱切面进行分析,讨论其空间性能分布规律,并给出适用于室内全空间可靠覆盖场景的LED布局与功率配置建议。
关键词
可见光通信;室内光无线通信;LED布局优化;全空间覆盖;功率分配;节能设计
一、引言
随着无线接入业务持续向高速率、低时延和高密度方向发展,传统射频通信在室内场景下面临频谱紧张、同频干扰和覆盖精细化不足等问题。可见光通信作为光无线通信的重要组成部分,依托LED照明系统完成信息承载,在不额外占用射频频谱的前提下,为室内通信系统提供了新的实现路径。现有研究普遍认为,VLC在室内短距高速接入、区域化安全通信、智能照明融合和高电磁敏感环境通信方面具有明显优势,已经成为室内光无线通信研究的核心方向之一。
从研究进展来看,室内可见光通信已由早期的基本链路验证,逐渐扩展到系统容量提升、信道建模、调制均衡、网络资源管理、部署优化以及异构融合组网等多个层面。尤其在面向工程应用的室内场景中,通信性能不仅受到发射端器件带宽和接收端检测方式的影响,还与灯具部署位置、数量配置、发射功率、房间结构以及边界区域传播条件密切相关。对于需要面向整间房间提供稳定服务的系统而言,平均性能并不能充分反映系统可用性,真正决定部署成败的通常是边缘区域、角落区域以及空间高处等最不利点位的通信质量。
现有关于室内VLC部署优化的研究已经表明,若仅通过提高单个光源的功率来改善覆盖,往往会带来中心区域功率冗余而边缘区域改善有限的问题;相比之下,通过多灯协同、均匀布局和合理分配总功率,通常能够更有效地提升空间最差点性能,并在满足通信与照明约束的同时降低整体能耗。基于这一认识,本文将研究重点放在“全空间全部达标”这一严格目标之上,不再以某一接收面平均值或局部最优值作为判断依据,而是以三维空间内所有离散点共同满足误码率、信噪比和传输速率门限为最终判据,进而寻找最低功耗条件下的最优方案。
二、系统场景与问题描述
本文考虑的场景为规则室内环境,房间尺寸固定为6 m×6 m×3 m。研究对象为顶面安装的LED通信照明系统,目标是在给定空间中同时满足照明承载通信的性能需求。为了突出功率与布局两类关键因素对系统性能的影响,本文选取两类典型部署方式进行对比:一类为单灯方案,即在房间顶部采用单个LED进行集中式覆盖;另一类为四灯方案,即在顶面采取均匀分布方式,将四个LED分别布置在房间不同区域形成协同覆盖。两类方案在总功率扫描范围内进行统一评价,从而比较集中照射与分布式照射在全空间覆盖问题上的差异。
系统性能约束由三个指标共同构成。第一,误码率应满足 BER ≤ 10^-5;第二,信噪比应满足 SNR ≥ 20 dB;第三,传输速率应满足速率 ≥ 10 Mbps。需要强调的是,上述三项指标不是对平均值提出要求,而是要求室内有效接收空间中的每一个评估点同时满足。也就是说,只要空间中存在任意一点不能满足三项门限中的某一项,该方案即不能被视为全空间达标。这一判定方式能够更真实地反映系统面向整间房间提供稳定通信服务的能力。
在仿真设计中,功率变量设置为10 W至50 W的离散扫描序列,步长为5 W。对于单灯方案,总功率全部由一盏灯承担;对于四灯方案,总功率由四盏灯平均分配,以保证两类方案在比较时具有一致的总功率基准。这样设置的目的在于回答两个核心问题:其一,在固定场景和固定指标约束下,单灯方案与多灯方案各自在何种总功率条件下能够首次实现全空间全部达标;其二,在总功率相同的前提下,多灯分布式布局是否比单灯集中式布局具有更高的空间覆盖效率。
三、信道计算与性能评价方法
室内可见光通信本质上是一类依赖空间几何关系的定向传播系统。接收端在不同位置上接收到的信号强弱,不仅与发射功率有关,也与光源位置、接收点坐标以及多灯之间的空间分布关系有关。为了体现多光源协同覆盖的实际特性,本文在计算任意接收点性能时,不只考虑某一盏灯的贡献,而是将该点接收到的全部LED信号功率进行叠加,再基于叠加结果计算信噪比、误码率和传输速率。该处理方式能够较好反映多灯布局在边缘区和角落区对性能提升的作用。
