今日相关 / Relevant Today
AI4Protein 前沿追踪
AI 深度解读
针对传统分子生成模型难以兼顾复杂生化目标与数据分布建模的痛点,本文提出了 CAGenMol 统一框架,旨在实现目标导向的分子生成。该框架通过协同条件感知离散扩散与强化学习,显式地将分子生成与复杂的生化目标对齐。在架构设计上,CAGenMol 采用双模块协同策略:首先利用统一约束适配器(UCA)将异质性的生物约束(如蛋白质口袋的三维几何结构、理化性质向量)映射到共享的潜在语义空间。具体而言,UCA 采用双流编码机制,融合基于进化语义的 ESM-2 语言模型特征与显式的理化描述符,并通过线性注意力池化机制自动聚焦关键结合残基,最终生成统一的口袋表征;同时,将标量性质的 ADME 等约束转化为高维引导信号。其次,条件感知扩散骨干网络借鉴 BERT 架构,采用参数高效的基于提示的条件去噪策略,将条件向量作为语义前缀嵌入分子序列,利用双向自注意力的全局广播能力,在去噪过程中提供稳定的语义锚点,从而在不破坏预训练结构先验的前提下偏导向目标化学流形。训练与推理流程分为三阶段:首先通过监督学习优化负证据下界近似,建立条件感知的初始化;其次引入分步近端策略优化(Step-PPO),将离散扩散过程重构为细粒度马尔可夫决策过程,在每一步去噪时进行策略优化以最大化终端奖励,解决非可微目标(如对接分数)的优化难题;最后,在推理阶段应用进化片段优化(EFO)迭代 refine 生成的分子候选。该方法有效弥合了异质生物约束与离散化学空间之间的模态差距,实现了从单纯数据分布建模向复杂生化目标导向生成的跨越。
中文摘要
摘要:以目标为导向的分子生成需要满足异质性的约束条件,例如蛋白质 - 配体相容性以及多目标类药性质,然而现有方法往往孤立地优化这些约束,无法调和相互冲突的目标(例如亲和力与安全性之间的矛盾),且在无需牺牲结构有效性的情况下难以在非可微分的化学空间中导航。为应对这些挑战,我们提出了 CAGenMol,这是一种基于分子序列的条件感知离散扩散框架,该框架将分子设计表述为由异质性结构和性质信号引导的条件去噪过程。通过将离散扩散与强化学习相结合,该模型在保持化学有效性和多样性的同时,使生成轨迹与不可微分目标对齐。扩散语言模型的非自回归特性进一步实现了在推理阶段对分子片段的迭代优化。在结构条件、性质条件及双重条件基准测试上的实验表明,该方法在结合亲和力、类药性及成功率方面均一致优于最先进的方法,凸显了本框架的有效性。

Paper Key Illustration
原文
CAGenMol: Condition-Aware Diffusion Language Model for Goal-Directed Molecular Generation
Abstract: Goal-directed molecular generation requires satisfying heterogeneous constraints such as protein--ligand compatibility and multi-objective drug-like properties, yet existing methods often optimize these constraints in isolation, failing to reconcile conflicting objectives (e.g., affinity vs. safety), and struggle to navigate the non-differentiable chemical space without compromising structural validity. To address these challenges, we propose CAGenMol, a condition-aware discrete diffusion framework over molecular sequences that formulates molecular design as conditional denoising guided by heterogeneous structural and property signals. By coupling discrete diffusion with reinforcement learning, the model aligns the generation trajectory with non-differentiable objectives while preserving chemical validity and diversity. The non-autoregressive nature of diffusion language model further enables iterative refinement of molecular fragments at inference time. Experiments on structure-conditioned, property-conditioned, and dual-conditioned benchmarks demonstrate consistent improvements over state-of-the-art methods in binding affinity, drug-likeness, and success rate, highlighting the effectiveness of our framework.
