当前位置:首页>文档>2013年江西省中考语文试题及答案_中考真题_1.语文中考真题2015-2024年_地区卷_江西语文08-22

2013年江西省中考语文试题及答案_中考真题_1.语文中考真题2015-2024年_地区卷_江西语文08-22

  • 2026-04-08 22:56:41 2026-02-05 22:52:32

文档预览

2013年江西省中考语文试题及答案_中考真题_1.语文中考真题2015-2024年_地区卷_江西语文08-22
2013年江西省中考语文试题及答案_中考真题_1.语文中考真题2015-2024年_地区卷_江西语文08-22
2013年江西省中考语文试题及答案_中考真题_1.语文中考真题2015-2024年_地区卷_江西语文08-22
2013年江西省中考语文试题及答案_中考真题_1.语文中考真题2015-2024年_地区卷_江西语文08-22
2013年江西省中考语文试题及答案_中考真题_1.语文中考真题2015-2024年_地区卷_江西语文08-22
2013年江西省中考语文试题及答案_中考真题_1.语文中考真题2015-2024年_地区卷_江西语文08-22
2013年江西省中考语文试题及答案_中考真题_1.语文中考真题2015-2024年_地区卷_江西语文08-22
2013年江西省中考语文试题及答案_中考真题_1.语文中考真题2015-2024年_地区卷_江西语文08-22
2013年江西省中考语文试题及答案_中考真题_1.语文中考真题2015-2024年_地区卷_江西语文08-22
2013年江西省中考语文试题及答案_中考真题_1.语文中考真题2015-2024年_地区卷_江西语文08-22
2013年江西省中考语文试题及答案_中考真题_1.语文中考真题2015-2024年_地区卷_江西语文08-22
2013年江西省中考语文试题及答案_中考真题_1.语文中考真题2015-2024年_地区卷_江西语文08-22

文档信息

文档格式
doc
文档大小
2.248 MB
文档页数
8 页
上传时间
2026-02-05 22:52:32

文档内容

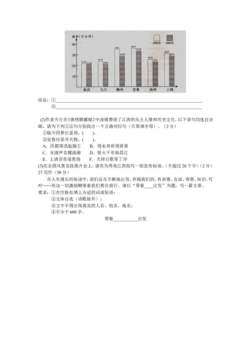
江西省 2013 年中等学校招生考试 语文试题卷 说明: 1.本卷共四大题,27小题,全卷满分120分,考试时间为150分钟。 2.本卷分为试题卷和答题卷,答案要求写在答题卷上,不得在试题卷上作答,否则不给分。 一、语言知识及其运用(12分) 1.下列字形和加点字注音全部正确的一项是(2分) A.亘古(gèng) 狩猎 挺而走险(tǐng) 怒不可遏 B.干涸(gù) 炽热 尽态极妍(yán) 万恶不郝 C.花圃(pǔ) 荫蔽 锐不可当(dāng) 粗制烂造 D.恣睢(zì) 取缔 鲜为人知(xiǎn) 眼花缭乱 2.下列句子加点词语使用错误的一项是(2分) A.别以为这房间杂乱无章,我曾经想收拾一下,后来发觉那是徒劳的。 B.一个物种在新的环境中,必然遵循物竞天择的法则。 C.共同的鉴赏能力与博学多识使他们两人常常是一见如故。 D.小镇上的文庙,只剩下断壁残垣,成为鸟兽栖聚之地。 3.下列句子没有语病的一项是(2分) A.妈妈说的羚羊是用一件黑色硬木雕成的工艺品。 B.面对错综复杂的局面,我们一定要认真研究,仔细调查,不可掉以轻心。 C.风儿从我脚下的林子里钻出来,送来林涛深沉的低吟。 D.大雁知道,在每个沼泽地和池塘边,都有瞄准它们的枪声。 4.