【MATLAB源码-第416期】基于MATLAB的Cell-Free Massive MIMO仿真,功率控制,协同优化.
MATLAB 2024a
1、算法描述
摘要:
Cell-Free Massive MIMO 作为后蜂窝无线网络的重要演进方向,通过在大范围内布设分布式接入点并采用协同传输机制,能够显著缓解传统小区边界效应,对提升边缘用户体验、改善覆盖均匀性和增强系统鲁棒性具有重要意义。与此同时,随着接入点数量、用户数量以及协同规模的持续增大,系统在用户关联、功率分配、前传负载和计算复杂度等方面也面临更加突出的耦合优化问题。围绕上述问题,本文以分布式协同天线系统为研究对象,重点讨论用户关联与功率控制的联合设计思路,构建了面向公平性、总频谱效率和实现复杂度三者平衡的仿真分析框架。在用户关联方面,分别考察全关联、用户中心关联以及负载均衡用户中心关联三类机制;在功率控制方面,分别分析均匀功率分配、基于大尺度衰落统计信息的加权功率分配以及最大最小公平功率控制三类策略。基于 MATLAB 搭建系统级仿真平台后,对不同策略下的关联结构、总频谱效率、Jain 公平性指数、最弱用户性能、用户频谱效率分布以及复杂度与运行时间变化趋势进行了系统比较。研究结果表明,全关联虽然具有最充分的协同潜力,但在复杂度和资源摊薄方面代价较高;用户中心机制能够在保证较高频谱效率的同时显著降低无效协同;负载均衡用户中心机制则进一步改善了接入点侧负载分布,使系统在公平性与工程可扩展性上更具优势。功率控制方面,均匀功率分配实现简单但性能保守,统计加权功率分配在总频谱效率上表现更优,而最大最小公平功率控制对弱用户保护最明显,更适用于强调服务均衡性的场景。本文的研究为 Cell-Free Massive MIMO 系统中用户关联与功率控制的协同设计提供了较为直观的建模依据和工程实现参考。
关键词: Cell-Free Massive MIMO;用户关联;功率控制;公平性;频谱效率;负载均衡;复杂度优化
1 绪论
随着移动通信系统向超密集组网、广域协同服务和高可靠无线接入不断演进,传统以小区为中心的蜂窝架构在边缘覆盖、跨小区干扰控制和资源利用均衡方面逐渐暴露出局限。Cell-Free Massive MIMO 的基本思想是通过大量地理分布的接入点共同服务区域内用户,以“无小区边界”的方式重构无线接入体系,使系统从“按小区服务”转向“按用户服务”。这一思路能够在统计意义上削弱小区边缘效应,提升覆盖均匀性,并为后续的协同传输、联合检测和资源调度提供更大的设计空间。但与此同时,若所有接入点始终参与对所有用户的服务,则前传传输、信号处理和控制开销将迅速增长,系统可扩展性受到严重制约。因此,如何在分布式协同增益与实现成本之间取得平衡,已经成为 Cell-Free Massive MIMO 研究中的核心问题之一。
从现有研究看,用户中心化是提升 Cell-Free Massive MIMO 可实现性的重要路径。相较于理想化的全关联模式,用户中心关联通过仅让一部分接入点服务某个用户,使协同范围更贴近信道条件和地理位置,从而降低无效资源参与度。进一步地,若在用户中心基础上引入负载均衡思想,还可以缓解热点接入点过载、部分接入点空闲的问题,使系统不仅关注链路增益,还兼顾服务分布的均匀性。在此基础上,功率控制又成为决定系统最终性能的重要因素:不同功率分配方式会直接影响干扰水平、边缘用户质量、总吞吐量以及算法复杂度。近年来,无论是以总频谱效率最大化、比例公平最大化,还是最大最小公平为目标,功率控制都被认为是 Cell-Free Massive MIMO 中最关键的资源配置环节之一。
