乐于分享
好东西不私藏

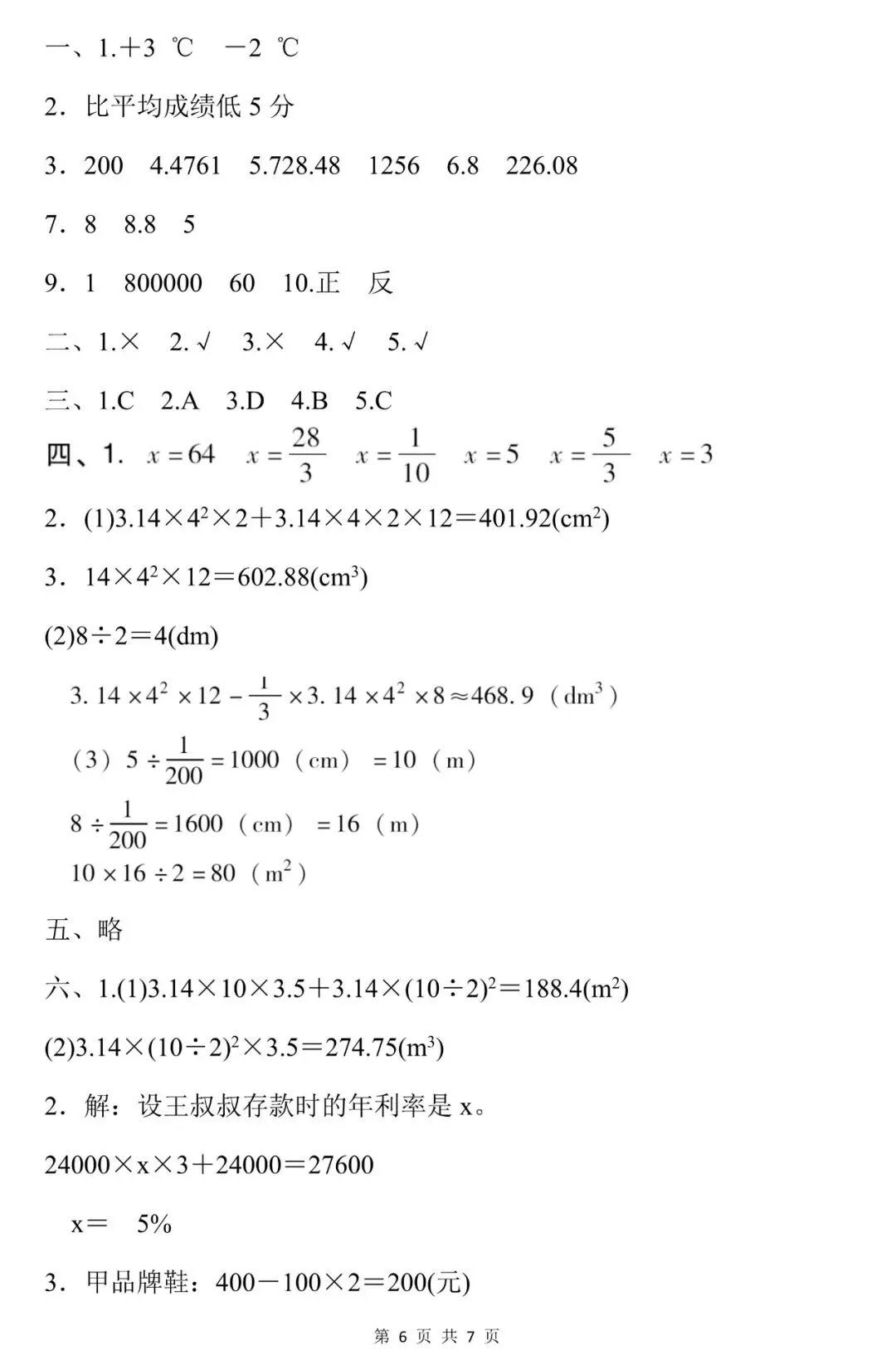
A011 Word版8套2026人教版六年级数学下册期中测试卷,可下载,可打印

A011 Word版8套2026人教版六年级数学下册期中测试卷,可下载,可打印

本文资料永久下载链接:https://pan.quark.cn/s/24587c6fb59f
第一套
第二套

第三套

第四套

第五套

第六套

第七套

第八套
本文资料永久下载链接:https://pan.quark.cn/s/24587c6fb59f