下列句子组成语段顺序排列正确的一项是(2分) ①但是人类错了,大自然在某个清晨突然咆哮,于是水和空气的污染,臭氧层破坏,阳光越 来越凶猛地照射,都成了人类必须面临的严峻困境。 ②也许是人类的天性,凡是无偿获得的东西,就不为自己所珍视。 ③当原本无偿的东西开始收费以后,人类才珍视它们。 ④我们曾以为大自然恣肆汪洋,可以无限攫取。 ⑤人类肮脏了那些洁净的物质,于是有了装在瓶子里的蒸馏水和氧气罐头等等商品。 A.②④①⑤③ B.②⑤④③① C.④③②①⑤ D.④⑤①③② 5.依照下列画线句,给空缺处选填语句最恰当的一项是(2分) 困境无可避免。困境就像人生路上要穿过的原始森林,它常常让你迷失方向,步入歧途; _______________……走出困境,要有冷静从容的气度,________________…… A.困境就像人生路上要翻越的大雪山,它常常让你深陷其中,半途而废要有自我审视的智慧 B.困境就像人生路上要经历的沼泽地,它常常让你深陷其中,不能自拔要有机智应对的智慧 C.困境就像人生路上要经历的沼泽地,它常常让你饥寒交迫,半途而废要有机智应对的风范 D.困境就像人生路上要翻越的大雪山,它常常让你饥寒交迫,不能自拔要有自我审视的风范 6.对下面语段概括最恰当的一项是(2分) 我的读书旨趣有三个特点。第一,虽然我的专业是哲学,但我的阅读范围不限于哲学,始 终喜欢看“课外书”,而我从文学作品和各类人文书籍中同样学到了哲学。第二,虽然我的 阅读范围很宽,但对书籍的选择却很挑剔,以读经典名著为主,其他的书只是随便翻翻,对媒 体宣传的畅销书完全不予理睬。第三,虽然读的是经典名著,但我喜欢把它们当作闲书来读, 不端做学问的架子,而我确实在读经典名著中得到了最好的消遣。(周国平语)A.读书旨趣是:阅读范围不限于哲学,读书很挑剔,当作闲书来读。 B.读书旨趣是:喜欢看“课外书”,阅读范围很宽,读是为了消遣。 C.读书旨趣是:喜欢看“课外书”,主要读经典名著,不端做学问的架子读。 D.读书旨趣是:从各类书籍中学哲学,不理睬畅销书,读中得到消遣。 二、古诗文阅读与积累(22分) (一)阅读下面古诗,完成第7-8题。(4分) 春泛若耶溪① 唐·綦毋潜 幽意无断绝,此去随所偶。 晚风吹行舟,花路入溪口。 际夜转西壑,隔山望南斗②。 潭烟飞溶溶,林月低向后。 生事且弥漫③,愿为持竿叟。 【注释】①若耶溪,相传为西施浣纱处。作者綦( qí)毋潜,江西赣州人,其诗喜写山林,此诗为 诗人归隐后的作品。 ②南斗:指天空中的南天斗宿。 ③生事且弥漫:人生世事如溪水边弥 漫的烟雾。 7.下列对诗歌内容理解有误的一项是(2分) A.诗中描写了诗人春花月夜泛舟溪上所见的幽美景色。 B.诗中“晚”字点明泛舟的时间,“花”字切合诗题中的“春”。 C.诗句“潭烟飞溶溶”写出水潭边云雾弥漫、炊烟袅袅的清幽宁静。 D.诗句“愿为持竿叟”表明作者热爱若耶溪的山水,追慕幽意人生的态度。 8.下列对诗歌的赏析不正确的一项是(2分) A.诗句“此去随所偶”与《与朱元思书》中的“从流飘荡,任意东西”有异曲同工之妙,流 露出诗人随遇而安的闲适心情。 B.“际夜转西壑,隔山望南斗”一联运用对偶修辞,写出泛舟时时间的推移和景致的转换。 C.全诗紧扣“泛”字进行景物描写,移步换景,富有动势。 D.这首诗风格清幽激越,语言清新自然,浑然天成,体现出一种兴味深长的意境。 (二)阅读下面文言文,完成第9 -13题。(10分) 楚庄王欲伐越①。庄子谏曰:“王之伐越,何也?”日:“政乱兵弱。”庄子日:“臣愚患 之,智之如目也,能见百步之外,而不能自见其睫②。