
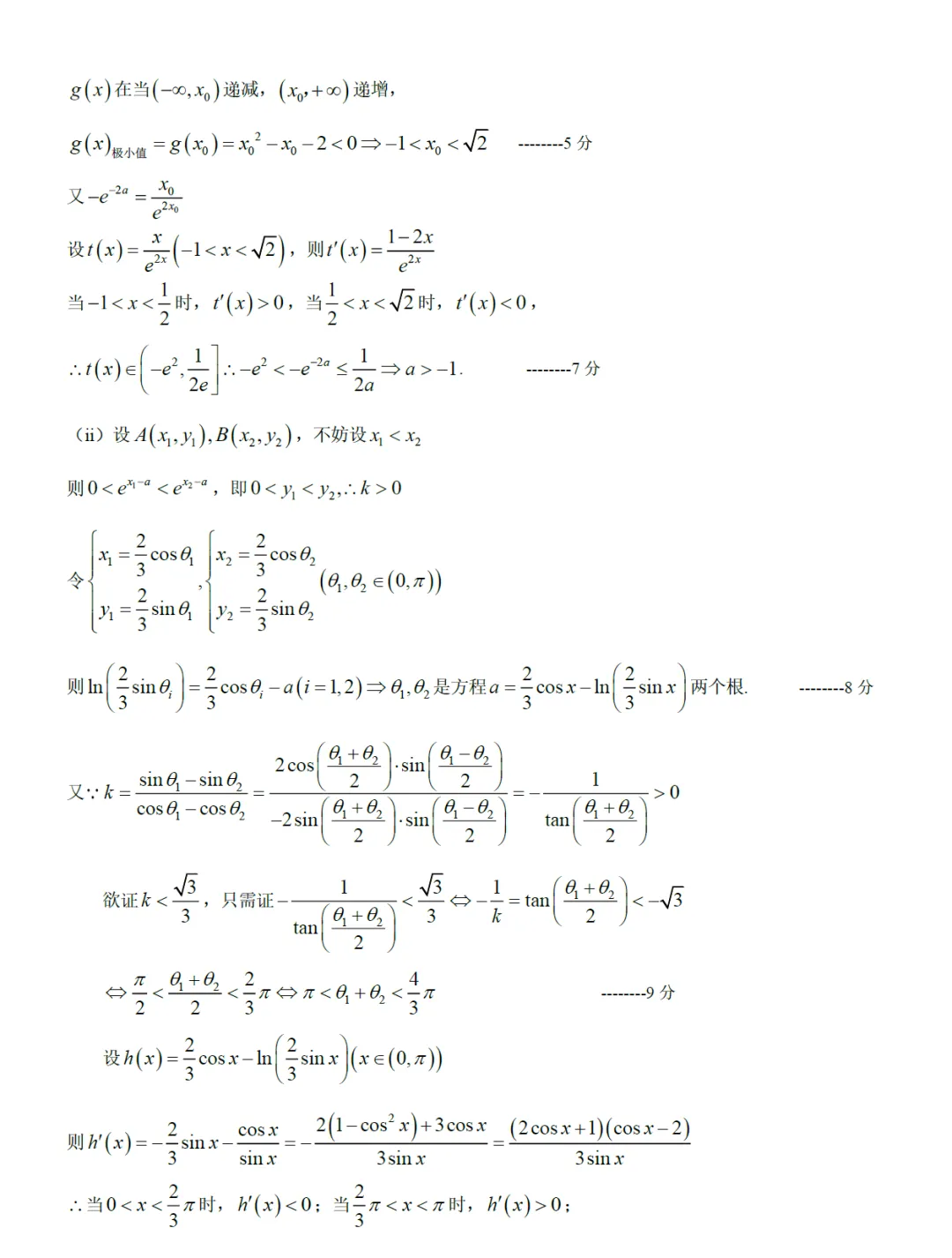
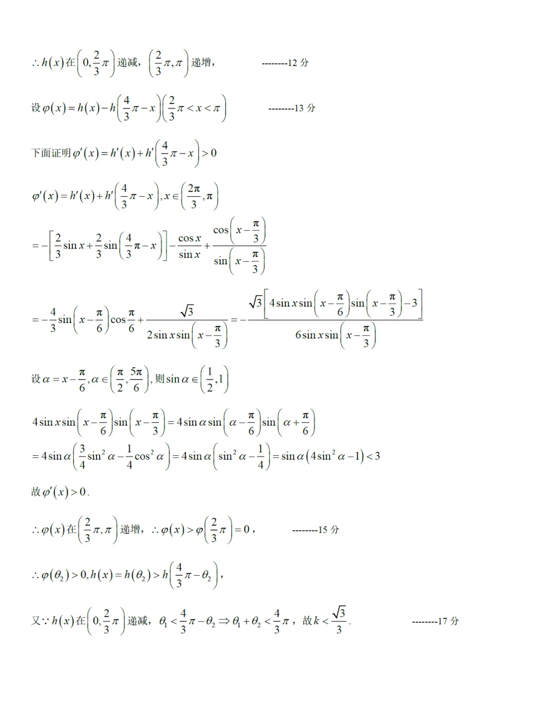
(资料包含:已出版教辅pdf版、已出版教辅word版| 一线教学名师自主编辑讲义\课件真题等\各教育平台优秀套系资源!)
优秀资料如约而至(记得星标🌟我们哦)
小初高大学系列资料持续更新中……敬请期待,欢迎家人们关注分享,欲获全文,请拉至文章最后。
| 此资料为对应年级对应学科VIP公众号会员专享资料 |
获取资料电子版看文末!!!
获取资料电子版看文末!!!
获取资料电子版看文末!!!