基于上述背景,本文围绕“用户关联与功率控制研究”展开分析,目标不是单纯追求某一指标的极值,而是从工程实现角度出发,对公平性、频谱效率和复杂度三者进行综合权衡。相较于只研究某一种关联策略或只讨论单一功率分配方法的工作,本文更强调关联结构与功率控制之间的协同关系,即关联范围决定协同规模与干扰形态,而功率控制则进一步决定资源如何在不同用户间分配。二者共同决定系统是更偏向高吞吐量,还是更偏向均衡服务,或者在可接受复杂度下获得折中性能。
2 系统模型与研究问题
本文研究的系统由多个分布式接入点和多个用户共同构成,接入点通过前传网络与集中处理单元相连。每个接入点在空间上相互分散,使得用户能够同时受到多个空间方向上的服务支持。与传统单基站大规模天线系统不同,这类架构的优势不再主要依赖单站点天线阵列的高度集中增益,而是更多依赖分布式宏分集、协同处理和灵活关联所形成的覆盖优势。对于不同用户而言,其最优服务接入点集合通常并不相同,这就决定了用户关联问题天然具有个体化和动态化特征。
在该系统中,用户关联的核心任务是决定“哪些接入点服务哪些用户”。若采用全关联方式,则所有接入点默认参与所有用户服务,理论上可获得最大的协同自由度,但其代价是链路数急剧上升、前传负载增大、功率被过度摊薄,并且大量弱贡献链路也会被纳入处理流程。若采用用户中心关联,则每个用户仅选择若干最合适的接入点参与服务,这种做法能够显著减少链路数,突出强链路贡献,同时降低不必要的控制和处理开销。若在此基础上继续加入负载均衡约束,则可进一步限制热点接入点承担过多用户,从而使系统资源分布更均衡,提升整体运行稳定性与可扩展性。
功率控制问题则关注在既定用户关联下,系统如何分配发射功率。若采用均匀功率分配,其优点在于实现简单、开销低,但缺点是无法利用不同链路之间的差异性,弱用户和强用户可能被同等对待,导致整体资源配置较为粗糙。若采用基于大尺度衰落统计信息的加权功率分配,则能够优先补偿路径损耗较大的用户或提升关键链路利用效率,通常有利于提高总频谱效率。若进一步采用最大最小公平功率控制,则系统会更关注最差用户的性能保障,使不同用户之间的服务质量更加接近,但与此同时也往往意味着总吞吐量让渡以及更高的求解复杂度。可见,用户关联决定了资源“连到哪里”,功率控制决定了资源“如何分给谁”,二者本质上是同一优化问题的两个相互耦合侧面。
3 用户关联策略设计分析
全关联策略可以视为理想上界,它保留了所有接入点与用户之间的服务可能性,便于从理论上观察系统的最大协同潜力。然而,随着网络规模扩大,这种模式会引入大量低价值链路,使得前传开销、计算复杂度和控制复杂度同步上升。在实际部署中,若不引入更高效的预编码、合并或集中式处理机制,全关联未必一定能转化为稳定的频谱效率收益。已有研究表明,Cell-Free Massive MIMO 的性能提升并不单纯来自“更多接入点参与”,而更依赖于高质量的信号处理和可扩展的协同结构。
