当前位置:首页>文档>2005年数学二解析_数学二真题+解析[87-25]_数学二解析

2005年数学二解析_数学二真题+解析[87-25]_数学二解析

  • 2026-04-10 09:06:51 2026-02-04 17:57:19

文档预览

2005年数学二解析_数学二真题+解析[87-25]_数学二解析
2005年数学二解析_数学二真题+解析[87-25]_数学二解析
2005年数学二解析_数学二真题+解析[87-25]_数学二解析
2005年数学二解析_数学二真题+解析[87-25]_数学二解析
2005年数学二解析_数学二真题+解析[87-25]_数学二解析
2005年数学二解析_数学二真题+解析[87-25]_数学二解析
2005年数学二解析_数学二真题+解析[87-25]_数学二解析
2005年数学二解析_数学二真题+解析[87-25]_数学二解析
2005年数学二解析_数学二真题+解析[87-25]_数学二解析
2005年数学二解析_数学二真题+解析[87-25]_数学二解析
2005年数学二解析_数学二真题+解析[87-25]_数学二解析
2005年数学二解析_数学二真题+解析[87-25]_数学二解析
2005年数学二解析_数学二真题+解析[87-25]_数学二解析
2005年数学二解析_数学二真题+解析[87-25]_数学二解析
2005年数学二解析_数学二真题+解析[87-25]_数学二解析
2005年数学二解析_数学二真题+解析[87-25]_数学二解析
2005年数学二解析_数学二真题+解析[87-25]_数学二解析
2005年数学二解析_数学二真题+解析[87-25]_数学二解析
2005年数学二解析_数学二真题+解析[87-25]_数学二解析
2005年数学二解析_数学二真题+解析[87-25]_数学二解析
2005年数学二解析_数学二真题+解析[87-25]_数学二解析
2005年数学二解析_数学二真题+解析[87-25]_数学二解析

文档信息

文档格式
pdf
文档大小
0.362 MB
文档页数
18 页
上传时间
2026-02-04 17:57:19

文档内容

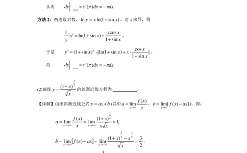
更多考研资料分享+qq810958634 2005 年全国硕士研究生入学统一考试数学二试题解析 一、填空题 (1)【详解】先求出函数的导数,再求函数在某点的微分. 方法1:利用恒等变形得y =(1+sinx)x=exln(1+sinx),于是 cosx y′=exln(1+sinx) ⋅[ln(1+sinx)+ x⋅ ], 1+sinx 从而 dy =y′(π)dx = −πdx. x=π 方法2:两边取对数,ln y = xln(1+sinx),对x求导,得 1 xcosx y′=ln(1+sinx)+ , y 1+sinx cosx 于是 y′=(1+sinx)x ⋅[ln(1+sinx)+ x⋅ ], 1+sinx 故 dy =y′(π)dx = −πdx. x=π 3 (1+ x)2 (2)曲线y = 的斜渐近线方程为___________. x f(x) 【详解】由求斜渐近线公式y =ax+b(其中a=lim ,b=lim[f(x)−ax]),得: x→∞ x x→∞ 3 f(x) (1+x)2 a= lim = lim =1, x→+∞ x x→+∞ x x 3 3 (1+ x)2 −x2 3 [ ] b = lim f(x)−ax = lim = , x→+∞ x→+∞ x 2 3 于是所求斜渐近线方程为y = x+ . 2 (3)【详解】通过还原变换求定积分 π 方法1:令x =sint (01时,|x|3= n|x|3n < n1+|x|3n ≤ n 2|x|3n = n 2|x|3,命n→∞取极限,得 1 1 limn 2|x|3n =|x|3,由夹逼准则得 f(x)=lim|x|3 ( +1)n =|x|3. n→∞ n→∞ |x|3n 更多考研资料分享+qq810958634更多考研资料分享+qq810958634 1, |x|<1  所以 f(x)=  x3 , |x|≥1 再讨论 f(x)的不可导点. 