王之兵自败于秦晋,丧地数百里,此兵之 弱也;庄蹻③为盗于境内,而吏不能禁,此政之乱也。王之弱乱,非越之下也。而欲伐越,此智 之如目也。”王乃止。故知之难,不在见人,在自见,故日:自见之谓明。 (节选自《韩非子》) 【注释】①越:越国。 ②睫:眼睫毛。 ③庄蹻( qiāo):当时民间反对派首领。 9.对下面句子朗读节奏的划分正确的一项是(2分) 王之兵自败于秦晋 A.王之兵自败于/秦晋 B.王之兵/自败于秦晋 C.王之兵自败/于秦晋 D.王/之兵自败于秦晋 10.解释文中加点词语的意思。(2分) ①丧( ) ②明( ) 11.翻译文中画线句子。(2分) 王之弱乱,非越之下也。12.庄子劝谏楚庄王放弃伐越的故事说明了什么道理?用自己的话概括。(2分) 13.结合文意,简要说说楚庄王是个怎样的人。(2分) (三)古诗文积累。(8分) 14.填补下列名句的空缺处或按要求填空(每空1分) (1) _________,君子好逑。 (2)乡书何处达?_________。 (3)浩荡离愁白日斜,_________。 (4) _________,童稚携壶浆。 (5)李白《闻王昌龄左迁龙标遥有此寄》中的“________”表达了作者对远方朋友的思念。 (6)在被争名逐利、权钱交易、互相吹捧以至于尔虞我诈的污浊风气渐渐侵蚀了人际关系的社 会,能洁身自好,拥有“________,________”的灵魂,尤其显得可贵。(用《爱莲说》中的语 句填写) 三、现代文阅读(30分) (一)阅读下文,完成第15 - 20题。(16分) 两角钱 肖复兴 有时只是举手之劳,就能帮助别人,但我们对好多举手之劳的事情却总是熟视无睹,而 不愿意伸出手来。 那天下午,我去邮局寄信,人很多,大多是在附近工地干活的民工,才想到是他们发工资 的日子,在往远在千里之外的家里寄钱。 我寄了一摞子信件,最后算邮费,掏光了衣袋里所有的零钱,还差两角钱。我只好掏出一 张一百元的票子,请柜台里的女服务员找。她没有伸手接,望了望我,面色不大好看。为了两 角钱要找一百元的零头,这确实够麻烦的,难怪她不大乐意。 我下意识弯腰又翻裤兜的时候,和一个男孩子的目光相撞。 他穿着一身尘土仆仆的工装 , 就站在我旁边的柜台的角上,个头才到我的肩膀,瘦小得像个豆芽菜。我发现他的眼光里流 露着犹豫的眼神,抿着嘴,冲我似笑非笑的样子,有些怪怪的。而他的一只手揣在裤袋里,活 塞一样来回动了几下,似掏未掏的样子,好像那里藏着刺猬一样什么扎手的东西。这更让我 感到奇怪了。 没有,裤袋也翻遍了,确实找不出两角钱。我只好把那张一百元的票子又递了上去,服务 员还是没有接,说了句:你再找找,这才两角钱还没有呀。可我确实没有啊,我有些气,和她差 点没吵起来。 这时候,我的衣角被轻轻拉了一下,回头一看,是那个男孩子。我看见他的手从裤袋里掏 了出来,手心里攥着两角钱:“我这里有两角钱。”说完这句外乡口音很重的话,他羞涩地脸 红了。原来刚才他一直想帮助我,只是有些犹豫,是怕我拒绝,还是怕两角钱有些太不值得? 我接过钱,有些皱巴巴的,还带有他手心的温热,虽然只有两角钱,我还是谢了他。他微微地 一笑,只是脸更有些发红了,真是一个可爱的孩子。 寄完信,我去附近的超市买东西,破开了那一百元的票子,有了足够的零钱。我又回到邮 局里,不过,那时已是落日的黄昏,不知那个孩手还在不在?我想如果那个孩子还在,应该把 钱还给他。 他还真的在那里,还站在柜台的角上,那些民工还没有汇完钱,他是在等着大人们一起 回去。我向他走了过去,他看见了我,冲我笑了笑,因为有了那两角钱,我们成了熟人,他的笑 容让我感到一种天真的亲切,很干净透明的那种感觉。 