所有资料,持续更新,所有资料点开链接即可浏览。对应学科公众号VIP会员免费领取,非会员可以单独选购。 (温馨提示:滑动右边滑动条查看更多。) 因文章字数限制,往期资料名称会陆续删除,有需要的可以随时留言。 |
2026年版精品教辅宣发
2026版提分宝典高考总复习全科全版本配套学生用书pdf版配套教师ppt课件教师word版
2026版五年高考三年模拟5年高考3年模拟高考一轮全科全版本系列教师用书pdf教师配套课件+习题word版
2026版导与练高考一轮总复习全科全版本配套学生用书word+教师用书word+教师配套ppt精品宣发
2026版全品高考复习方案全科全版本配套word版题目+word版备用习题+word版学生用书+教师ppt
2026版导与练高考总复习一轮全科全版本配套教师用书word版+配套教师ppt课件
2026版南方凤凰台高考总分复习一轮全科全版本教师用书word+教师备考ppt
2026版优化方案高考总复习一轮全科全版本配套教师用书word+教师配套ppt课件
2026版红对勾高考总复习全科全版本配套教师用书word+教师配套ppt课件
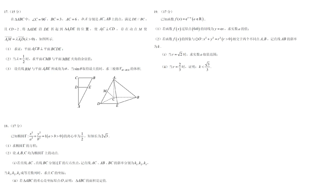
2026版三维设计高考总复习一轮全科全版本配套学生用书word+教师用书word+word版题库+教师ppt课件
2026版绿色通道高考总复习一轮系列全科全版本配套教师用书word+教师配套ppt
2026版赢在微点顶层设计高考总复习一轮全科全版本配套学生用书word+教师用书word+教师配套ppt
2026版赢在微点顶层设计高考总复习大一轮全科全版本物理配套微练ppt版(共90份ppt版文件)
2026版课堂新坐标高考总复习一轮全科全版本配套教师用书word+学生用书word+教师配套ppt
2026版赢在微点顶层设计高考总复习大一轮全科全版本物理配套微讲ppt版(共96份ppt版文件)
2026版赢在微点顶层设计高考总复习大一轮全科全版本物理配套学生用书word版(共113份word版文件)
2026版赢在微点顶层设计高考总复习大一轮全科全版本物理配套教师word版(共111份word版文件)
2026版步步高大一轮复习讲义全科全版本配套教师用书word+学生word+教师配套课件
2026版步步高大一轮复习讲义生物篇通用版配套题库word合集(共88份word版文件)
2026版世纪金榜高中全程复习方略全科全版本配套教师用书word+配套ppt系列
2026版步步高大一轮复习讲义生物篇通用版配套学生用书word+66练合集(共134份word版文件)
2026版名师伴你行高考总复习一轮全科全版本配套word版教师用书+ppt课件
2026版步步高大一轮复习讲义生物篇通用版配套教师课件(共66份ppt版文件)
2026版步步高大一轮复习讲义生物篇通用版配套题库word合集(共88份word版文件)
2026版世纪金榜高中全程复习方略一轮系列语文强基版配套教师用书(共155份word版)
2026版三维设计高考总复习一轮配套学生用书物理通用版(共168份word版文件)
2026版创新设计高考总复习一轮全科全版本教师配套word版教师用书+word版学生用书+ppt版教师课件
2026版三维设计高考总复习一轮配套教师用书课件物理通用版(共91份ppt版文件)
2026版三维设计高考总复习一轮配套教师用书课件物理通用版(共91份ppt版文件)
2026版步步高大一轮复习讲义数学篇标准版配套学生用书+110专项练(共202份word版文件)
2026版步步高大一轮复习讲义数学篇标准版配套学生用书+110专项练(共202份word版文件)
2026版三维设计高考总复习一轮配套教师用书物理通用版(共91份word版文件)
2026版步步高大一轮复习讲义数学篇标准版配套备课题库(共90份word版文件)
2026版创新设计高考总复习物理篇配套学生用书(共193份word版文件)
2026版创新设计高考总复习物理篇配套教师课件(共105份ppt版)
2026版步步高大一轮复习讲义数学篇标准版配套教师课件(共110份ppt版文件)
2026版创新设计高考总复习物理篇配套教师用书word(共105份word版)
2026版步步高大一轮复习讲义数学篇标准版配套教师用书(共110份word版文件)
2026版全品高考总复习物理配套教师备用习题(共323份word版文件)
2026版步步高大一轮复习讲义数学篇提高版配套精品题库(共90份word版文件)
2026版全品高考总复习物理配套教师备课习题(共90份word版文件)
2026版步步高大一轮复习讲义数学篇提高版配套学生用书+123专练(共228份word版文件)
2026版全品高考总复习物理配套学生用书(共350份word版文件)
2026版步步高大一轮复习讲义数学篇提高版配套教师课件(共123份ppt版文件)
2026版全品高考总复习物理配套教师版课件(共88份ppt版文件)
2026版步步高大一轮复习讲义数学篇提高版配套教师用书(共124份word版文件)
2026版南方凤凰台大一轮复习讲义全科全版本配套课件版广东专版地理(共92份ppt版文件)
2026版南方凤凰台大一轮复习讲义全科全版本配套word版教师用书广东专版地理(共93份word版文件)
2026版步步高大一轮复习讲义数学篇基础版配套精准习题(共89份word版文件)
2026版步步高大一轮复习讲义数学篇基础版配套学生用书+96练(共174份word版文件)
2026版高考语文一轮前奏第六辑古诗歌常见意象汇编合订本(共16页word版)
2026版步步高大一轮复习讲义数学篇基础版配套教师用书课件(共96份ppt版文件)
2026版步步高大一轮复习讲义数学篇基础版配套word版教师用书(共97份word版文件)
2026版高考语文一轮前奏第五辑120例课本中识记的成语汇编合订本(共24页word版)