按导数定义,易知x=±1处 f(x)不可导,故应选(C). (8)【答案】A 【详解】 方法1:应用函数奇偶性的定义判定, x 函数 f(x)的任一原函数可表示为F(x) = ∫ f(t)dt +C,且F′(x) = f(x). 0 当 F(x) 为偶函数时,有 F(−x) = F(x) ,于是 F′(−x)⋅(−1) = F′(x) ,即 − f(−x) = f(x),亦即 f(−x) = −f(x),可见 f(x)为奇函数; −x 反过来,若 f(x)为奇函数,则F(−x)=∫ f(t)dt+C,令t =−k ,则有dt =−dk, 0 −x x x 所以 F(−x)=∫ f(t)dt+C =−∫ f(−k)dk+C =∫ f(k)dk+C = F(x), 0 0 0 x 从而 F(x) = ∫ f(t)dt +C 为偶函数,可见(A)为正确选项. 0 方法2:排除法, 令 f(x)=1, 则取F(x)= x+1, 排除(B)、(C); 1 令 f(x)= x, 则取F(x)= x2, 排除(D); 2 (9)【答案】A 【详解】当x=3时,有t2 +2t =3,得t =1,t =−3(舍去,此时y无意义), 1 2 dy 1 dy dt 1+t 1 曲线y = y(x)的导数为 = = = , dx dx 2t+2 2(t+1)2 dt 1 所以曲线y = y(x)在x=3(即t =1)处的切线斜率为 8 于是在该处的法线的斜率为−8, 所以过点(3,ln2)的法线方程为 y−ln2 = −8(x−3), 1 令y=0, 得其与x轴交点的横坐标为: ln2+3, 故应(A). 8 (10)【答案】D 更多考研资料分享+qq810958634更多考研资料分享+qq810958634 【详解】由于积分区域D是关于y = x对称的, 所以x与 y互换后积分值不变, 所以有 a f(x) +b f(y) a f(y) +b f(x) ∫∫ dσ= ∫∫ dσ f(x) + f(y) f(y) + f(x) D D 1 a f(x)+b f(y) a f(y)+b f(x) = ∫∫[ + ]dσ 2 f(x)+ f(y) f(y)+ f(x) D a+b a+b 1 a+b = ∫∫dσ= ⋅ ⋅π⋅22 = π. 应选(D). 2 2 4 2 D (11)【答案】B ∂u 【详解】因为 =ϕ′(x+ y)+ϕ′(x− y)+ψ(x+ y)−ψ(x− y), ∂x ∂u =ϕ′(x+ y)−ϕ′(x− y)+ψ(x+ y)+ψ(x− y), ∂y ∂2u 于是 =ϕ′′(x+ y)+ϕ′′(x− y)+ψ′(x+ y)−ψ′(x− y), ∂x2 ∂2u =ϕ′′(x+ y)−ϕ′′(x− y)+ψ′(x+ y)+ψ′(x− y), ∂x∂y ∂2u =ϕ′′(x+ y)+ϕ′′(x− y)+ψ′(x+ y)−ψ′(x− y), ∂y2 ∂2u ∂2u 可见有 = ,应选(B). ∂x2 ∂y2 (12)【答案】D 【详解】由于函数 f(x)在x=0,x=1点处无定义,因此是间断点. 且 lim f(x) =∞,所以x=0为第二类间断点; x→0 lim f(x) =0,lim f(x) = −1,所以x=1为第一类间断点,故应选(D). x→1+ x→1− (13)【答案】B 【详解】 方法1:利用线性无关的定义 α,α 分别是特征值λ,λ对应的特征向量,根据特征值、特征向量的定义,有 1 2 1 2 更多考研资料分享+qq810958634更多考研资料分享+qq810958634 Aα =λα,Aα =λα ⇒ A(α +α)=λα +λα. 1 1 1 2 2 2 1 2 1 1 2 2 设有数k ,k ,使得kα +k A(α +α ) =0,则 1 2 1 1 2 1 2 kα +k λα +k λα =0 ⇒(k +k λ)α +k λα =0. 1 1 2 1 1 2 2 2 1 2 1 1 2 2 2 因λ≠λ,因不同特征值对应的特征向量必线性无关,故α,α 线性无关,则 1 2 1 2 k +k λ =0, 1 2 1   k λ =0. 2 2 1 λ 当 1 =λ ≠0时,方程只有零解,则k =0,k =0,此时α,A(α +α )线性 0 λ 2 1 2 1 1 2 2 无关;反过来,若α , A(α +α ) 线性无关,则必然有λ ≠ 0(否则,α 与 1 1 2 2 1 A(α +α )=λα线性相关),故应选(B). 