走到他的身边,我打消了还那两角钱的念头。我不知道这样做对不对,但看到他那样的 笑,总觉得他是在为自己做了一件帮助人的好事,才会这样的开心。能够帮助人,而且是举手之劳的事情,尤其是帮助了一个看起来比自己大许多的大人,心里总会产生一种美好的感觉 吧。我当时就这样想,干嘛要打破孩子这样美好的感觉呢?一句谢谢,比归还两角钱,也许, 更重要吧?我轻轻地抚摸了一下他的头,问了问:“还没有走呀?”然后,我再次郑重地向 他说了声:“谢谢你啊!”他的脸上再次绽放出笑容。 以后,我多次去过那家邮局,再也没有见过那个孩子,但我怎么也忘不了他。他让我时时 提醒自己,面对一些举手之劳的事情,能够伸出手来去帮助他人,一定要伸出手来。 (选自《北京晚报》,有删改) 15.用自己的话简要概括文章的主要内容。(3分) 16.试从人物描写的角度(神态描写、动作描写、外貌描写,任选其中两种),对文中画线句子 进行具体分析。(4分) 17.结合具体语境,理解“他的笑容让我感到一种天真的亲切,很干净透明的那种感觉”中 “干净透明”的含义。(2分) 18.“我”原想把钱还给男孩子,后面又打消了还那两角钱的念头,这是为什么?(2分) 19.文中最后写到男孩子的脸上“再次绽放出笑容”。请写出男孩子此刻的心理活动。(2分) 20.男孩子帮助“我”的仅仅是两角钱,请结合全文谈谈为什么“我怎么也忘不了他”?(3 分) (二)阅读下文,完成第21 - 25题。(14分) 云中谁寄锦书来 朱铁志 电脑的普及,使文字书写急剧退场。用惯了纸笔的中老年人,还在挣扎着试图挽住书写 的臂膀。而年轻一代,已然习惯了无纸化的生存。提笔忘字,渐成常态;书法之美,只在少数书 家手中流连。在手机和电子信箱越来越便捷的当下社会,能够收到一封手写的信件已是一种 幸运,能够收到一封文辞淳美朴实、书法俊逸洒脱的书信,简直就是一种奢望。传统尺牍信札 中所包涵的博大精深的中华文明,似乎正渐行渐远,使即使不算老派的中年人,也不免感到 一丝惆怅。 我算幸运的,因工作和个人写作的关系,使我常常收到来自全国各地熟悉或不熟悉的朋 友的来信,其中不乏理论大家和文学名家的信札。有的文白间杂,言近旨远;有的雅淡平和, 娓娓道来;有的词锋犀利,一语中的;有的嘘寒问暖,饱含温情。信封和信札抬头、落款的书写, 无不十分讲究,不论是称谓的选择,还是书写工具的使用,都能看出文字的背后所蕴含的学 养功底和书写者的气质风神。 与此同时,我也收到大量别样的来信,其中尤以来自报刊者居多。有的在我名字之后不 再有任何称谓,迹近被通缉;有的信封书写七扭八歪,偌大的天地间几行纠缠在一起的米粒 小字,仿佛捆绑的螃蟹。至于行文的直白浅陋、甚至粗暴无礼,也是不时要面对的无奈现实。 翻看老一辈学者作家的书信,“先生”“足下”“斧正”“雅教”“拜辞”等敬语谦 辞随处可见,浸润在字里行间的那份优雅和谦和,透露出长期文明熏陶下谦谦君子所特有的 从容和自信,正是“尺牍书疏,千里面目”,“虽则不面,其若面焉”。 而今,传统的书信文明似乎已成远去的雅乐,只能在杂乱无章的信息洪流中若有若无地 存在,只能在先人的收藏中依稀可辨。而在新潮的“穿越剧”中,别人的父亲成了“家父”, 自己的爸爸却变为“令尊”。经过“反右”“文革”等文化浩劫,中年以下的朋友旧学功底 无从谈起,新学修养也难尽如人意。粗鄙文化盛行,庸俗观念当道,肉麻成有趣,流氓成英雄。 听一听身边人的谈吐,看一看手边的报刊,文明含量几许、文化水准若何,相信大家会有自己 的判断。