2026版高考语文一轮前奏第四辑18个文言实词汇编合订本(共42页word版)
特惠!2025-2026版会员即将发布持续更新最新版资料目录部分展示(word+ppt+pdf)同步+总复习
2026版高考语文一轮前奏第三辑120个文言虚词汇编合订本(共179页word版)
2026版高考语文一轮前奏第二辑新课标古诗文背诵篇目(60篇)(共76页word版)
2026版步步高大一轮复习讲义物理篇配套学生用书(共193份word版)
2026版步步高大一轮复习讲义物理篇配套教师课件(共98份ppt版)
2026版高考语文一轮前奏第一辑教材古诗文梳理(共310页word版)
2026版步步高大一轮复习讲义物理篇配套教师用书(共99份word版)
2026版衡中学案第12期全科一轮高考总复习系列27套合集(word版+ppt版文件)
2026版衡中学案第12期全科一轮高考总复习系列历史篇配套课件(共108份ppt版文件)
2026版衡中学案第12期全科一轮高考总复习系列历史篇配套练案(共61份word版文件)
2026版衡中学案第12期全科一轮高考总复习系列历史篇配套教参(共1597页word版文件)
2026版衡中学案第12期全科一轮高考总复习系列政治篇配套课件(共66份ppt版文件)
2026版衡中学案第12期全科一轮高考总复习系列政治篇配套练案(共58份word版文件)
2026版衡中学案第12期全科一轮高考总复习系列政治篇配套教参(共1827页word版文件)
2026版衡中学案第12期全科一轮高考总复习系列化学篇配套课件(共55份ppt版文件)
2026版衡中学案第12期全科一轮高考总复习系列化学篇配套练案(共55份word版文件)
2026版衡中学案第12期全科一轮高考总复习系列化学篇配套教参(共1899页word版文件)
2026版衡中学案第12期全科一轮高考总复习系列生物篇配套练案(共46份word版文件)
2026版衡中学案第12期全科一轮高考总复习系列生物篇配套课件(共66份ppt版文件)
2026版衡中学案第12期全科一轮高考总复习系列生物篇配套教参(共1689页word版文件)
2026版衡中学案第12期全科一轮高考总复习系列物理篇配套练案(共84份word版文件)
2026版衡中学案第12期全科一轮高考总复习系列物理篇配套课件(共84份ppt版文件)
2026版衡中学案第12期全科一轮高考总复习系列物理篇配套教参(共1728页word版文件)
2026版衡中学案第12期全科一轮高考总复习系列英语篇配套练案(共48份word版文件)
2026版衡中学案第12期全科一轮高考总复习系列英语篇配套课件(共56份ppt版文件)
2026版衡中学案第12期全科一轮高考总复习系列英语篇配套教参(共1602页word版文件)
2026版衡中学案第12期全科一轮高考总复习系列数学篇配套练案(共70份word版文件)
2026版衡中学案第12期全科一轮高考总复习系列数学篇配套课件(共70份ppt版文件)
2026版衡中学案第12期全科一轮高考总复习系列数学篇教参(共1919页word版文件)
2026版衡中学案第12期全科一轮高考总复习系列语文篇课件(共63份ppt版文件)
2026版衡中学案第12期全科一轮高考总复习系列语文篇练案(共51份word版)
2026版衡中学案第12期全科一轮高考总复习系列语文篇教参(共1903页word版)
2025-2026版高考语文提分冲刺系列教材成语合集(共42页word版)
2026版高考语文一轮总复习教材古诗文识记专项古诗背诵与检测(共74页word版)
2026版高考语文一轮总复习教材古诗文识记专项选择性必修下册(共42页word版)
2026版高考语文一轮总复习教材古诗文识记专项选择性必修中册(共36页word版)
2026版高考语文一轮总复习教材古诗文识记专项必修下册(共88页word版)
2026版高考语文一轮总复习教材古诗文识记专项必修上册(共30页word版)
2025-2026版高中化学选择性必修第三册周周测合订本(共187页word版)
2026版高考语文一轮专项第五辑18个文言虚词例释 (共17页word版)
2026版高考语文一轮专项第四辑118+30个文言实词例释(共65页word版)
2026版高考语文一轮专项第二辑40组易混近义成语分析word版
2026版高考语文一轮专项第一辑340个高考常见成语(共32页word版)
2026版高中必刷题鲁科版高中物理必修第三册(共124页pdf版)
2025年版高考真题系列合集
2025年高考真题系列抢先版新高考1卷语文pdf版+部分答案
2025年高考真题系列抢先版新高考2卷语文pdf版+部分答案
高中数学
2024版高考数学新改革新结构19题型试卷(共194份pdf版文件)
2024版高考数学二轮易错提升突破合订本新高考版(共140页word版)
2024版高考试题调研高考数学热点大串讲专项2解答题高分技法
2024版高考数学优质讲义系列一题多解第二辑集合专题合订本(共47页word版)
2024版高考数学热点新情境题型汇编合订本(共105页word版)
2024版高考数学优质讲义系列一题多解第一辑特色专题合订本(共101页word版)
2024版中考数学真题题源解密分类汇编系列(共27个专题54份word版文件)
2024版高考数学重难点拓展延伸题精品合订本(共103页word版)
2024版新改革数学新定义、新概念题专项系列第一辑(共35页word版)
2024版三维设计新教材数学配套教师用书word版(共75份word版)
2024年数学新改革试卷汇编系列精选02(共264页pdf版)
2024版高考数学新改革试卷精编重组卷合订本第一辑(共269页pdf版)
2024版高考解题技巧和答题模板构建系列新高考数学篇(共27个专题54份word版资料)
2024年九省联考+2023年四省联考+2021年八省联考专题汇编数学篇(共63页word版)