1 2 1 1 方法2:将向量组的表出关系表示成矩阵形式 α,α 分别是特征值λ,λ对应的特征向量,根据特征值、特征向量的定义,有 1 2 1 2 Aα =λα,Aα =λα ⇒ A(α +α)=λα +λα. 1 1 1 2 2 2 1 2 1 1 2 2 1 λ 由于 (α,A(α +α) )=(α,λα +λα )=(α,α )  1 , 1 1 2 1 1 1 2 2 1 2 0 λ  2 因λ≠λ,因不同特征值对应的特征向量必线性无关,知α,α 线性无关. 若α, 1 2 1 2 1 A(α +α )线性无关,则r (α,A(α +α) )=2,则 1 2 1 1 2  1 λ  1 λ 1 λ 2=r (α,α )  1 ≤minr (α,α ) ,r 1 ≤r 1 ≤2,  1 2 0 λ   1 2 0 λ  0 λ  2 2 2 1 λ 1 λ 1 λ 故2≤r 1 ≤2,从而r 1 =2,从而 1 =λ ≠0 0 λ  0 λ  0 λ 2 2 2 2 1 λ 1 λ 若 1 =λ ≠0,则r 1 =2,又α,α 线性无关,则 0 λ 2 0 λ  1 2 2 2  1 λ 1 λ r (α,α )  1 =r 1 =2,  1 2 0 λ  0 λ  2 2 则 更多考研资料分享+qq810958634更多考研资料分享+qq810958634  1 λ r (α,A(α +α) )=r (α,α )  1 =2 1 1 2  1 2 0 λ  2 1 λ 从而α,A(α +α )线性无关的充要条件是 1 =λ ≠ 0.故应选(B). 1 1 2 0 λ 2 2 方法3:利用矩阵的秩 α,α 分别是特征值λ,λ对应的特征向量,根据特征值、特征向量的定义,有 1 2 1 2 Aα =λα,Aα =λα ⇒ A(α +α)=λα +λα. 1 1 1 2 2 2 1 2 1 1 2 2 因λ≠λ ,因不同特征值对应的特征向量必线性无关,故α,α 线性无关,又 1 2 1 2 A(α +α)=λα +λα ,故α,A(α +α )线性无关⇔ r(α,A(α +α))=2 1 2 1 1 2 2 1 1 2 1 1 2 又因为 (α,λα +λα ) 将α1 的-λ1 倍 = 加到第2列 (α,λα ) 1 1 1 2 2 1 2 2 则r(α,λα +λα)=r(α,λα)=2⇔λ ≠0(若λ =0,与r(α,λα)=2矛盾) 1 1 1 2 2 1 2 2 2 2 1 2 2 方法4:利用线性齐次方程组 α,α 分别是特征值λ,λ对应的特征向量,根据特征值、特征向量的定义,有 1 2 1 2 Aα =λα,Aα =λα ⇒ A(α +α)=λα +λα. 1 1 1 2 2 2 1 2 1 1 2 2 由λ≠λ,因不同特征值对应的特征向量必线性无关,故α,α 线性无关, 1 2 1 2 α,A(α +α)线性无关 1 1 2 ⇔α,λα +λα 线性无关 1 1 1 2 2 ⇔ α,λα +λα ≠0, 1 1 1 2 2 1 λ ⇔ (α,λα +λα ) X =0只有零解,又(α,λα +λα )=(α,α )  1  1 1 1 2 2 1 1 1 2 2 1 2 0 λ  2 1 λx  ⇔ (α,α )  1  1 =0只有零解 1 2 0 λ x  2 2 1 λx  ⇔α,α 线性无关时(α,α ) Y =0只有零解,故Y = 1  1 =0,只有零解, 1 2 1 2 0 λ x  2 2 1 λx  ⇔ Y = 1  1 =0的系数矩阵是个可逆矩阵, 0 λ x  2 2 更多考研资料分享+qq810958634更多考研资料分享+qq810958634 1 λ ⇔ 1 =λ ≠0,故应选(B) 0 λ 2 2 方法5:由λ≠λ,α,α 线性无关 1 2 1 2 α,α 分别是特征值λ,λ对应的特征向量,根据特征值、特征向量的定义,有 1 2 1 2 Aα =λα,Aα =λα ⇒ A(α +α)=λα +λα. 1 1 1 2 2 2 1 2 1 1 2 2 向量组( I ) :α,α 和向量组( II ) :α,A(α +α)=λα +λα . 