用户中心关联策略强调“以用户为核心”构造服务簇。其基本思想是让每个用户优先连接对自己最有价值的一组接入点,从而以较小的协同代价获得主要的空间分集收益。对于大多数分布式网络而言,这种方式能够将性能与复杂度之间的关系从线性扩张拉回到可控范围。进一步结合用户位置、大尺度衰落或服务需求,还可以构造更具针对性的关联机制。近期研究还将用户中心接入点选择与博弈论、学习方法或联合优化框架结合起来,以适应更复杂的约束条件,例如前传容量、接入点服务上限和用户最低速率需求等。
负载均衡用户中心关联是在用户中心思想上的进一步工程化延伸。它不仅关心某个用户应连接哪些优质接入点,也关心每个接入点是否被过度占用。在密集部署场景中,若多个用户都偏向连接少数强接入点,则即使局部链路质量较好,系统仍可能因资源集中而导致服务失衡。负载均衡机制的意义就在于通过适度分流,把一部分用户引导到次优但仍可接受的接入点上,从而在总性能轻微损失甚至不损失的前提下,换取更好的系统均衡性、资源利用率和可扩展性。对于本文的研究主题而言,这一策略尤其适合与公平导向的功率控制联合考虑。
4 功率控制策略设计分析
均匀功率分配是最直接的基线方法,其优点是实现容易、调度代价小、参数依赖弱,适合作为比较对象。然而在 Cell-Free Massive MIMO 中,不同用户面临的路径损耗、协同规模、干扰水平和负载状态差异很大,均匀功率往往无法体现网络结构优势。尤其当关联规模较大时,均匀功率可能导致有效功率被进一步摊薄,使部分弱用户仍得不到足够补偿,同时整体系统也难以形成更有效率的资源倾斜。
统计加权功率分配利用大尺度衰落、用户位置关系或链路统计特征对功率进行调节,属于性能与实现复杂度之间较具工程价值的一类方法。其思想是根据用户对资源的实际敏感程度进行差异化分配,使资源更多流向边际收益更高或更需要补偿的链路。已有文献表明,以总频谱效率为目标的功率优化通常能够获得更高的系统吞吐量,而使用分式规划、WMMSE 或相关等价变换后,也可以在可控复杂度下得到高质量解。对于本文的比较框架而言,这类方法往往在总频谱效率上具有较强竞争力。
最大最小公平功率控制则更多体现网络服务属性。其目标不是让强用户更强,而是提升最差用户的频谱效率下界,使所有用户都能获得更稳定的服务质量。这种策略特别适合那些对用户体验一致性要求较高的场景,例如工业通信、关键控制或高可靠广覆盖接入。需要指出的是,最大最小公平通常不是“零代价”的:它往往会牺牲一部分总吞吐量,并增加功率优化本身的计算难度。近年来针对大规模场景的研究中,Mirror Prox 等算法被用于降低求解复杂度,而比例公平方法则在总吞吐量与用户均衡之间提供了另一类更柔性的折中选择。
5 仿真结果与讨论
基于所构建的 MATLAB 仿真平台,本文分别对三类用户关联策略与三类功率控制策略进行了组合比较。从关联结构看,全关联模式的链路最密集,用户中心和负载均衡用户中心则显著压缩了链路数量,说明后两者在抑制无效协同方面更具优势。特别是负载均衡用户中心,在保持用户中心稀疏关联特征的同时,使接入点服务压力分布更加合理,这为后续复杂度控制和公平性改善奠定了基础。
从总频谱效率角度看,均匀功率控制在三类关联策略下整体表现都相对保守,这表明单纯依赖固定功率分配难以充分释放分布式协同系统的潜力。统计加权功率控制在系统总频谱效率方面表现最突出,尤其在用户中心和负载均衡用户中心关联下,其优势更为明显。这说明当关联范围被合理约束后,基于链路统计信息进行功率倾斜,能够更有效地把资源集中到高价值链路上。相较之下,全关联虽然保留了更高的协同自由度,但由于功率分散、弱链路增多以及实现负担加重,其总频谱效率并未体现出明显优势。