链接:https://arxiv.org/pdf/2604.11483
AI 深度解读
该研究针对抗原 - 抗体结合亲和力预测问题,提出了一种名为 AbLWR 的框架。研究首先利用 IgFold 和 ESMFold 等结构预测模型获取抗原与抗体的三维点云结构,并将其建模为基于残基级别的分子图。模型采用双图卷积网络(GCN)编码器,分别独立处理抗体和抗原的拓扑结构,最终通过拼接生成全局图表示。
在训练策略上,研究引入了半监督学习(PU 学习)机制,结合有标签和无标签数据。具体而言,通过图扰动生成强弱增强视图,利用对比学习损失(LIns)和聚类感知损失(LClus)优化表征能力,并引入元学习策略对无标签数据的伪标签进行迭代修正,以统一监督分类与自监督学习目标。
针对列表式排名任务,研究设计了同源抗原采样策略构建训练列表,并引入多头自注意力(MHSA)机制捕捉列表内样本间的交互作用,最终输出亲和力排名分数。该方法旨在解决抗体 - 抗原结合预测中数据标注稀缺及结构复杂性带来的挑战,通过整合几何约束、半监督学习与列表排序技术,提升模型在复杂生物分子对中的表征学习与预测精度。
中文摘要
摘要:抗体 - 抗原结合亲和力的准确预测是治疗设计的基础,但仍受到标签稀疏性和抗原变异复杂性的严重制约。本文提出了 AbLWR(抗体 - 抗原结合亲和力列表级排序)框架,该框架将传统的亲和力回归任务重构为列表级排序问题。为缓解标签稀疏问题,AbLWR 引入了一种利用双层级对比目标及元优化标签细化机制的 PU(正负样本)学习策略,以学习鲁棒的表征。此外,针对抗原变异问题,我们采用同源抗原采样策略,利用多头自注意力(MHSA)显式建模训练列表内的样本间关系,以捕捉细微的亲和力差异。大量实验表明,AbLWR 显著优于最先进基线方法,在随机交叉验证实验中,其 Precision@1(P@1)指标提升了超过 10%。值得注意的是,针对流感病毒和白介素 -33(IL-33)的案例研究验证了其实际效用,展示了其在区分细微病毒突变方面的稳健排序一致性,并能高效地为湿实验筛选优先排序顶级候选分子。

Paper Key Illustration
原文
AbLWR:A Context-Aware Listwise Ranking Framework for Antibody-Antigen Binding Affinity Prediction via Positive-Unlabeled Learning
Abstract: Accurate prediction of antibody-antigen binding affinity is fundamental to therapeutic design, yet remains constrained by severe label sparsity and the complexity of antigenic variations. In this paper, we propose AbLWR (Antibody-antigen binding affinity List-Wise Ranking), a novel framework that reformulates the conventional affinity regression task as a listwise ranking problem. To mitigate label sparsity, AbLWR incorporates a PU (Positive-Unlabeled) learning mechanism leveraging a dual-level contrastive objective and meta-optimized label refinement to learn robust representations. Furthermore, we address antigenic variation by employing a homologous antigen sampling strategy where Multi-Head Self-Attention (MHSA) explicitly models inter-sample relationships within training lists to capture subtle affinity nuances. Extensive experiments demonstrate that AbLWR significantly outperforms state-of-the-art baselines, improving the Precision@1 (P@1) by over 10% in randomized cross-validation experiments. Notably, case studies on Influenza and IL-33 validate its practical utility, demonstrating robust ranking consistency in distinguishing subtle viral mutations and efficiently prioritizing top-tier candidates for wet-lab screening.