至于网络语言,新则新矣,有的甚至不乏有趣,但说到底,无非是一种缺乏文化含量 的戏说而已。文化的发展繁荣离不开对优秀传统文化的自觉和自省,而自觉自省的前提,是对传统文 化基本的认知和积累。胸无点墨,何以自觉?就像黄牛,肚子里没有青草,拿什么反刍?网络 时代,点击率成了判断标准和不二法门,而在杂多的信息当中飞来飞去的眼球,其实并未收 获几多真知。网络人的头脑,基本是杂乱信息的跑马场。缺乏这种自觉的所谓知识分子,充其 量不过是“知道分子”而已。 毛笔、宣纸作为文字书写主要载体的时代或许已经过去,但文明的传承不能因此中断。 为什么直到今天我们依然怀念前秦散文、楚辞汉赋、唐诗宋词、明清小说?为什么我们常常 默念诸子百家、孔孟老庄?因为我们的血管中流淌着优秀传统文化的血液,对前辈思想家、文 学家的传世之作高山仰止、景行行止,虽不能至,心向往之。这样一种祈愿和情怀,寄托着几 千年来中国传统文人“达则兼济天下,穷则独善其身”的美好理想和对优雅文化的无限怀 想。 剪不断,理还乱。要用中国语言、中国气派、中国风格的理论体系和话语系统来解读当今 中国社会的发展秘密,解开中国道路的内在密码,要想在市场经济的冷酷背景下保留一份温 暖的人文情怀,不能靠午夜梦回、撕扯自己的头发冥思苦想,不能指望查阅文件、对比口径找 寻思想捷径。唯有继承传统、不忘经典,在理论和实际的结合中,才能发现博大精深的优美存 在,才能触发自己愚钝很久的灵感和才华,找到通向世界、与各种文明有效对话的渠道和钥 匙。 (选自《人民日报》2012.6.25,有删改) 21.作者为什么说在当下社会收到文辞淳美朴实、书法俊逸洒脱的书信是“一种奢望”?(2 分) 22.分别概括作者收到的两类来信的特征。(2分) 23.结合具体语境,理解下面句子。(4分) ①传统的书信文明似乎已成远去的雅乐。(2分) ②网络人的头脑,基本是杂乱信息的跑马场。(2分) 24.作者指出“找到通向世界、与各种文明有效对话的渠道和钥匙”“唯有继承传统、不忘经 典”, 我们该如何把这一观点运用到学习生活中去?试从三个方面具体说说。(3分) 25.“云中谁寄锦书来”,这一文题寄托了作者内心哪些复杂的情感?请结合全文概括。(3 分) 四、综合性学习与写作(56分) 26.综合性学习(6分) 学校开展“脚踏热土,爱我江西”的综合性学习活动。请你结合相关材料,完成下列任 务。 (1)阅读并分析下面的“江西省部分城市1985年与2005年耕地面积变化情况统计表”,写出 你 从中得出的两个结论。(2分)结论:①__________________________________________________________________ ②__________________________________________________________________ (2)作者天行在《锦绣赣鄱赋》中深情赞颂了江西的风土人情和历史文化,以下语句均选自该 赋,请为下列①②句分别找出一个正确对应句(只需填字母)。(2分) ①临川四梦出显祖,( )。 ②宜春应星开天物,( )。 A.洪都排浪起滕王 B.饶水弃疾领辞章 C.安源声名耀湖湘 D.窑火千年始昌江 E.上清官里道教场 F.天祥日歌零丁洋 (3)在全国风景名胜推介会上,请你为秀美江西拟写一则宣传标语。(不超过20个字)(2分) 27.写作(50分) 在人生漫长的旅途中,我们总在不断地出发,伴随我们的,有亲情、友谊、理想、知识、叮 咛……而这一切激励鞭策着我们勇往前行。请以“带着____出发”为题,写一篇文章。 