2024届高考百天系列冲刺资料数学篇(共28个专题56份word版文件)
2024版高考数学新高考新结构二十一大考点汇总(共104页word版)
2022版高考数学尖子生强基计划精品讲义(共16个专题32份word版文件)
2024版高考数学导数满分攻略极值点偏移篇合订本(共266页pdf版)
2024版世纪金榜【人教A版】(新教材)数学《高中全程学习方略》必修第二册基础版(共125份word)
2024版高考数学真题题源探究与拓展合订本(共106页pdf版)
2024高考新改革适应各省市演练试卷数学篇合集第三辑(共229页pdf版)
2024版高考数学二轮专训系列解析几何合订本(共104页word版)
2024高考新改革适应各省市演练试卷数学篇合集第二辑(共251页pdf版)
2024版世纪金榜【人教A版 】(新教材)数学《高中全程学习方略》必修第二册 提升版教师用书word版(共120份word版)
2022版高考数学尖子生强基计划精品讲义(共16个专题32份word版文件)
2024版步步高大二轮专题复习新高考(基础版)数学(京津琼鲁辽粤冀鄂湘渝闽苏浙黑吉晋皖云)教师用书(共72份word版文件)
2023-2024版高中数学 三角函数中“ω”取值范围7类题型汇总
2024年星光杯初赛暨GMC第三届冬季网络数学竞赛(高中组)一试(A)pdf版
2023-2024版步步高学习笔记人教A版数学必修第二册(京津鲁琼粤渝鄂)教师用书(共69份word版)
2024版高二寒假数学精品讲义(共18份word版)(原卷共154页word版+教师版533页word版)
2024版步步高大二轮专题复习新高考(基础版)数学(京津琼鲁辽粤冀鄂湘渝闽苏浙黑吉晋皖云)教师用书(共72份word版文件)
(可下载)2016-2018年历年高中数学竞赛联赛真题分类汇编(打包14份,含解析)
2022版高考数学尖子生强基计划精品讲义(共16个专题32份word版文件)
2024版步步高大二轮专题复习新高考(基础版)数学(京津琼鲁辽粤冀鄂湘渝闽苏浙黑吉晋皖云)教师用书(共72份word版文件)
2023-2024版步步高学习笔记新人教B版数学选择性必修第三册教师用书word版(共39份word版文件)
2023-2024版步步高学习笔记人教A版数学必修第二册(京津鲁琼粤渝鄂)教师用书(共69份word版)
2024版高考数学满分突破解析几何的常用结论(高分必背)(椭圆、双曲线、抛物线)
2024版试题调研月刊系列数学专项1高考热点大串讲选择题、填空题满分技法
2024版高二寒假数学精品讲义(共18份word版)(原卷共154页word版+教师版533页word版)
2023-2024版步步高学习笔记人教A版数学必修第二册(京津鲁琼粤渝鄂)教师用书(共69份word版)
2011-2020年十年高考数学全国卷123文科合集(含答案解析)(共543页word版)
2024-2025版人教A版数学必修第二册配套学案(共44份word版)
2024版最新高中全科各省市模拟卷资料合集数学篇(共99套word/pdf版)
2024版高考数学数列通项公式二十三大题型汇编(共128页word版)
2024版高考数学25类排列组合常考小题精品讲义(共50页word版)
2024版步步高二轮数学新高考(提高版)(京津琼鲁辽粤冀鄂湘渝闽苏浙黑吉晋皖云豫新甘贵赣桂)教师用书(共79份word版文件)
2024版高考数学外接球、内切球与棱切球精品讲义(共50页word版)
2022-2023学年山东师范大学附属中学高一下学期数学竞赛选拔(初赛)试题(含答案)
2024版步步高大一轮复习讲义新人教B版数学配套教师用书(共101份word版文件)
2024版高考数学二轮三角函数与解三角形突破合订本(共70页word版)
2024版高考数学题型突破解答题合订本(共80页word版)
2024版高考数学填空题题型突破专训合订本(共78页word版)
2024版衡中学案二轮复习系列新高考数学篇(教参750页word版+课件39份+27份word版训练)
2024届高三八省八校第一次学业质量评价(T8联考)数学篇(含答案解析)
2024版世纪金榜二轮复习高考专题辅导与训练新教材新高考数学篇
2023-2024版新人教A版数学高一上学期期末复习敲重点(共47页word版)
2024版高考数学考试易错题(新高考专用)(共30份word版)
2024版数学学业水平测试福建、辽宁、上海、北京、广东、江苏、山东版
2023-2024版人教B版(京鲁辽蒙贵(遵义))数学必修第二册【配套Word版教师用书】(共46份word版)
2024年高中学业水平考试数学真题分类汇编(新教材通用)word 版
2024年高考数学二轮复习专题 极坐标与参数方程(选考内容)
2023-2024版高中期中考试汇编合集数学篇(共24套word/pdf版)
2023版世纪金榜高中全程复习方略数学学生用书新教材新高考(新人教B版)
2024届新高考数学函数与导数特训卷合订本(共57页word版)
2023-2024学年数学人教A版(2019)选择性必修第一册思维突破合订本
2023-2024学年数学人教A版(2019)选择性必修第一册思维突破合订本(共44页word版)
2024版高考试题调研月刊系列数学第4辑高考超重点4解析几何&概率统计(共116页pdf版)
2023-2024届人教A2019版数学必修第一册思维突破合订本(共52页word版)
2024(1.0版)一数必刷100讲(高考数学核心方法)(共443页pdf版)
2023-2024版金考卷单元双测卷新人教A版数学选择性必修第一册pdf版
2023-2024版金考卷单元双测卷新人教A版数学选择性必修第一册
2023届高考数学一轮情景应用题专训数学篇(共59页word版)
2023-2024版金考卷单元双测卷新人教A版数学选择性必修第一册pdf版
2024(1.0版)一数必刷100讲(高考数学核心方法)(共443页pdf版)