链接:https://arxiv.org/pdf/2604.11272
AI 深度解读
该研究旨在解决在显微镜图像数据集(OpenCell 和 HPA)之间迁移预训练模型时面临的通道不匹配问题。研究整合了来自 Kaggle 和 HPAv18/v20 数据集的数十万张高分辨率共聚焦显微镜图像,涵盖多种细胞系及四种亚细胞结构通道(蛋白、微管、细胞核、内质网)。针对 Vision Transformer(ViT)骨干网络在不同数据集间通道语义不一致的挑战,论文提出了两种核心策略:一是“通道复制”,即独立处理每个通道并拼接特征向量,无需额外训练但计算成本随通道数线性增加;二是“通道级嵌入”,通过将特定通道映射到预训练模型的对应通道(如将蛋白通道映射至红通道,细胞核映射至绿通道,缺失通道填充为零),以复用通道特异性特征。研究基于 DINO 自监督学习框架,利用学生 - 教师网络架构进行无标签特征提取,并通过指数移动平均(EMA)更新教师参数。最终,研究构建了从特征提取到分类头训练的端到端流程,分别针对全视野(FOV)分类和单细胞分类任务,实现了在 HPA 或 ImageNet 预训练权重基础上的微调,为蛋白质定位模型的预训练与评估提供了有效的数据适配方案。
中文摘要
摘要:背景:特定任务的显微成像数据集通常规模较小,难以训练能够学习鲁棒特征的深度学习模型。虽然自监督学习(SSL)通过在大型领域特定数据集上进行预训练已展现出潜力,但其在不同染色方案和通道配置的数据集间的泛化能力仍未被充分探索。我们研究了在 ImageNet-1k 和 HPA FOV 上预训练的 SSL 模型的泛化能力,评估了其在 OpenCell 数据集上经微调与未经微调的嵌入效果,比较了两种通道不匹配策略,并分析了不同微调数据比例的影响。此外,我们还分析了在标记的 OpenCell 子集上的单细胞嵌入结果。结果:基于 DINO 的 ViT 骨干网络在 HPA FOV 或 ImageNet-1k 上预训练后,即使不进行微调也能很好地迁移到 OpenCell 数据集。在 HPA FOV 上预训练的模型取得了最高的零样本性能(宏观 F_1 为 0.822 ± 0.007)。进一步微调将性能提升至 0.860 ± 0.013。在单细胞层面,在 HPA 单细胞数据上预训练的模型在所有邻域大小下均取得了最高的 k 近邻性能(宏观 F_1 ≥ 0.796)。结论:类似于 DINO 的 SSL 方法,通过在大型领域相关数据集上进行预训练,使得深度学习特征能够有效应用于小规模的特定任务显微成像数据集的微调。

Paper Key Illustration
原文
Using Deep Learning Models Pretrained by Self-Supervised Learning for Protein Localization
Abstract: Background: Task-specific microscopy datasets are often small, making it difficult to train deep learning models that learn robust features. While self-supervised learning (SSL) has shown promise through pretraining on large, domain-specific datasets, generalizability across datasets with differing staining protocols and channel configurations remains underexplored. We investigated the generalizability of SSL models pretrained on ImageNet-1k and HPA FOV, evaluating their embeddings on OpenCell with and without fine-tuning, two channel-mismatch strategies, and varying fine-tuning data fractions. We additionally analyzed single-cell embeddings on a labeled OpenCell subset. Result: DINO-based ViT backbones pretrained on HPA FOV or ImageNet-1k transfer well to OpenCell even without fine-tuning. The HPA FOV-pretrained model achieved the highest zero-shot performance (macro F_1 0.822 ± 0.007). Fine-tuning further improved performance to 0.860 ± 0.013. At the single-cell level, the HPA single-cell-pretrained model achieved the highest k-nearest neighbor performance across all neighborhood sizes (macro F_1 ≥ 0.796). Conclusion: SSL methods like DINO, pretrained on large domain-relevant datasets, enable effective use of deep learning features for fine-tuning on small, task-specific microscopy datasets.