显然向量组( II )可 1 2 1 1 2 1 1 2 2 以由向量组( I )线性表出;当λ ≠0时,不论λ的取值如何,向量组( I )可以由向量组 2 1 ( II )线性表出 λ 1 λ 1 α =α,α =(− 1α)+ (λα +λα)=− 1 ⋅α + A(α +α), 1 1 2 λ 1 λ 1 1 2 2 λ 1 λ 1 2 2 2 2 2 从而( I ),( II )是等价向量组⇒当λ ≠0时,r (α,α )=r (α,λα +λα )=2 2 1 2 1 1 1 2 2 (14)【答案】(C) 【详解】 方法 1:由题设,存在初等矩阵E (交换n阶单位矩阵的第 1 行与第 2 行所得),使得 12 E A= B,(A进行行变换,故A左乘初等矩阵),于是 B* =(E A)* = A*E* , 12 12 12 E * 又初等矩阵都是可逆的,故 E −1 = 12 , 12 E 12 又 E =− E =−1(行列式的两行互换,行列式反号),E −1 = E ,故 12 12 12 B* = A*E* = A* E ⋅E −1 =−A*E −1 =−A*E , 12 12 12 12 12 即A*E = −B*,可见应选(C). 12 方法2:交换A的第一行与第二行得B,即B= E A. 12 又因为A是可逆阵, E =− E =−1,故 B = E A = E A =− A ≠0, 12 12 12 所以B可逆,且B−1 =(E A)−1 = A−1E . 12 12 更多考研资料分享+qq810958634更多考研资料分享+qq810958634 A∗ B∗ B∗ A∗ 又A−1 = ,B−1 = ,故 = E ,又因 B =− A ,故A*E = −B*. A B B A 12 12 三、解答题 (15)【详解】 作积分变量代换,命x−t =u,则 x 0 x ∫ f(x−t)dt =∫ f(u)(−du)=∫ f(u)du, 0 x 0 于是 ∫ x (x−t)f(t)dt x∫ x f(t)dt−∫ x tf(t)dt 洛必达法则 ∫ x f(t)dt+xf(x)−xf(x) lim 0 =lim 0 0 = lim 0 x→0 x∫ x f(x−t)dt x→0 x∫ x f(u)du x→0 ∫ x f(u)du+xf(x) 0 0 0 1 x 整 = 理 lim ∫ 0 x f(t)dt 上下 = 同除x lim x ∫ 0 f(t)dt x→0 ∫ x f(u)du+ xf(x) x→0 f(x)+ 1 ∫ x f(t)dt 0 x 0 x (∫ f(t)dt)′ 1 x 而 lim ∫ f(t)dt =lim 0 =lim f(x)= f(0) x→0 x 0 x→0 x′ x→0 所以由极限的四则运算法则得, 1 ∫ x f(t)dt lim 1 ∫ x f(t)dt f(0)≠0 1 原式=lim x 0 = x→0 x 0 = f(0) = . x→0 1 x 1 x f(0)+ f(0) 2 f(x)+ ∫ f(t)dt lim f(x)+lim ∫ f(t)dt x 0 x→0 x 0 (16) 【详解】由题设图形知,C 在C 的左侧,根据平面图形的面积公式得, 3 1 x 1 1 S (x) = ∫ [et − (1+et)]dt = (ex −x−1), C C 1 0 2 2 3 2 y l y y S (y) = ∫ (lnt −ϕ(t))dt, M(x,y) 2 1 由S (x) = S (y),得 1 2 1 y C 1 (ex −x−1) = ∫ (lnt −ϕ(t))dt, 2 1 l 注意到M(x,y)是y =ex的点, 1 x 1 y 于是 (y−ln y−1) = ∫ (lnt −ϕ(t))dt 2 1 O 1 x 更多考研资料分享+qq810958634更多考研资料分享+qq810958634 1 1 两边对y求导得 (1− ) =ln y−ϕ(y), 2 y y−1 整理上面关系式得函数关系为:x =ϕ(y) =ln y− . 2y (17)【详解】由直线l 过(0,0)和(2,4)两点知直线l 的斜率为2. 由直线l 是曲线C在点(0,0) 1 1 1 的切线,由导数的几何意义知 f′(0)=2. 同理可得 f′(3)=−2. 另外由点(3,2)是曲线C的 一个拐点知 f′′(3)=0. 