当前位置:首页>文档>精品解析:广东省广州市广东省实验中学2024--2025学年九年级数学上学期期中考试卷(原卷版)_广州九上月考+期中+期末+一模二模+中考真题_2024年秋九年级上学期期中考试试卷和答案解析

精品解析:广东省广州市广东省实验中学2024--2025学年九年级数学上学期期中考试卷(原卷版)_广州九上月考+期中+期末+一模二模+中考真题_2024年秋九年级上学期期中考试试卷和答案解析

  • 2026-04-03 14:46:22 2026-02-03 16:06:41

文档预览

精品解析:广东省广州市广东省实验中学2024--2025学年九年级数学上学期期中考试卷(原卷版)_广州九上月考+期中+期末+一模二模+中考真题_2024年秋九年级上学期期中考试试卷和答案解析
精品解析:广东省广州市广东省实验中学2024--2025学年九年级数学上学期期中考试卷(原卷版)_广州九上月考+期中+期末+一模二模+中考真题_2024年秋九年级上学期期中考试试卷和答案解析
精品解析:广东省广州市广东省实验中学2024--2025学年九年级数学上学期期中考试卷(原卷版)_广州九上月考+期中+期末+一模二模+中考真题_2024年秋九年级上学期期中考试试卷和答案解析
精品解析:广东省广州市广东省实验中学2024--2025学年九年级数学上学期期中考试卷(原卷版)_广州九上月考+期中+期末+一模二模+中考真题_2024年秋九年级上学期期中考试试卷和答案解析
精品解析:广东省广州市广东省实验中学2024--2025学年九年级数学上学期期中考试卷(原卷版)_广州九上月考+期中+期末+一模二模+中考真题_2024年秋九年级上学期期中考试试卷和答案解析
精品解析:广东省广州市广东省实验中学2024--2025学年九年级数学上学期期中考试卷(原卷版)_广州九上月考+期中+期末+一模二模+中考真题_2024年秋九年级上学期期中考试试卷和答案解析
精品解析:广东省广州市广东省实验中学2024--2025学年九年级数学上学期期中考试卷(原卷版)_广州九上月考+期中+期末+一模二模+中考真题_2024年秋九年级上学期期中考试试卷和答案解析
精品解析:广东省广州市广东省实验中学2024--2025学年九年级数学上学期期中考试卷(原卷版)_广州九上月考+期中+期末+一模二模+中考真题_2024年秋九年级上学期期中考试试卷和答案解析
精品解析:广东省广州市广东省实验中学2024--2025学年九年级数学上学期期中考试卷(原卷版)_广州九上月考+期中+期末+一模二模+中考真题_2024年秋九年级上学期期中考试试卷和答案解析
精品解析:广东省广州市广东省实验中学2024--2025学年九年级数学上学期期中考试卷(原卷版)_广州九上月考+期中+期末+一模二模+中考真题_2024年秋九年级上学期期中考试试卷和答案解析
精品解析:广东省广州市广东省实验中学2024--2025学年九年级数学上学期期中考试卷(原卷版)_广州九上月考+期中+期末+一模二模+中考真题_2024年秋九年级上学期期中考试试卷和答案解析
精品解析:广东省广州市广东省实验中学2024--2025学年九年级数学上学期期中考试卷(原卷版)_广州九上月考+期中+期末+一模二模+中考真题_2024年秋九年级上学期期中考试试卷和答案解析