链接:https://arxiv.org/pdf/2604.10970
AI 深度解读
PepbenchData 构建了一个涵盖 27 个分类任务和 8 个回归任务的标准化肽类基准数据集,整合了文献中的经典数据集及 Peptipedia、CycPeptMPDB 等非经典来源。针对非经典肽序列格式不统一的问题,研究统一了单体库并转换为 SMILES 格式,同时根据药物研发中常见的 50 个残基限制,提供了 PepbenchData-50 和 PepbenchData-150 两个版本。在数据预处理方面,针对回归数据集采用基于四分位距(IQR)的方法剔除异常值,利用 MMseqs2 去除相似度超过 90% 的冗余序列以防止模型过拟合。为了解决负样本稀缺及传统随机采样或跨任务采样导致的分布偏移和假阴性问题,研究提出了生物信息引导且受分布控制的负采样策略(BDNegSamp)。该策略通过构建包含多种生物活性的采样池,结合专家先验知识过滤任务间强相关数据,并基于序列相似性进行去重,旨在确保正负样本分布一致且避免引入虚假负样本,从而提升模型评估的可靠性。
中文摘要
摘要:肽类药物疗法被广泛视为“第三代”药物,然而肽类机器学习(ML)的进展因缺乏标准化基准而受阻。在此,我们提出了 PepBenchmark,该框架统一了肽类药物发现中的数据集、预处理及评估协议。PepBenchmark 包含三个组成部分:(1) PepBenchData,这是一个精心 curated 的数据集集合,涵盖 7 个类别中的 29 个经典肽类和 6 个非经典肽类数据集,系统覆盖了肽类药物开发的关键方面;据我们所知,这是迄今为止最全面的、可直接用于人工智能研究的肽类数据集资源;(2) PepBenchPipeline,一套标准化的预处理流程,确保数据集清洗、构建、划分及特征转换的一致性,从而缓解随意性流程中常见的质量问题;(3) PepBenchLeaderboard,一套统一的评估协议与排行榜,涵盖了四大主要方法论家族(基于指纹、基于图神经网络、基于预训练语言模型及基于 SMILES 的模型)的强基准线。综上所述,PepBenchmark 为肽类药物发现提供了首个标准化且可比的基石,有助于推动方法论进步并将其转化为实际应用。相关数据与代码已公开托管于 https://github.com/ZGCI-AI4S-Pep/PepBenchmark/。

Paper Key Illustration
原文
PepBenchmark: A Standardized Benchmark for Peptide Machine Learning
Abstract: Peptide therapeutics are widely regarded as the "third generation" of drugs, yet progress in peptide Machine Learning (ML) are hindered by the absence of standardized benchmarks. Here we present PepBenchmark, which unifies datasets, preprocessing, and evaluation protocols for peptide drug discovery. PepBenchmark comprises three components: (1) PepBenchData, a well-curated collection comprising 29 canonical-peptide and 6 non-canonical-peptide datasets across 7 groups, systematically covering key aspects of peptide drug development, representing, to the best of our knowledge, the most comprehensive AI-ready dataset resource to date; (2) PepBenchPipeline, a standardized preprocessing pipeline that ensures consistent dataset cleaning, construction, splitting, and feature transformation, mitigating quality issues common in ad hoc pipelines; and (3) PepBenchLeaderboard, a unified evaluation protocol and leaderboard with strong baselines across 4 major methodological families: Fingerprint-based, GNN-based, PLM-based, and SMILES-based models. Together, PepBenchmark provides the first standardized and comparable foundation for peptide drug discovery, facilitating methodological advances and translation into real-world applications. The data and code are publicly available at https://github.com/ZGCI-AI4S-Pep/PepBenchmark/.