由分部积分公式, ∫ 3 (x2 +x)f′′′(x)dx=∫ 3 (x2 +x)df′′(x) =(x2 +x)f′′(x) 3−∫ 3 f′′(x)(2x+1)dx 0 0 0 0 3 =(32 +3)f′′(3)−(02 +0)f′′(0)−∫ f′′(x)(2x+1)dx 0 3 3 3 =−∫ (2x+1)df ′(x) = −(2x+1)f ′(x) +2∫ f ′(x)dx 0 0 0 3 =−(2×3+1)f′(3)+(2×0+1)f′(0)+2∫ f′(x)dx 0 =16+2[f(3)− f(0)]= 20. dx (18)【详解】 由题设x =cost(00, 于是由闭区间连续函数的介值定理知,存在ξ∈(0,1), 使得F(ξ) =0,即 f(ξ) =1−ξ. (II) 在[0,ξ]和[ξ,1]上对 f(x) 分别应用拉格朗日中值定理,知存在两个不同的点 f(ξ)− f(0) f(1)− f(ξ) η∈(0,ξ),ζ∈(ξ,1),使得 f ′(η) = , f ′(ζ) = ξ−0 1−ξ f(ξ) 1− f(ξ) 1−ξ ξ 于是 f ′(η)f ′(ζ) = ⋅ = ⋅ =1. ξ 1−ξ ξ 1−ξ ∂z ∂z ∂z (20) 【 详 解 】由 dz = 2xdx−2ydy 知 =2x, =−2y . 对 =2x 两 边 积 分 得 ∂x ∂y ∂x ∂z z = f(x,y)= x2 +c(y) . 将 z(x,y)= x2 +c(y) 代 入 =−2y 得 c′(y)=2y . 所 以 ∂y c(y)= y2 +c. 所以z = x2 − y2 +c.再由x=1,y =1时z =2知, c=2. 于是所讨论的函 数为z = x2 − y2 +2. y2 ∂z ∂z 求 z 在 x2 + <1 中的驻点. 由 =2x, =−2y 得驻点 (0,0) ,对应的 4 ∂x ∂y z = f(0,0)=2. y2 讨论z = x2 − y2 +2在D的边界x2 + =1上的最值,有两个方法. 4 方法1:把y2 =4(1−x2)代入z的表达式,有 z = x2 − y2 +2=5x2 −2, −1≤ x≤1 z′ =10x x 更多考研资料分享+qq810958634更多考研资料分享+qq810958634 命z′ =0解得x=0,对应的y =±2,z =−2 x x=0,y=±2 还要考虑−1≤ x≤1的端点x=±1,对应的y =0,z =3 x=±1,y=0 由z =2,z =−2,z =3比较大小,故 minz =−2(对应于x=0,y =±2),maxz =3(对应于x=0, y =±2) y2 方法2:用拉格朗日乘数法,作函数F(x,y,λ)= x2 − y2 +2+λ(x2 + −1) 4  ∂f  F′= +2λx=2(1+λ)x=0, x ∂x   ∂f λy 1 解方程组 F′= + =−2y+ λy =0 y ∂y 2 2   y2  F′ = x2 + −1=0  λ 4 由上面的第一个方程解得x=0或λ=−1:当x=0时由最后一个方程解得y =±2;当 λ=−1是由第二个方程解得y =0,这时由最后一个方程解得x=±1. 故解得4个可能的极 值点(0,2),(0,−2),(1,0),(−1,0).计算对应z的值: z =−2, z =−2, z =3, z =3 (0,2) (0,−2) (1,0) (−1,0) 再与z =2比较大小,结论同方法1. (0,0) (21) 【详解】D:x2 + y2 −1=0为以O为中心半径为1 的圆周,划分D如下图为D 与D . 1 2 x2 + y2 −1, (x,y)∈D 这时可以去掉绝对值符号 x2 + y2 −1 = 2 1−x2 − y2, (x,y)∈D 1 D D 1 2 x2+y2=1 方法1: ∫∫ x2 + y2 −1dσ=−∫∫(x2 + y2 −1)dxdy +∫∫(x2 + y2 −1)dxdy D D D 1 2 后一个积分用直角坐标做, 更多考研资料分享+qq810958634更多考研资料分享+qq810958634 1 1 ∫∫(x2 + y2 −1)dxdy =∫ dx∫ (x2 + y2 −1)dy 0 1−x2 D 2 1 1 1 3 =∫ [(x2 −1)−(x2 −1) 1−x2 + − (1-x2)2]dx 0 3 3 1 2 2 3 1 12 2 1 3 =∫ [(x2 − )+ (1−x2)2]dx=∫ x2dx−∫ dx+ ∫ (1−x2)2dx 0 3 3 0 0 3 3 0 1 2 π 1 2 π 1+cos2t =− + ∫2cos4tdt =− + ∫2( )2dt 3 3 0 3 3 0 2 1 2 1 π =− + × ∫2(1+2cos2t+cos22t) dt 3 3 4 0 1 2 1 π 1+cos4t =− + × ∫2(1+2cos2t+ )dt 3 3 4 0 2 1 2 1 π 1 cos4t =− + × ∫2(1+ +2cos2t+ )dt 3 3 4 0 2 2 1 2 1 3 π 2 1 π cos4t =− + × × × + × ∫2(2cos2t+ )dt 3 3 4 2 2 3 4 0 2 1 π 2 1 1 π =− + + × ×0 =− + . 3 8 3 4 3 8 前一个积分用极坐标做, π 1 π 1 1 π ∫∫(1−x2 − y2)dxdy =∫2dθ∫ (1−r2)rdr =∫2( − )dθ= . 0 0 0 2 4 8 D 1 π 1 π π 1 所以 ∫∫ x2 + y2 −1dσ= +− + = − . 8 3 8 4 3 D 方法2:由于区域D 的边界复杂,计算该积分较麻烦,可以将D 内的函数“扩充”到整个区 2 2 域D=D D ,再减去“扩充”的部分,就简化了运算. 即 1 2 ∫∫(x2 + y2 −1)dσ= ∫∫(x2 + y2 −1)dσ−∫∫(x2 + y2 −1)dσ D D D 2 1 因此 ∫∫ x2 + y2 −1dσ=∫∫(1−x2 − y2)dσ+∫∫(x2 + y2 −1)dσ D D D 1 2 =∫∫(1−x2 − y2)dσ+∫∫(x2 + y2 −1)dσ−∫∫(x2 + y2 −1)dσ D D D 1 1 更多考研资料分享+qq810958634更多考研资料分享+qq810958634 =2∫∫(1−x2 − y2)dσ+∫∫(x2 + y2 −1)dσ D D 1 π 1 π 1 1 π 由极坐标 ∫∫(1−x2 − y2)dxdy =∫2dθ∫ (1−r2)rdr =∫2( − )dθ= . 0 0 0 2 4 8 D 1 1 1 1 x3 1 而 ∫∫(x2 + y2 −1)dσ=∫ dy∫ (x2 + y2 −1)dx=∫ [ +(y2 −1)x] dy 0 0 0 3 0 D 1 1 1 2 y3 2 1 1 =∫ [ + y2 −1]dy =∫ (y2 − )dy =[ − y] =− 0 3 0 3 3 3 0 3 π 1 π 1 所以 ∫∫ x2 + y2 −1dσ=2× − = − . 8 3 4 3 D (22)【详解】 方法1:记A=(α,α,α),B=(β,β,β). 由于β,β,β不能由α,α,α线性表出,故 1 2 3 1 2 3 1 2 3 1 2 3 r(A)<3,(若r(A)=3,则任何三维向量都可以由α,α,α线性表出),从而 1 2 3 1 1 a 2+a 2+a 2+a 1 1 1 把第2、3行 提取第1行的 A = 1 a 1 1 a 1 (2+a) 1 a 1 加到第1行 公因子(2+a) a 1 1 a 1 1 a 1 1 1 1 1 2行−1行 (2+a) 0 a−1 0 3行−1行 a−1 0 0 0 a−1 按第3列展开(2+a)⋅(−1)1+3×1× =−(2+a)(a−1)2 =0 a−1 0 (其中(−1)1+3指数中的1和3分别是1所在的行数和列数) 从而得a =1或a =−2. 当a =1时,α =α =α =β =[1,1,1]T ,则α =α =α =β+0⋅β +0⋅β , 1 2 3 1 1 2 3 1 2 3 故α,α,α可由β,β,β线性表出,但β =[−2,1,4]T 不能由α,α,α线性表出(因 1 2 3 1 2 3 2 1 2 3 −2 1 1 1 k +k +k =−2 1 2 3          为方程组β = 1 =k 1 +k 1 +k 1 ,即k +k +k =1 无解),故a =1符 2   1  2  3  1 2 3           4  1 1 1 k +k +k =4 1 2 3 合题意. 