考虑到本文研究重点在于部署方案优选,而非某一具体高速调制体制的严格实现,系统评价采用统一的等效性能映射框架,即先根据接收功率与噪声水平得到信噪比,再通过统一模型将其映射为误码率与传输速率指标。这样处理的优点在于可以在统一标准下比较不同总功率与不同灯数布局的优劣,避免因引入过多特定调制细节而掩盖空间部署问题本身的本质影响。从系统级研究角度看,这种建模方式与近年来室内光无线系统中关于方案级优化、网络级评价和布局设计的研究思路是一致的。
在空间扫描方面,本文采用三维离散评估方式,对房间内部有效接收空间进行逐点分析。考虑到实际接收端不可能与地面、墙面或天花板完全重合,本文将室内边界内侧的可用空间作为评价对象,从而避免边界几何退化点引入非物理结果。对每个离散点,分别判断其是否满足SNR、BER和速率三项门限,并在此基础上统计方案在全空间范围内是否实现全部达标。同时,为更直观地展示系统空间分布规律,本文还针对最优方案自动提取最薄弱水平切面,对该切面上的SNR分布、BER分布与速率分布进行分析,以便识别系统中最不利位置和裕量分布特征。
四、仿真结果分析
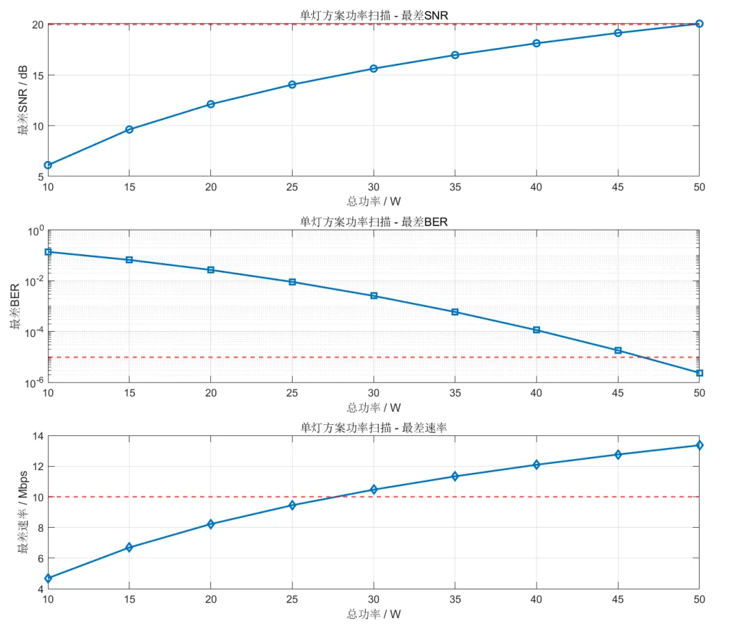
仿真结果显示,单灯方案在总功率逐步增加时呈现出较为稳定的性能改善趋势。随着功率由10 W增加至50 W,系统最差SNR持续上升,最差BER持续下降,最差速率持续提升。这说明增加单灯发射功率能够在一定程度上增强系统的空间覆盖能力。然而,单灯方案的性能提升并不均匀,靠近灯具垂直投影区域的点位往往较早获得较高裕量,而边界区域、角落区域以及空间高处的薄弱点改善相对缓慢。因此,尽管单灯在较低功率时已能使大量区域接近达标甚至局部达标,但要实现严格意义上的全空间全部达标,仍需显著提高总功率。仿真结果表明,单灯方案直到总功率达到50 W时,才首次满足全空间内所有点同时达到BER、SNR和速率三项要求。
与之相比,四灯均匀布局方案表现出更加明显的空间均衡特征。在相同总功率条件下,四盏灯分散部署后,各接收点不再仅依赖单一光源,而是可同时获得多方向功率贡献,因而系统最差点性能得到了更大幅度改善。仿真结果表明,当总功率为10 W时,四灯方案已经非常接近全空间完全达标;当总功率提升到15 W时,四灯方案便首次实现全空间全部达标。此后继续增加功率虽然仍会提升系统裕量,但已不再是满足约束所必须的条件。由此可见,在以“全空间所有点均达标”为目标的设计中,四灯均匀布局能够以远低于单灯方案的总功耗完成相同任务,显示出明显的能效优势。
从同总功率对比结果看,四灯方案在整个扫描范围内均优于单灯方案。无论是最差SNR、最差BER还是最差速率,四灯方案均表现出更优的趋势。这一结果说明,布局优化在室内可见光通信中并不是次要因素,而是决定最差点性能的核心变量之一。单灯方案的问题在于其覆盖中心性过强,系统性能高度依赖某些位置与单一光源之间的几何关系,导致中心区域裕量较大而边缘区域长期受限;四灯方案则通过缩短多数位置到最近光源的等效距离,并增强多灯叠加效应,显著抬升了边界区域与角落区域的性能水平,从而推动系统更早达到全空间达标状态。
在全空间达标判定方面,本文同时给出了最终判定结果与达标覆盖率变化。结果表明,覆盖率曲线能够较好反映系统从局部可用逐步逼近完全可用的演化过程,但它不能替代最终判定。对于本文的研究目标而言,即使覆盖率已经达到较高水平,只要尚未达到100%,就意味着房间中仍存在至少一个不能满足通信要求的位置,因此仍不能视为完全可用。基于这一原则,本文将“是否实现全空间全部达标”作为最终结论依据,而将覆盖率仅作为辅助观察指标。这样的评价方式更加符合高可靠室内通信系统的实际需求。