链接:https://arxiv.org/pdf/2604.10531
今日热门 / Popular Today
ArXiv 高热度精选
AI 深度解读
本研究旨在评估 18 种脑肿瘤分割模型在性能与分布公平性方面的表现,并探究临床人口学因素对分割结果的影响。研究排除了仅含水肿标签的病例后,分析了 576 名患者的数据。通过构建复合排名体系,研究发现在五种不同的权重情景下(从 90% 性能/10% 公平性到 10% 性能/90% 公平性),较新且整体性能更高的模型往往也具备更好的分布公平性。其中,Myronenko 等人提出的模型在性能与公平性两项指标中均位列第一,而 BraTS 2023 及 2021 年的获奖模型占据了前四名。敏感性 - 精确度权衡分析证实,分割准确率的提升通常伴随着不平等程度的降低,但这并非绝对,不同模型在特定人口学亚组间仍存在显著的性能差距,例如 IDH 野生型胶质母细胞瘤的 NET 和 ET 分割效果普遍较差,且手术切除范围(全切优于活检)和肿瘤分级(高级别优于低级别)显著影响模型表现。方差分解分析进一步揭示,患者个体特征(如病变性质)对结果变异度的解释力远大于模型本身,提示未测量的患者或影像特征可能是导致性能差异的关键因素。
中文摘要
摘要:尽管目前已有超过 1000 种经美国食品药品监督管理局(FDA)批准的 AI 医疗设备,但正式的公平性评估——即模型性能在不同患者亚组中是否一致——却极为罕见。在此,我们评估了 18 种开源脑肿瘤分割模型在来自两个独立数据集的 648 名胶质瘤患者中的公平性(n = 11,664 次模型推断),并从不同的单变量、贝叶斯多变量、空间及表征维度进行分析。我们发现,患者身份对性能变异的解释力始终强于模型选择,而临床因素(包括分子诊断、肿瘤分级及切除范围)对分割准确性的预测作用强于模型架构。基于体素的空间元分析揭示了具有解剖定位特征的偏差,这些偏差虽因脑区而异,但在不同模型间往往保持一致。在高维潜在空间中,病变掩膜与临床人口学特征的性能聚类显著,表明患者特征空间中存在算法脆弱性轴线。尽管较新模型倾向于更高的公平性,但尚无模型能提供正式的公平性保障。最后,我们发布了 Fairboard,这是一个开源、无需编码的仪表板,旨在降低医学影像中公平模型监测的门槛。

Paper Key Illustration
原文
Fairboard: a quantitative framework for equity assessment of healthcare models
Abstract: Despite there now being more than 1,000 FDA-authorised AI medical devices, formal equity assessments -- whether model performance is uniform across patient subgroups -- are rare. Here, we evaluate the equity of 18 open-source brain tumour segmentation models across 648 glioma patients from two independent datasets (n = 11,664 model inferences) along distinct univariate, Bayesian multivariate, spatial, and representational dimensions. We find that patient identity consistently explains more performance variance than model choice, with clinical factors, including molecular diagnosis, tumour grade, and extent of resection, predicting segmentation accuracy more strongly than model architecture. A voxel-wise spatial meta-analysis identifies neuroanatomically localised biases that are compartment-specific yet often consistent across models. Within a high-dimensional latent space of lesion masks and clinic-demographic features, model performance clusters significantly, indicating that the patient feature space contains axes of algorithmic vulnerability. Although newer models tend toward greater equity, none provide a formal fairness guarantee. Lastly, we release Fairboard, an open-source, no-code dashboard that lowers barriers to equitable model monitoring in medical imaging.