更多考研资料分享+qq810958634更多考研资料分享+qq810958634 当a =−2时,由于  1 −2 −2  1 1 −2 1 −2 −2  1 1 −2   2行−1行,   [BA]= 1 −2 −2  1 −2 1 0 0 0  0 −3 −3   3行+1行×2      −2 4 −2  −2 1 1    0 0 −6  0 0 0   因r(B)=2≠r(Bα)=3,系数矩阵的秩和增广矩阵的秩不相等,故方程组 2 BX =α 无解,故α 不能由β,β,β线性表出,这和题设矛盾,故a =−2不合题意. 2 2 1 2 3 因此a =1. 方法2:对矩阵A =(β,β ,β α,α ,α)作初等行变换,有 1 2 3 1 2 3 1 −2 −2  1 1 a   A =(β,β ,β α,α ,α)= 1 a a  1 a 1 1 2 3 1 2 3    a 4 a  a 1 1  1 −2 −2  1 1 a  2行−1行,   0 a+2 a+2  0 a−1 0 3行−1行×a     0 4+2a 3a  0 1−a 1−a  1 −2 −2  1 1 a    3 行  − 2 行  × 2 0 a+2 a+2  0 a−1 0  ,  0 0 a−4  0 3(1−a) 1−a  1 −2 −2  1 1 −2   当a =−2时,A → 0 0 0  0 −3 0 , 不存在非零常数k ,k ,k ,   1 2 3  0 0 −6  0 3 3    1  1 −2 −2         使得 −3 =k 0 +k 0 +k 0 ,α 不能由β,β ,β线性表示,因此a ≠ −2;   1  2  3  2 1 2 3          3  0  0   −6 当a=4时, 1 −2 −2  1 1 4    A → 0 6 6  0 3 0 ,    0 0 0  0 −9 −3  α 不 能 由 β,β ,β 线 性 表 示 , 不 存 在 非 零 常 数 k ,k ,k , 使 得 3 1 2 3 1 2 3  4  1 −2 −2         0 =k 0 +k 6 +k 6 . 因此a ≠ 4.   1  2  3           −3 0  0   0  更多考研资料分享+qq810958634更多考研资料分享+qq810958634 而当a ≠ −2且a ≠ 4时,秩r(β,β ,β) =3,此时向量组α,α ,α 可由向量组 1 2 3 1 2 3 β,β ,β线性表示. 又 1 2 3 1 1 a  1 −2 −2   B =(α,α ,α β,β ,β) = 1 a 1  1 a a 1 2 3 1 2 3    a 1 1  a 4 a   1 1 a  1 −2 −2  2行−1行,   0 a−1 1−a  0 a+2 a+2 3行−1行×a     0 1−a 1−a2  0 4+2a 3a   1 1 a  1 −2 −2    3 行  + 2 行  0 a−1 1−a  0 a+2 a+2  ,  0 0 2−a−a2  0 6+3a 4a+2  由 题 设 向 量 组 β,β ,β 不 能 由 向 量 组 α,α ,α 线 性 表 示 , 则 方 程 组 1 2 3 1 2 3 (α α α) x=β或(α α α) x=β 或(α α α) x=β 无解,故系数矩阵的秩 1 2 3 1 1 2 3 2 1 2 3 3 ≠增广矩阵的秩,故r(B)≠r (α α α) . 1 2 3 又当a ≠ −2且a ≠ 4时,r(B)=3,则必有a−1=0或2−a−a2 =0,即a=1 或a = −2. 综上所述,满足题设条件的a只能是:a=1. 方法3:记A=(α,α,α) ,B=(β,β,β),对矩阵( A  B )作初等行变换,得 1 2 3 1 2 3 1 1 a  1 −2 −2   ( A  B )=(α,α,αβ,β,β)= 1 a 1  1 a a 1 2 3 1 2 3    a 1 1  a 4 a   1 1 a  1 −2 −2  2行−1行,   0 a−1 1−a  0 a+2 a+2 3行−1行×a     0 1−a 1−a2  0 4+2a 3a   1 1 a  1 −2 −2    3 行  + 2 行  0 a−1 1−a  0 a+2 a+2  ,  0 0 2−a−a2  