2024版2021-2023年三年真题创新精编合订本数学篇(共60页word版)
2024版新高考数学一轮题型滚动练合订本(共181页word版)
2024版五年高考三年模拟A版系列课标版文科数学篇教师用书知识讲解(共146页pdf版)
2024版五年高考三年模拟A版系列课标版文科数学篇教师用书习题训练篇(共480页pdf版)
2024版五年高考三年模拟A版系列课标版理科数学篇教师用书知识讲解(共137页pdf版)
2024版全科真题探究揭秘全国卷数学篇(共97页word版)
2024版五年高考三年模拟A版系列课标版理科数学篇教师用书分层训练(共502页pdf版)
2024版五年高考三年模拟A版系列北京专版数学教师用书习题册(共460页pdf版)
2024版高考试题调研月刊系列数学第2辑高考超重点2三角函数&平面向量(共116页pdf版)
2024版全科真题探究揭秘新高考数学篇(共71页word版)
2024版高考试题调研月刊系列数学第1辑高考超重点1函数与导数
2024版五年高考三年模拟A版系列北京专版数学教师用书讲解册(共133页pdf版)
2023-2024版人教2019数学选择性必修第一册第二册周周测合订本(共96页word版)
2023-2024版步步高学习笔记数学人教A版必修第一册教师用书【配套Word版文档】(共90份word版文件)
2023-2024版人教A2019版数学必修第一册周周测(共88页word版)
2024版高考总复习与名师对话大一轮总复习高效备考方案新教材数学篇
2024版新高考数学解析几何专训合订本(共100页word版)
2024版高中数学、物理、化雪竞赛强化突破训练合订本(均为word版)
2023版作业帮轻松刷系列高考数学53个常考点+139个题型全刷(共200页pdf版)
2024版高中数学、物理、化雪竞赛强化突破训练合订本(均为word版)
2024版高中数学竞赛强化突破训练合订本(共90页word版)
2022版高中数学人教A版旧教材必修+选修教材习题答案(全册pdf版)
2024版高考必刷题合订本新教材版数学篇(共230页pdf版)
2023版作业帮轻松刷系列高考数学53个常考点+139个题型全刷(共200页pdf版)
2024版2019-2023版5年高考真题分类精选系列合订本数学篇(共173页word版)
2024版步步高大一轮数学新教材人教A版 提优版(京津教师用书(共101份word版文件)
2024版2023年高考真题模拟题专项汇编合订本数学篇(共130页word版)
2024版2023年高考真题模拟题专项汇编合订本数学篇(共130页word版)
2023版人教A(2019)版新教材数学教材习题答案(5本全pdf版)
2019版人教A版数学必修+选择性必修教师用书(5本全pdf版)
2021-2023年高考真题全科考点分布系列新高考2卷数学篇
2022版人教A(2019)版新教材选择性必修第一册数学教材习题答案
2021-2023年高考真题全科考点分布系列新高考1卷数学篇
2022版人教A(2019)版新教材必修第二册数学教材习题答案
2022版人教A(2019)版新教材必修第一册数学教材习题答案
2024届高考2023年高考真题卷+模拟卷数学题型汇编(全国版)(共26份word可编辑版)
新人教A版2019版数学教师用书选择性必修第一册(共237页pdf版)
2024版金考卷一轮复习高考考点集训45天新高考数学篇(共70页pdf版)
高中课后习题与变式训练数学新人教A版(2019)必修第一册下辑(共147页word版)
高中课后习题与变式训练数学新人教A版(2019)必修第一册上辑(共55页word版)
2022-2023版新人教A版数学必修第二册课后习题+变式合订本(共345页word版)
2024版步步高大一轮复习讲义人教A版(理)数学(青宁蒙川藏陕)教师用书(共90份word版文件)
2023-2024版高中教材帮北师大版数学选择性必修第一册(共362页pdf版)
2024版步步高大一轮复习讲义新人教B版数学配套教师用书(共101份word版文件)
2023届高考数学导数秒杀系列资料合集(共48份word版)
高中语文
2024版高考语文作文冲刺预测合订本第一辑(共176页word版)
2024版高考语文二轮题型总结加变式训练上海专版(共51个专题102份word版文件)
2024版高考语文二轮易错提升突破合订本新高考版(共114页word版)
2024版高考易错题专项系列新高考语文篇(共36个专题72份word版文件)
2024版高考语文作文高分素材合集(共35份word版文件)
2024版高考语文热点·重点·难点专练(新高考专用(共45个专题90份word版文件)
2024版高考语文作文素材:《南方周末》新年献词汇总(1997-2024)
2023-2024版高中语文人教统编版选择性必修下册学案(共14份word版文件)
备战2024届高考语文2002~2021年20届感动中国人物
2021版高考语文上海一模范文汇编合集(共115页word版)
2022版上海高三一模语文作文范文汇编合集(共79页word版)
2023届上海高三语文一模作文范文(14区)(共66页word版)
2024版高考语文新课标作文六大热点主题写作大合集(共50页word版)
2024版语文高一下学期精品讲义(人教统编版必修下册)(共25份word版)
2024版高考语文信息类文本阅读专训合订本(共280页word版)
2024版高考语文各地高考模拟考作文汇编合订本(共302页word版)
备战2024届高考语文2002~2021年20届感动中国人物
2024版高考语文新课标作文六大热点主题写作大合集(共50页word版)
2024版高考语文信息类文本阅读专训合订本(共280页word版)
2024版语文高一下学期精品讲义(人教统编版必修下册)(共25份word版)