链接:https://arxiv.org/pdf/2604.09656
AI 深度解读
该研究针对随机梯度噪声环境下的非凸优化问题,提出了一种名为 SHANG++ 的改进算法。该方法在原有 SHANG 算法的更新规则基础上,引入了一个额外的修正项 -m(x_k+1-x_k),其中参数 m 用于控制修正强度(当 m=0 时退化为原 SHANG 算法)。针对强凸函数最小化问题,研究设定了特定的参数选择(如 m=1 及 ildeα 的取值),证明了算法在期望函数值与梯度范数平方和上的线性收敛速率。理论分析表明,SHANG++ 的收敛速率 O((1-α̃)^k+1) 优于传统方法,且在确定性情形下可退化为 HNAG++ 方法。研究还指出,相较于 HNAG++ 中受限的修正强度选择,SHANG++ 允许更大的 m 值,从而在算法调优与分析上提供了更大的灵活性,并展现出对随机梯度噪声更强的鲁棒性。
中文摘要
摘要:在乘性噪声缩放(MNS)条件下,原始的 Nesterov 加速方法被证明对噪声敏感,当梯度噪声压倒信号时可能会发散。本文通过离散化 Hessian 驱动的 Nesterov 加速梯度流,提出了两种加速随机梯度下降方法。首先,我们推导了 SHANG,这是一种直接的 Gauss-Seidel 型离散化方法,已在 MNS 条件下提升了稳定性。随后,我们引入了 SHANG++,该方法增加了阻尼修正项,在实现更快收敛的同时增强了抗噪能力。我们在 MNS 条件下为凸和强凸目标函数建立了收敛性保证,并给出了明确的参数选择建议。实验表明,SHANG++ 在各类凸问题及深度学习应用中表现 consistently 优异。在针对 ResNet-34 的专用噪声实验中,仅通过单一超参数配置,其精度即可达到无噪声设置下的 1% 以内。在所有实验中,SHANG++ 在鲁棒性和效率方面均优于现有的加速方法,且对参数敏感性极低。

Paper Key Illustration
原文
SHANG++: Robust Stochastic Acceleration under Multiplicative Noise
Abstract: Under the multiplicative noise scaling (MNS) condition, original Nesterov acceleration is provably sensitive to noise and may diverge when gradient noise overwhelms the signal. In this paper, we develop two accelerated stochastic gradient descent methods by discretizing the Hessian-driven Nesterov accelerated gradient flow. We first derive SHANG, a direct Gauss-Seidel-type discretization that already improves stability under MNS. We then introduce SHANG++, which adds a damping correction and achieves faster convergence with stronger noise robustness. We establish convergence guarantees for both convex and strongly convex objectives under MNS, together with explicit parameter choices. In our experiments, SHANG++ performs consistently well across convex problems and applications in deep learning. In a dedicated noise experiment on ResNet-34, a single hyperparameter configuration attains accuracy within 1% of the noise-free setting. Across all experiments, SHANG++ outperforms existing accelerated methods in robustness and efficiency, with minimal parameter sensitivity.
链接:https://arxiv.org/pdf/2603.09355
AI 深度解读
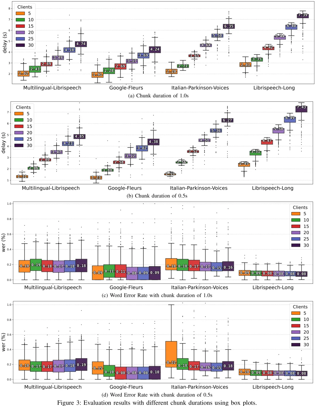
针对现有 Whisper 模型在实时多客户端场景下的局限性,如实时性能退化、缺乏模型级并行支持以及无法并发处理多路音频流等问题,本文提出了一种名为 SWIM 的多客户端实时语音识别系统。该系统架构包含多客户端、专用服务节点与共享 ASR 模型三个核心组件:客户端负责采集音频并通过 gRPC 协议发送;服务节点构建短时音频缓冲区(10-15 秒),利用 faster-whisper 提供的词级时间戳对齐机制,结合本地一致性策略维护假设缓冲区,确保转录可靠性;共享 ASR 模型则通过统一的共享音频缓冲区,将来自各服务节点的音频片段进行并行处理与推理。SWIM 通过这种集中式共享模型与分布式服务协同的机制,在有限硬件资源下实现了多语言音频流的并发处理、低延迟传输及高精度转录,为构建高效的远程多客户端语音识别系统提供了可行的解决方案。
中文摘要