进一步分析最优方案的空间分布特征可以发现,系统最薄弱水平切面出现在接近顶面的区域。相较于房间中部或较低位置,该区域一方面更接近灯具安装平面,另一方面在几何投影关系上更容易出现局部不均衡,因此成为检验方案鲁棒性的关键切面。仿真结果表明,在四灯均匀布局、总功率15 W的条件下,该最薄弱切面上的SNR最低值仍高于20 dB,速率最低值仍高于10 Mbps,BER则保持在10^-5门限以下。切面分布图还显示,灯具邻近区域具有较高性能裕量,房间边缘和中心过渡区域性能略有降低,但整体仍保持连续可达标状态。这说明最优方案不仅在统计意义上满足全空间要求,而且在最不利切面上也具有稳定、连续和均衡的覆盖能力。
五、最优方案讨论
综合三项门限约束、全空间严格判定和最低功耗原则,本文推荐的最优方案为:在房间顶面采用四盏LED均匀布局,总功率设置为15 W。该方案是当前功率扫描集合中首个实现全空间全部达标的最低功率方案。与单灯方案相比,其优势并不在于简单增加光源数量,而在于通过空间重构显著改善了系统最差点的受光条件,使原本容易成为瓶颈的角落和边界区域获得了更高的功率叠加收益。
从工程视角来看,这一结果具有较强的启示意义。首先,室内可见光通信系统设计应优先关注最差点约束,而不能仅依赖中心区域或平均区域性能进行判断。对于需要提供整间房间稳定服务的场景,只要存在个别点位不达标,就可能影响用户连续接入体验。其次,在总功率受限或节能目标明确的条件下,采用多灯均匀布局往往比提高单灯功率更具效率。其根本原因在于,布局优化能够同时改善大量薄弱区域,而单灯增功率更多是在已有强覆盖区域继续叠加裕量。再次,照明系统与通信系统在可见光场景中具有天然耦合关系,灯具位置、数量和功率分配不仅影响照度均匀性,也直接决定通信链路的空间分布与可靠性。
当然,本文研究仍属于规则场景下的系统级分析。实际室内环境中还可能受到墙面反射、家具遮挡、接收机视场角限制、背景光噪声变化、器件非线性以及照明舒适性约束等因素影响。后续若进一步引入这些因素,模型将更加贴近真实部署环境。但从本文结果看,在固定规则房间和统一评价框架下,多灯均匀布局对于提升全空间最差点性能、降低达标功耗具有明确而稳定的积极作用,这一结论具有较好的参考意义。
六、结论
本文围绕固定室内场景下的可见光通信覆盖问题,系统研究了LED总功率与灯具布局方式对通信性能的影响规律。通过建立6 m×6 m×3 m室内三维仿真模型,采用全空间逐点扫描和多灯功率叠加方法,对单灯集中式方案和四灯均匀式方案进行了统一评价。研究结果表明,单灯方案虽然可随着功率增加逐步改善最差点性能,但其空间覆盖均衡性较差,必须在50 W总功率下才能首次实现全空间全部达标;相比之下,四灯均匀布局方案在总功率15 W时即可实现BER、SNR和速率三项指标的全空间同步达标,显著优于单灯方案。
本文的分析说明,在室内可见光通信系统中,决定部署优劣的关键不在于局部强覆盖,而在于最差点是否被有效抬升。针对全空间高可靠通信目标,合理的多灯均匀布局能够更充分发挥总功率的覆盖价值,并在满足性能要求的同时实现更好的节能效果。因此,在面向智能建筑、工业车间和高可靠室内接入场景的可见光通信系统设计中,应将“最差点约束驱动的布局优化”作为重要设计原则。本文所得结论可为后续室内光无线系统的工程部署与功率配置提供参考。
参考文献
[1] Koonen T. Indoor Optical Wireless Systems: Technology, Trends, and Applications[J]. Journal of Lightwave Technology, 2018, 36(8): 1459-1467.
[2] Al-Kinani A, Wang C-X, Zhou L, Zhang W. Optical Wireless Communication Channel Measurements and Models[J]. IEEE Communications Surveys & Tutorials, 2018, 20(3): 1939-1962.