2024版高考语文各地高考模拟考作文汇编合订本(共302页word版)
2024版高考优化设计高考总复习新教材新高考语文篇全能版(共394页pdf版)
2024版高考语文散文阅读通关策略合订本(共28页word版)
2024版高考语文晨读系列10高考语文古代文化常识古代官职篇
2024版最新高中全科各省市模拟卷资料合集语文篇(共117套word/pdf版)
2024新高考语文名句默写60篇过关练(共43页word版)
备战2024届高考语文作文2023年度十大热点人物的素材相关
2024版高考语文二轮专项小说阅读通关合订本(共40页word版)
2023届高考语文作文冲刺热点考点素材(共154页pdf版)
2024高考语文古诗文阅读技巧总结与题目专训合订本(共42页word版)
2024版高考语文323个重点文言实词(共37页word版)
2024版高考语文120个重点文言实词+例句(共73页word版)
2024版高中语文18个文言虚词的用法及其例题(共30页word版)
2024届高三八省八校第一次学业质量评价(T8联考)语文篇(含答案解析)
2024版初中语文古诗词理解性默写汇总(共48页word版)
2024版高考语文作文题型全总结合订本全国通用版(共165页word版)
2021年高考语文各地高考满分作文汇编合集(共106页word版)
2024版高考语文古诗文背诵+情境默写(共59页word版)
2023-2024版高一语文统编版期末知识敲重点(共63页word版)
2024版高考语文满分作文系列2021年满分作文汇编新高考2卷篇
2024年高考语文一轮复习考点帮(共44份word版)(上海专用)
2024届高考语文作文素材小合集(已更新29分word版文件)
2023-2024版高二语文统编版名句名篇默写合订本(共32页word版)
2024版新高考语文古诗文背诵推荐篇目(60篇)(陌生字词注音版)(共41页word版)
2024届高考语文古诗文名句名篇默写每日一练(统编版)(共70分word版文件)
2024版高考试题调研月刊系列语文第4辑高考超重点4现代文阅读(共116页pdf版)
2023-2024届语文人教统编版选择性必修中册思维突破合订本(共53页word版)
2023-2024届语文人教统编版选择性必修上册思维突破合订本(共40页word版)
2024版2021-2023年三年真题创新精编合订本语文篇(共68页word版)
2023-2024版初中全科知识思维导图系列七年级下册语文篇(共31页pdf版)
2024版五年高考三年模拟A版系列山东版语文教师用书分层集训册(共234页pdf版)
2024版五年高考三年模拟A版系列课标版语文教师用书(共319页pdf版)
2023年中考语文挑战满分全优卷合订本(共110页word版)
2024版高考试题调研月刊系列语文第2辑高考超重点2文言文阅读(共116页pdf版)
2024版五年高考三年模拟A版系列北京专版语文教师用书(共294页pdf版)
备战2024届中考2023年中考真题分类汇编系列语文篇(共164页word版)
2024版全科真题探究揭秘全国卷语文篇(共85页word版)
备战2024年高考语文古代文化常识ppt课件合集(共32份ppt文件)
2024版全科真题探究揭秘新高考语文篇(共90页word版)
2024版高考试题调研月刊系列语文第1辑高考超重点1语用新题型(共116页pdf版)
2022-2024届高考高中语文各省市开学考试试卷汇总合集(共254套试卷)
2024届新高考语文一轮复习古代汉语知识强基专训合集(共40页word版)
2024版高考试题调研月刊系列语文第2辑高考超重点2文言文阅读(共116页pdf版)
备战2024年高考 2023年全国各省市语文试卷高考语文作文优秀范文合集(共40份word版文件)
2024版试题调研高考题型全练语文篇基础过关题型(共206页pdf版)
2024版高考考点突破精编训练卷语文篇合订本(通用版)(共141页word版)
2024版2019-2023版5年高考真题分类精选系列合订本语文篇(共124页word版)
2024版试题调研高考题型全练语文篇高分进阶题型(共196页pdf版)
2024版试题调研高考题型全练语文篇基础过关题型(共206页pdf版)
2023版高考必刷题专题专研系列语文3古诗文阅读(共172页pdf版)
2024版2023年高考真题模拟题专项汇编合订本语文篇(共110页word版)
2021-2023年高考真题全科考点分布系列新高考2卷语文篇
2021-2023年高考真题全科考点分布系列新高考1卷语文篇
2023-2024版高考语文二轮讲练重点合集(共21份word+ppt)
2023-2024版中考语文知识梳理汇编合订本(共112页word版)
2023届高考语文作文冲刺热点考点素材(共154页pdf版)
高中英语
2023-2024版高二英语牛津译林版(2020)选择性必修第三、四册周周测合订本(共121页word版)
2024版高考地理总复习新教材版第五辑区域地理(共59页word版)
2024版高考英语二轮易错提升突破合订本新高考版(共122页word版)
2024版600分考点700分考法高考英语篇高频词汇清单(共92页pdf版)
2024版高中英语人教版(2019)选择性必修三派生单词汇总及配套语法填空单句练习
2024版高中英语人教版(2019)选择性必修四派生单词汇总及配套语法填空单句练习
2024版高中英语新人教版(2019) 必修一 单词(按单元顺序)默写版
2024版高中英语外研版(2019)全7册打你短语汉译英默写本(共46页word版)
2024版中考英语写作提分秘籍(共18个专题36份word版文件)
2024版高考英语重点时态语态满分突破攻略合订本(共70页word版)
2023-2024版高中英语译林版(2020)选择性必修第四册课文译文
2024版高考英语语法词汇专项训练合集(已更新42个专题80份word版文件)