摘要:实时自动语音识别(ASR)系统正日益集成到各类交互式应用中,从语音助手到实时转录服务。然而,如何在保持低延迟和高准确率的同时,将这些系统扩展以支持多个并发客户端,仍是一个重大挑战。本文提出了 SWIM,一种基于 OpenAI Whisper 模型构建的新型实时 ASR 系统,它实现了真正的模型级并行化,从而支持可扩展的多语言转录。SWIM 无需修改底层模型即可支持多个并发音频流,并提出了一种缓冲区合并策略,在确保转录保真度的同时实现资源的高效利用。我们在多客户端设置下对 SWIM 进行了评估——可扩展至 20 个并发用户——结果表明,该系统在英语、意大利语和西班牙语中均能提供准确的实时转录,同时保持低延迟和高吞吐量。虽然 Whisper-Streaming 在单客户端、仅限英语的设置下,词错误率约为 8.2%,平均延迟约为 3.4 秒,但 SWIM 将这一能力扩展至多语言、多客户端环境。它在保持相当准确率的同时,显著降低了延迟(5 个客户端时约为 2.4 秒),并能有效扩展至 20 个并发客户端,而不会降低转录质量或降低整体吞吐量。我们的方法通过提升动态多用户环境中的鲁棒性和效率,推动了可扩展 ASR 的发展。

Paper Key Illustration
原文
Sink or SWIM: Tackling Real-Time ASR at Scale
Abstract: Real-time automatic speech recognition systems are increasingly integrated into interactive applications, from voice assistants to live transcription services. However, scaling these systems to support multiple concurrent clients while maintaining low latency and high accuracy remains a major challenge. In this work, we present SWIM, a novel real-time ASR system built on top of OpenAI's Whisper model that enables true model-level parallelization for scalable, multilingual transcription. SWIM supports multiple concurrent audio streams without modifying the underlying model. It introduces a buffer merging strategy that maintains transcription fidelity while ensuring efficient resource usage. We evaluate SWIM in multi-client settings -- scaling up to 20 concurrent users -- and show that it delivers accurate real-time transcriptions in English, Italian, and Spanish, while maintaining low latency and high throughput. While Whisper-Streaming achieves a word error rate of approximately 8.2% with an average delay of approximately 3.4 s in a single-client, English-only setting, SWIM extends this capability to multilingual, multi-client environments. It maintains comparable accuracy with significantly lower delay -- around 2.4 s with 5 clients -- and continues to scale effectively up to 20 concurrent clients without degrading transcription quality and increasing overall throughput. Our approach advances scalable ASR by improving robustness and efficiency in dynamic, multi-user environments.
链接:https://arxiv.org/pdf/2601.17097
AI 深度解读
本文针对现有硬件优先级队列在定时器管理场景下的局限性进行了深入研究。现有方案如 BSRTQ、BMW-Tree 等主要针对任务调度或数据包调度设计,普遍缺乏对元素优先级动态更新(Update)的支持,且难以解决固定位宽导致的定时器溢出问题。相比之下,数据包调度强调高吞吐与工作守恒,而定时器队列更关注 dequeue 的精确性与非工作守恒特性,且需频繁修改在队元素的时序值。为此,本文提出了一种基于 1D 混合架构的硬件定时器队列方案。该方案通过分解 enqueue、dequeue、remove 及新增的 update 操作,实现了纳秒级的定时精度,并有效处理了溢出后的准确计时问题。研究还对比了不同架构在支持操作(如排序方法、位操作类型)上的差异,论证了引入更新操作对于实现定时器队列动态优先级调整的必要性,填补了现有硬件优先级队列在定时器管理领域的应用空白。
中文摘要