0 6+3a 4a+2  由于β,β,β不能由α,α,α线性表出,故r(A)<3,(若r(A)=3,则任何三 1 2 3 1 2 3 维向量都可以由α,α,α线性表出),从而 1 2 3 更多考研资料分享+qq810958634更多考研资料分享+qq810958634 1 1 a 2+a 2+a 2+a 1 1 1 把第2、3行 提取第1行的 A = 1 a 1 1 a 1 (2+a) 1 a 1 加到第1行 公因子(2+a) a 1 1 a 1 1 a 1 1 1 1 1 2行−1行 0 a−1 (2+a) 0 a−1 0 按第3列展开(2+a)⋅(−1)1+3×1× 3行−1行 a−1 0 a−1 0 0 =−(2+a)(a−1)2 =0 从而得a =1或a =−2. 当a =1时, 1 1 11 −2 2   ( A  B )= 0 0 00 3 3 ,     0 0 00 9 6 则α =α =α =β+0⋅β +0⋅β ,α,α,α 可由β,β,β 线性表出,但由于 1 2 3 1 2 3 1 2 3 1 2 3 r ( A )=1≠r ( A  β)=2,系数矩阵的秩和增广矩阵的秩不相等,方程组Ax=β 无解, 2 2 β =[−2,1,4]T不能由α,α,α线性表出. 或由于r ( A )=1≠r ( A  β)=2,系数矩阵 2 1 2 3 3 的秩和增广矩阵的秩不相等,方程组Ax=β无解,β不能由α,α,α线性表出,即 3 3 1 2 3 β,β,β不能由α,α,α线性表出,故a=1符合题意. 1 2 3 1 2 3 当a =−2时, 1 1 −21 −2 2    ( A  B )= 0 −3 3 0 0 0 ,     0 0 0 0 0 −6 因r ( A )=2≠r ( A  β)=3,,系数矩阵的秩和增广矩阵的秩不相等,β,β,β不能 3 1 2 3 由α,α,α线性表出,但r ( B )=2≠r ( B  α )=3(或r ( B  α)=3),系数矩阵的秩 1 2 3 2 3 和增广矩阵的秩不相等,即BX =α (或BX =α)无解,即α,α,α不能由β,β,β 2 3 1 2 3 1 2 3 线性表出,与题设矛盾,故a =−2不合题意. 故a =1. (23)【详解】 由AB=0知,B的每一列均为Ax=0的解,且r(A)+r(B)≤3.(3是A的列 数或B的行数) 更多考研资料分享+qq810958634更多考研资料分享+qq810958634 (1) 若k ≠9, β,β 不成比例,β,β 成比例,则r(B)=2, 方程组Ax=0的解向量 1 3 1 2 中至少有两个线性无关的解向量,故它的基础解系中解向量的个数≥2,又基础解系中解向 量的个数=未知数的个数−r(A) =3−r(A),于是r(A)≤1. 又矩阵 A的第一行元素( a,b,c )不全为零,显然r(A)≥1, 故r(A)=1. 可见此时 Ax=0的基础解系由3−r(A)=2 个线性无关解向量组成,β,β 是方程组的解且线性无 1 3 关,可作为其基础解系,故Ax=0 的通解为: 1 3     x = k 2+k 6,k ,k 为任意常数. 1 2 1 2     3 k (2) 若k =9,则β,β,β 均成比例,故r(B) =1, 从而1≤ r(A)≤ 2.故r(A)=1或 1 2 3 r(A)=2. ①若r(A)=2, 则方程组的基础解系由一个线性无关的解组成,β是方程组Ax=0的基础 1 1   解系, 则Ax=0的通解为:x = k 2,k 为任意常数. 1 1   3 ②若r(A)=1, 则A的三个行向量成比例,因第1行元素( a,b,c )不全为零,不妨设a≠0, 则Ax=0的同解方程组为:ax +bx +cx =0, 系数矩阵的秩为1,故基础解系由3−1=2 1 2 3 个线性无关解向量组成,选x ,x 为自由未知量,分别取x =1,x =0或x =0,x =1,方 2 3 2 3 2 3  b  c  b  c − − − −         a a a a         程组的基础解系为ξ = 1 ,ξ  0 ,则其通解为x=k  1 +k  0 ,k ,k 为任意 1 2 1 2 1 2         0 1 0 1                 常数. 更多考研资料分享+qq810958634