从公平性和最弱用户性能角度看,最大最小公平功率控制的改善最为直观。无论采用哪种关联方式,该方法都能够提高 Jain 公平性指标,并显著抬升系统中最弱用户的频谱效率。从用户频谱效率经验分布来看,公平型功率控制能够使曲线整体向更高区间移动,同时减小极低速率用户出现的概率。这一结果说明,对弱用户进行有约束的功率补偿,确实能够有效改善用户体验的一致性。与此同时,统计加权功率控制虽然在总频谱效率上更强,但在弱用户保护方面略逊于最大最小公平功率控制,这与该类方法“优先提高整体效率”的本质是一致的。
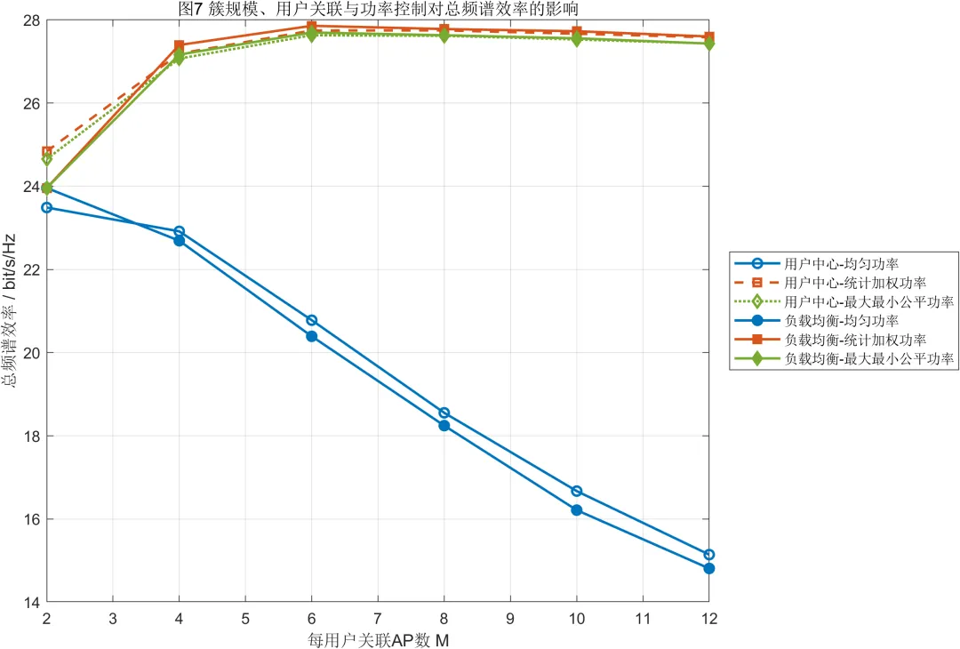
从簇规模变化趋势看,当每用户关联接入点数由较小值逐步增大时,统计加权功率和最大最小公平功率在中小簇规模下能够获得明显收益,而当簇规模继续扩大后,性能提升趋于饱和,甚至出现轻微回落。这说明协同规模并非越大越好。当簇规模较小时,增加若干优质接入点能够迅速增强宏分集增益;但当簇规模过大时,额外引入的接入点未必都具有足够高的边际贡献,反而可能带来更多协调损耗、功率摊薄和处理开销。相比之下,均匀功率控制随簇规模增大而下滑更明显,进一步说明在大簇场景下仅靠简单功率分配难以维持良好性能。
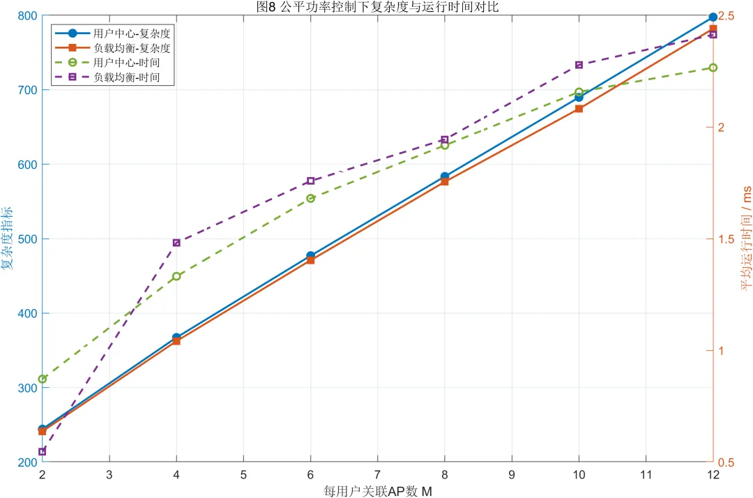
从复杂度与运行时间角度看,用户中心和负载均衡用户中心关联的计算代价都会随簇规模增大而上升,且负载均衡机制由于包含额外的服务分流与约束处理,其运行时间通常略高于普通用户中心模式。这一现象意味着,在工程实现中不能只讨论吞吐量或公平性,还必须把复杂度和时延代价纳入评价体系。综合各项结果可以看出,若系统目标偏向总吞吐量,用户中心或负载均衡用户中心结合统计加权功率控制是较优选择;若系统更强调服务均衡性和边缘保障,则负载均衡用户中心结合最大最小公平功率控制更具实际价值。
6 结论
本文围绕 Cell-Free Massive MIMO 系统中的用户关联与功率控制问题,构建了一个兼顾公平性、频谱效率与复杂度的分析框架,并在 MATLAB 平台上完成了三类关联策略和三类功率控制策略的系统比较。研究表明,用户关联与功率控制并非彼此独立的两个局部设计,而是决定系统整体性能边界的两个核心耦合变量。全关联虽然具有最充分的协同潜力,但在规模扩张时会带来明显的复杂度和资源分散代价;用户中心关联能够以较低成本获得主要协同收益;负载均衡用户中心则进一步增强了系统在公平性、可扩展性和工程可部署性方面的表现。功率控制方面,均匀功率控制更适合作为基线方法,统计加权功率控制更有利于提升系统总频谱效率,而最大最小公平功率控制则对最弱用户具有更强的保护作用。总体而言,在面向实际部署的 Cell-Free Massive MIMO 系统中,用户中心化、负载均衡化以及公平导向的资源分配将是未来持续深化的重要方向。
参考文献
[1] Demir Ö T, Björnson E, Sanguinetti L. Foundations of User-Centric Cell-Free Massive MIMO[J]. Foundations and Trends in Signal Processing, 2021, 14(3-4): 162-472.