[3] Rehman S U, Ullah S, Chong P H J, Yongchareon S, Komosny D. Visible Light Communication: A System Perspective—Overview and Challenges[J]. Sensors, 2019, 19(5): 1153.
[4] Vegni A M, Biagi M. Optimal LED Placement in Indoor VLC Networks[J]. Optics Express, 2019, 27(6): 8504-8519.
[5] Matheus L E M, Vieira A B, Vieira L F M, Vieira M A M, Gnawali O. Visible Light Communication: Concepts, Applications and Challenges[J]. IEEE Communications Surveys & Tutorials, 2019, 21(4): 3204-3237.
[6] Obeed M, Salhab A M, Alouini M-S, Zummo S A. On Optimizing VLC Networks for Downlink Multi-User Transmission: A Survey[J]. IEEE Communications Surveys & Tutorials, 2019, 21(3): 2947-2976.
[7] Yang Y, Zhu Z, Guo C, Feng C. Power Efficient LED Placement Algorithm for Indoor Visible Light Communication[J]. Optics Express, 2020, 28(24): 36389-36402.
[8] Mapunda G A, Ramogomana R, Marata L, Basutli B, Khan A S, Chuma J M. Indoor Visible Light Communication: A Tutorial and Survey[J]. Wireless Communications and Mobile Computing, 2020, 2020: 8881305.
[9] Loureiro P A, Guiomar F P, Monteiro P P. Visible Light Communications: A Survey on Recent High-Capacity Demonstrations and Digital Modulation Techniques[J]. Photonics, 2023, 10(9): 993.
[10] Weng H, Wang W, Chen Z, Zhu B, Li F. A Review of Indoor Optical Wireless Communication[J]. Photonics, 2024, 11(8): 722.
2、仿真结果演示








3、关键代码展示
略
当下时代学习怎么用AI是每个人已经之路,给大家推荐几本书:学习AI相关使用技巧!!! 抓住时代红利!!!
4、MATLAB 源码获取
途径一:点击文章中蓝色字体阅读原文

途径二:复制以下网址到浏览器中打开麦完单品
https://www.maiwan8.com/#/dynamicDetail/0/594b783b2aa30fc77ff307bc54f27d05/index?yqm=5FCPU
途径三:复制网址打开麦完店铺搜索该篇文章标题即可
https://www.maiwan8.com/#/packageA/userDynamicCenter/userDynamicCenter?user_id=1261511
途径四:如果以上方式均失效请通过QQ,邮箱或者微信公众号联系我
(点击上方↑↑↑↑↑蓝色字体跳转)
夜雨聆风