摘要:随着网络功能的硬件卸载,网卡(NIC)承担了大规模、高精度和高吞吐量的有状态任务,其中定时器是关键使能组件。然而,现有的定时器管理方案存在软件负载重、精度低、缺乏硬件更新支持以及溢出等问题。本文提出了两种针对优先级队列的新操作——更新操作和分组排序,以支持硬件定时器管理。据我们所知,本工作首次提出了一种支持更新操作的硬件优先级队列,该队列通过组合与传播基本操作来修改队列中元素的优先级。分组排序机制通过建立组边界优先级来改变排序过程和元素插入位置,从而确保溢出后的正确定时行为。我们的设计采用一维(1D)脉动阵列和移位寄存器的混合架构,并通过流表超时管理的包级仿真进行了验证。结果表明,在28nm工艺下,4K深度、16位定时器队列的吞吐量超过500 MHz(1.75亿包/秒,精度12纳秒);在FPGA上则超过300 MHz(1.16亿包/秒)。更重要的是,与现有设计相比,本设计分别减少了31%和25%的查找表(LUTs)和触发器(FFs)用量。

Paper Key Illustration
原文
A Grouped Sorting Queue Supporting Dynamic Updates for Timer Management in High-Speed Network Interface Cards
Abstract: With the hardware offloading of network functions, network interface cards (NICs) undertake massive stateful, high-precision, and high-throughput tasks, where timers serve as a critical enabling component. However, existing timer management schemes suffer from heavy software load, low precision, lack of hardware update support, and overflow. This paper proposes two novel operations for priority queues--update and group sorting--to enable hardware timer management. To the best of our knowledge, this work presents the first hardware priority queue to support an update operation through the composition and propagation of basic operations to modify the priorities of elements within the queue. The group sorting mechanism ensures correct timing behavior post-overflow by establishing a group boundary priority to alter the sorting process and element insertion positions. Implemented with a hybrid architecture of a one-dimension (1D) systolic array and shift registers, our design is validated through packet-level simulations for flow table timeout management. Results demonstrate that a 4K-depth, 16-bit timer queue achieves over 500 MHz (175 Mpps, 12 ns precision) in a 28nm process and over 300 MHz (116 Mpps) on an FPGA. Critically, it reduces LUTs and FFs usage by 31% and 25%, respectively, compared to existing designs.
链接:https://arxiv.org/pdf/2601.09081
AI 深度解读
该研究针对布尔可满足性问题(SAT)中的二进制树表示法,深入探讨了子句添加顺序对内存占用(树表示大小)的影响。研究发现,随着子句数量增加,虽然覆盖的总体积单调递增,但树的表示大小会因变量重叠情况不同而呈现先急剧增长后下降的趋势。研究指出,处理顺序类似于“俄罗斯方块”游戏,关键在于通过优化子句和变量的排列顺序,使新增子句尽可能不重叠或引发分支合并,从而最小化树的表示大小。为此,研究提出了一种基于“密度”的启发式优化策略:优先处理涉及变量子集最紧密的子句,并逐步扩展该子集,以此避免随机顺序导致的内存峰值。实验对比显示,经过优化的顺序能显著降低树的大小,其性能优于随机顺序下的最大和最小值。此外,研究还探讨了通过固定变量将搜索空间二分以压缩内存的方法,但指出若子句在分裂变量上无定值,则分裂效果有限,最终退化为回溯搜索。最后,文章讨论了利用体积计算解数量的方法,指出该方法仅适用于无重叠表达式,处理重叠情况需引入负体积及重叠的修正项。
中文摘要
将 3-SAT 问题解释为体积填充问题,并利用其研究 SAT/UNSAT 相变。

Paper Key Illustration
原文
Geometric Interpretation of 3-SAT and Phase Transition
Abstract: Interpretation of 3-SAT as a volume filling problem, and its use to explore the SAT/UNSAT phase transition.
链接:https://arxiv.org/pdf/2509.19740
Subscribe to arXiv's Daily Preprint Notifications
夜雨聆风