2024版高考英语总复习新人教新教材合订本(共444页word版)
2024版高考英语语法专项满分突破系列合订本(共90页word版)
2024年九省联考+2023年四省联考+2021年八省联考专题汇编英语篇(共61页word版)
2024版高考英语写作部分满分通关攻略第三辑押题系列一(共131页word版)
2024版高考英语写作部分满分通关攻略第二辑读后续写(共328页word版)
2024版高考英语写作部分满分通关攻略第一辑应用文写作(共172页word版)
2024版高考英语冲刺晨背手册人教版(共229页word版)2024版高考英语应用文写作题型高分突破合订本(共234页word版)
2024版思维导图突破高中英语语法系列专训合订本(共135页word版)
2024版九省联考英语对点变式专训平行练合订本(共234页word版)
2024版高考英语读后续写培优专项第一辑(共167页word版)
2024版高考英语阅读理解问题类型与解题技巧(共61页word版)
2024届名校区域大联考英语试题精选集锦(已更新76份word版文件)
2024版高考英语词汇3500词默写背诵版(共48页word版)
2024版中考英语100篇满分作文精讲(附万能句子)(共125页word版)
2024版高考英语读后续写题型高分突破合订本(共134页word版)
2024版高考英语应用文写作题型高分突破合订本(共234页word版)
2024版高考英语读后续写培优专项第一辑(共167页word版)
2024版高考英语3500词高频单词默写合订本(共133页word版)
2024版高考英语热点重点难点精品讲义合集(共76份word版文件)
2024版高考英语写作系列满分范文第二辑(共35页word版)
2024版高考英语写作系列满分范文第一辑(共65页word版)
2024版广东省初中学业水平考试英语词汇表6轮循环(共69页word版)
2024版中考英语时态问题突破训练合订本(共40页word版)
2024版高考英语3500词高频单词默写合订本(共133页word版)
2024版高考英语50篇语法填空记高考3500词(共37页word版)
2024版高考英语读后续写提优精品讲义系列01故事开端的设置
2024版高考英语词汇3500词—带音标(共54页word版)
2024版高考英语3500词高频单词默写合订本(共133页word版)
2024高考英语提纲作文满分突破合订本(共63页word版)
2024版最新高中全科各省市模拟卷资料合集英语篇(共130套word/pdf版)
2024版高考英语写作部分背诵素材应用文(共55页word版)
2023-2024学年新人教高中英语语境记单词(共60页word版)
备战2024年高考2019-2023年五年高考英语满分作文汇编北京卷
2024年1月浙江普通高等学校招生全国统一考试英语word版含听力
2024版高中英语新高考3000词汇合集(共113页word版)
2024版高考英语二轮七选五题型突破合订本(共100页word版)
2024版高考英语语法填空题型突破合订本(共90页word版)
2024版高考英语题型突破完形填空合订本(共170页word版)
2024版高考英语书面表达题型突破合订本(共50页word版)
2024版高考英语读后续写题型突破合订本(共79页word版)
2023-2024版高一英语人教2019版必修第二册名师期末敲重点(共50页word版)
2024版高考英语二轮题型突破阅读理解篇(共86页word版)
2023-2024版高一英语人教2019版必修第一册名师期末敲重点(共45页word版)
2024届高三八省八校第一次学业质量评价(T8联考)英语篇(含答案解析)
备战2024年中考2023年中考英语满分作文汇编(共75页word版)
2013-2019年高考英语全国卷I、II、III 满分范文汇总
2024版高考英语255个句子囊括高中80%的单词和全部语法
2024版高考英语百天分级突破高考词汇(默写手册) (共139页pdf版)
2023-2024版鲁教版九年级英语周训合订本(共64页word版)
2024版高考英语一轮核心词汇名词冠词考点梳理+题型练ISO讲义
2024高考英语考纲24个语法讲解背诵版07副词(比较级和最高级)
2024版高考英语考纲24个英语语法讲解背诵版04介词和介词短语
2023-2024学年高一英语人教版(2019)必修第一册词汇专项合订本
2023-2024学年英语牛津译林版(2020)选择性必修第二册思维突破合订本(共58页word版)
2023-2024版高中期中考试汇编合集英语篇(共23套word/pdf版)
2023版世纪金榜高中全程复习方略新高考英语核心知识自查学案
2023-2024学年英语牛津译林版(2020)必修第二册思维突破合订本(共66页word版)
2023-2024版高中英语重点短语考前积累(共28份word版)
2023-2024学年高一英语人教版(2019)必修第二册词汇专项合订本(共27页word版)
2023-2024学年人教版英语九年级全册翻译专项训练合订本(共40页word版)
2024版高考试题调研月刊系列英语第4辑高考超重点4阅读理解(共116页pdf版)
2023-2024届外研2019版英语必修第二册思维突破合订本(共68页word版)
2023-2024学年英语牛津译林版(2020)必修第二册思维突破合订本(共66页word版)
2023-2024届人教2019版英语必修第二册思维突破合订本(共57页word版)
2023-2024届人教2019版英语必修第一册思维突破合订本(共68页word版)
2023-2024届外研2019版英语必修第一册思维突破合订本(共76页word版)
备战2024年高考2023届新高考英语读后续写百题百练合订本(共155页word版)