文档信息

文档格式
docx
文档大小
1.636 MB
文档页数
8 页
上传时间
2026-02-03 16:06:41

文档内容

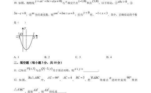
广东实验中学教育集团 2024-2025 学年第一学期教学质量监测 九年级数学 注意事项: 1.本试卷共4页,25小题,满分120分,不允许使用计算器; 2.选择题使用2B铅笔填涂,非选择题必须用黑色字迹钢笔或签字笔在指定区域内作答,不 允许使用涂改液,否则作答无效. 一、选择题(每小题3分,共30分) 1. 下列图形中,是中心对称图形的是( ) A. B. C. D. 2. 用配方法解方程 ,下列配方正确的是( ) A. B. C. D. 3. 方程 的根是( ) A. 9 B. 1 C. 9或1 D. 4或5 4. 把抛物线 的图象向左平移2个单位,再向上平移3个单位,所得的抛物线的函数关系式是 ( ) A. B. C. D. 的 5. 关于二次函数 ,下列说法错误 是( ) A. 图象的开口方向向上 B. 函数的最小值为 C. 图象的顶点坐标为 D. 当 时, 随 的增大而减小 6. 如图,在 ABC中,以C为中心,将 ABC顺时针旋转34°得到 DEC,边ED,AC相交于点F,若∠A 第1页/共8页 △ △ △ 学科网(北京)股份有限公司=30°,则∠EFC的度数为( ) A. 60° B. 64° C. 66° D. 68° 7. 如图,点A、B、C、D在 上, ,那么 是( ) A. B. C. D. 8. 二次函数 与一次函数 在同一坐标系中的图象大致为( ) A. B. C. D. 9. 如图, 是 的直径, 是 的切线,切点为D, 与 的延长线交于点C,若 ,则 的长度为( ) 第2页/共8页 学科网(北京)股份有限公司A. B. C. D. 10. 如图,抛物线 与 轴交于点 和点 ,以下结论:① ;② ;③ 为任意实数,则 ;④当 时, .其中,正确结论的个数 是( ) A. 1 B. 2 C. 3 D. 4 二、填空题(每小题3分,共18分) 11. 已知点 与点 关于原点对称,则 ___________. 12. 如图, 中, , , ,把 绕着点 逆时针旋转 得到 ,连接 ,则 的长是______. 第3页/共8页 学科网(北京)股份有限公司13. 若 是方程 的解,则代数式 的值为______. 14. 如图, 分别切 于A、B, ,C是劣弧 上的点(不与点A、B重合),过点 C的切线分别交 于点E、F.则 的周长为_______ . 15. 已知点 , , 都在二次函数 (a是常数,且 )的 图象上,则 , , 的大小关系(用“ ”连接)是______. 16. 如图,已知 , , , ,点 在 所在直线上运动,以 为边作等边三角形 .在点 运动过程中, 的最小值_____. 三、解答题(共9题,共72分) 17. 解方程: (1) ; (2) . 的 18. 如图:在平面直角坐标系中,网格中每一个小正方形 边长为1个单位长度,已知 . 第4页/共8页 学科网(北京)股份有限公司(1)作出 以O为旋转中心,顺时针旋转 的 (只画出图形). 的 (2)请在y轴上找一点P,使 值最小,并直接写出点P的坐标. 19. 如图, 中,弦 , 相交于点 , . (1)比较 与 的长度,并证明你的结论; (2)求证: . 20. 如图,二次函数 的图象与x轴交于点A,B(A在B的左侧),与一次函数 的图象交于A,C两点. (1)求b的值; 第5页/共8页 学科网(北京)股份有限公司(2)求 的面积; (3)根据图象,直接写出当 时x的取值范围. 21. 已知关于x 的一元二次方程 . (1)求证:方程有两个不相等的实数根; (2)如果方程的两实根为 、 ,且 ,求 的值. 22. 如图, 是 的直径, 是 延长线上的一点,点 在 上, ,交 的延长线 于点 , 交 于点 ,且点 是 的中点. (1)求证: 是 的切线; (2)若 , ,求 的半径. 23. 如图1所示是一座古桥,桥拱截面为抛物线,如图2, , 是桥墩,桥的跨径 为 ,此时 水位在 处,桥拱最高点 离水面6m,在水面以上的桥墩 , 都为 .以 所在的直线为x 轴、 所在的直线为y轴建立平面直角坐标系,其中 是桥拱截面上一点距桥墩 的水平距离, 是桥拱截面上一点距水面 的距离. 第6页/共8页 学科网(北京)股份有限公司的 (1)求此桥拱截面所在抛物线 表达式; (2)有一艘游船,其左右两边缘最宽处有一个长方体形状的遮阳棚,此船正对着桥洞在河中航行.当水 位上涨 时,水面到棚顶的高度为 ,遮阳棚宽 ,问此船能否通过桥洞?请说明理由, 24. 【问题提出】如图1,在 中, , , 是等边三角形,点 在 边 上,探究 与 的数量关系. 【问题探究】(1)先将问题特殊化,如图1,当点E在边 上时,猜想 和 数量关系,并加以证 明; (2)再探究一般情形,如图2,当点E在 内部时,证明(1)中的结论仍然成立. 【问题拓展】(3)如图3,当点E在 外部时, 于点H,过点E作 ,交线段 的延长线于点G, , .直接写出 的长. 25. 如图,在平面直角坐标系中,抛物线 交 轴于 , 两点(点 在点 的左 边),交 轴负半轴于点 . 第7页/共8页 学科网(北京)股份有限公司(1)如图1, , ①直接写出 , , 三点的坐标; ②抛物线上存在点 ,使得 ,直接写出 点的坐标; (2)如图2,设经过 , , 三点的 交 轴于另外一点 , ,经过点 的直线 交抛物线于 , 两点,若 的长等于 的直径长,求 的值. 第8页/共8页 学科网(北京)股份有限公司