[2] Björnson E, Sanguinetti L. Making Cell-Free Massive MIMO Competitive With MMSE Processing and Centralized Implementation[J]. IEEE Transactions on Wireless Communications, 2020, 19(1): 77-90.
[3] Björnson E, Sanguinetti L. Scalable Cell-Free Massive MIMO Systems[J]. IEEE Transactions on Communications, 2020, 68(7): 4247-4261.
[4] Chakraborty S, Demir Ö T, Björnson E, Giselsson P. Efficient Downlink Power Allocation Algorithms for Cell-Free Massive MIMO Systems[J]. IEEE Open Journal of the Communications Society, 2021, 2: 168-186.
[5] Guenach M, Gorji A A, Bourdoux A. Joint Power Control and Access Point Scheduling in Fronthaul-Constrained Uplink Cell-Free Massive MIMO Systems[J]. IEEE Transactions on Communications, 2021, 69(4): 2709-2722.
[6] Pham V Q, Kha H H, Khanh L T. On Proportional Fairness of Uplink Spectral Efficiency in Cell-Free Massive MIMO Systems[J]. International Journal of Communication Systems, 2020, 33(14): e4534.
[7] Farooq M, Ngo H Q, Tran L-N. Mirror Prox Algorithm for Large-Scale Cell-Free Massive MIMO Uplink Power Control[J]. IEEE Communications Letters, 2022, 26(12): 2994-2998.
[8] Wei C, Xu K, Xia X, Su Q, Shen M, Xie W, Li C. User-Centric Access Point Selection in Cell-Free Massive MIMO Systems: A Game-Theoretic Approach[J]. IEEE Communications Letters, 2022, 26(9): 2225-2229.
[9] Hao C, Vu T T, Ngo H-Q, Dao M N, Dang X, Wang C, Matthaiou M. Joint User Association and Power Control for Cell-Free Massive MIMO[J]. IEEE Internet of Things Journal, 2024, 11(9): 15823-15841.
[10] Freitas M M M, Souza D D, Fernandes A L P, da Costa D B, Cavalcante A M, Valcarenghi L, Costa J C W A. Scalable User-Centric Distributed Massive MIMO Systems With Restricted Processing Capacity[J]. IEEE Transactions on Wireless Communications, 2024, 23(12): 19933-19949.
2、仿真结果演示








3、关键代码展示
略
当下时代学习怎么用AI是每个人已经之路,给大家推荐几本书:学习AI相关使用技巧!!! 抓住时代红利!!!
4、MATLAB 源码获取
途径一:点击文章中蓝色字体阅读原文

途径二:复制以下网址到浏览器中打开麦完单品
https://www.maiwan8.com/#/dynamicDetail/0/5ed6b75d7760006dc957de3f8b3270d3/index?yqm=5FCPU
途径三:复制网址打开麦完店铺搜索该篇文章标题即可
https://www.maiwan8.com/#/packageA/userDynamicCenter/userDynamicCenter?user_id=1261511
途径四:如果以上方式均失效请通过QQ,邮箱或者微信公众号联系我
(点击上方↑↑↑↑↑蓝色字体跳转)
夜雨聆风