2023-2024版北师大2019版英语选择性必修第二册分层练合订本(共74页word版)
2023-2024版北师大版2019英语必修第一册第二册周周测合订本(共259页word版)
2024版2021-2023年三年真题创新精编合订本英语篇(共128页word版)
备战2024年高考2019-2023年全国各省市五年真题分类训练英语篇(共240页pdf版)
2024版600分考点700分考法高考英语篇高频词汇清单(共92页pdf版)
2024版新高考英语一轮题型滚动练合订本(共174页word版)
2024届高考英语一轮专训系列介词合订本(共66页word版)
2023-2024版北师大版2019英语选择性必修第一册第二册周周测合订本(共262页word版)
2023-2024版人教2019英语选择性必修第一册第二册周周测合订本(共257页word版)
2024版全科真题探究揭秘全国卷英语篇(共95页word版)
2024版全科真题探究揭秘新高考英语篇(共107页word版)
2024版高考试题调研月刊系列英语第2辑高考超重点2语法填空(共116页pdf版)
2024 版高考英语林荫漫步晨背 48 天合订本全国通用版 (共130页word版)
2024版高考英语新+旧高考通用语法满分突破合订本(共89页word版)
2023版作业帮轻松刷系列高考英语高考常考点+六大题型全刷(共194页pdf版)
2024版2023年高考真题模拟题专项汇编合订本英语篇(共261页word版)
2023-2024版创新设计北师大版英语必修第一册配套ppt课件(共27份ppt文件)
2021-2023年高考真题全科考点分布系列新高考2卷英语篇
2024版2023年高考真题模拟题专项汇编合订本英语篇(共261页word版)
2024版2019-2023版5年高考真题分类精选系列合订本英语篇(共104页word版)
2024届高考英语一轮专训系列冠词合订本(共48页word版)
2024版金版新学案高考总复习译林版英语配套课下语基检测卷(共28份word版文件)
2022-2023版解透教材北师大版英语必修第二册(共310页pdf版)
2024版金版新学案高考总复习译林版英语配套课件(共28份ppt文件)
2024版金版新学案高考总复习大一轮复习讲义译林版英语学生用书(共310页pdf版)
2023届高考英语考前冲刺知识梳理合订本(共256页word版)
2023届高考英语40分钟阅读提分练合订本(共82页word版)
高中物理
2024版高二物理人教2019版选择性必修第二、第三册周周测合订本(共150页word版)
2024版高考物理高考考前冲刺必背88条规律与结论(共52页word版)
2024版步步高大二轮专题复习讲义物理教师用书(共70份word版文件)
2024版高考物理二轮易错提升突破合订本新高考版(共83页word版)
2023-2024版人教(2019)版物理必修第二册周周测合订本(共76页word版)
2024版高考必刷卷42套模拟卷汇编新高考版黑吉辽专版物理篇
2024版高考必刷卷42套模拟卷汇编新高考版黑吉辽专版物理篇模型解题法
备战2024年高考物理必考实验讲练(共19个专题38份word版文件)
2024版人教版物理选择性必修第一册教材课后习题原题+变式(共31份word版文件)
2024年九省联考+2023年四省联考+2021年八省联考专题汇编物理篇(共84页word版)
2024版高考全科易错题系列物理篇(共15个专题30份word版文件)
2024版高中物理选择题题型概述及思维模板(共64页word版)
2024高考物理二轮复习模型最新模拟题专项(共85个专题170份word版)
2024版物理教师试题教案编辑专用力学图库(共14页word版)
2024版高中物理10大难点高分突破(共140页word版)
2024版高考物理二轮突破含二级结论合订本(共83页pdf版)
2024版高考物理截图模型合集(已更新21个专题42份word版文件)
2024版高考物理题型突破合订本图像题篇(共265页word版)
2024版高考物理截图模型合集(已更新21个专题42份word版文件)
2024版高考物理题型突破合订本图像题篇(共265页word版)
2024版高中物理竞赛通版课件(共101份ppt+1份pdf版文件)
2024年高考物理实验3年真题1年模拟汇编合集(共22个专题44份word版)
2024版高考物理二轮电磁学选择题突破合订本(共57页word版)
2024版高考物理二轮电学实验专题突破合订本(共108页word版)
2024版高考物理二轮模型最新模拟题专训合集(共160份word版文件)
2024版高考物理二轮力学选择题突破合订本(共59页word版)
选购资料,或者办理会员+VX

敬请关注!














| 2025年版全科全版本高考真题持续更新,第一阶段:首发pdf版、图片版,第二阶段:推出精编pdf版,第三阶段:高清精编word版第四阶段:高清精编解析版、第五阶段:满分作文、真题好题解读第六阶段:继续推出一年真题分类汇编系列、3年真题分类汇编系列、5年真题分类汇编系列、10年真题分类汇编系列等等各类型高考真题系列资料以及最新2026版资料持续推出。欢迎各位老师、家长、同学关注! |

END
声明:本公众号部分内容源于网络以及老师投稿,转载请联系原出处。墨小趣资料库尊重版权,如有侵权问题,请及时与管理员联系处理。
公众号所有资料均可直接自主保存为word版
方法如下:2024版最新公众号文章快速保存为word版攻略(快快收藏转发!!!)


扫描二维码
添加小趣微信
咨询获取资料


郭德纲
非著名相声演员
请星标我们:为方便家人们能够及时查阅和保存公众号内容,请家人们阅读后,及时在文末右下角点击“在看”或者“星标”我们,这样公众号文章才会第一时间呈现在您多订阅列表---关注我们,不迷路!!!
点亮
,告诉大家你也在看 
夜雨聆风