要求:①在空格处填上合适的词或短语; ②文体自选(诗歌除外); ③文中不得出现真实的人名、校名、地名; ④不少于600字。 带着___________出发江西省2013年中等学校招生考试 语文试题参考答案及评分意见 一、语言知识及其运用(12分) 1.D(2分) 2.C(2分) 3.C(2分) 4.A(2分) 5.B(2分) 6.C(2分) 二、古诗文阅读与积累(22分) (一)(4分) 7.C(2分) 8.D(2分) (二)(10分) 9.B(2分) 10.①丧失(1分) ②明智(1分) 11.大王(楚庄王)的国家里军队弱小、政局不稳(1分),问题不比越国少(1分)。 12.人要有自知之明,才能够避免失误,立于不败之地。(2分) 13.①楚庄王只看见越国的问题,却不能发现自身的问题,可见他目光短浅,考虑问题不周全。 (1分) ②听了庄子的劝谏之后,楚庄王打消了伐越的念头,可见他善于纳谏,勇于改正缺点。(1 分) (三)(8分)(每空1分。凡错、漏、增字,该空不给分。) 14.(1)窈窕淑女 (2)归雁洛阳边 (3)吟鞭东指即天涯 (4)妇姑荷箪食 (5)我寄愁心与明月 随风直到夜郎西 (6)出淤泥而不染濯清涟而不妖 三、现代文阅读(30分) (一)(16分) 15.“我”在邮局遇到两角钱的难题时(1分),一个男孩子主动帮助了“我”(1分),令 “我”感动难忘(1分)。(大意相同即可) 16.示例: ①“他穿着一身尘土仆仆的工装……个头才到我的肩膀,瘦小得像个豆芽菜”,通过外貌 描 写点明男孩子生活的艰辛,以更好地表现他内心的善良。 ②“他的眼光里流露着犹豫的眼神……冲我似笑非笑的样子”,通过神态描写表现出男 孩子 既想帮助“我”又怕被“我”拒绝的矛盾心理。 ③“他的一只手揣在裤袋里,活塞一样来回动了几下,似掏未掏的样子”,通过动作描写 表现男孩子此刻的矛盾心理。 (任选其中两种进行分析即可给分)(4分) 17.“干净透明”是指男孩子内心纯洁,待人真挚。(大意相同即可)(2分) 18.男孩子在帮助了“我”之后非常开心,“我”不愿意打破他这种美好的感觉。(2分) 19.帮助别人并得到别人的肯定与尊重(1分)是快乐和自豪的(1分)。 20.男孩子在“我”最需要帮助的时候帮助了“我”;(1分) 男孩子乐于助人的纯洁心灵打动了“我”;(1分) 男孩子的举动提醒“我”面对一些举手之劳的事情,一定要伸手帮助他人。(1分) (二)(14分) 21(. 文字书写急剧退场,人们习惯了无纸化的生存。)现实中提笔忘字,渐成常态;书法之美, 只在少数书家手中流连。所以很难收到一封文辞淳美朴实、书法俊逸洒脱的手写书信了。(大 意相同即可)(2分)22.第一类:蕴含着书写者的学养功底和气质风神。(1分) 第二类:格式不规范,书写不工整,文辞浅陋。(大意相同即可)(1分) 23.①因为当下杂乱无章的信息泛滥,许多人旧学功底差,社会上粗鄙文化盛行,庸俗观念当 道,而书信文明正在逐渐消失。(大意相同即可)(2分) ②网络人尽管接受了许多的信息,但这些信息杂乱无章,如不加以整理,就收获不了多少 真知,头脑也就变成任意踩踏的场地。(大意相同即可)(2分) 24.提示:可从经典诵读、书法训练、文明礼仪等方面作答,一个方面1分,言之成理即可。(3分) 25.a.对当今文化现状的焦虑(惆怅);(1分) b.对一些中华文明(传统文化)逝去的怀念;(1分) c.对优秀传统文化传承的企盼。(1分) (答到要点即可) 四、综合性学习与写作(56分) 26.(1)①(2005年与1985年相比),江西省部分城市的耕地面积都呈减少趋势。 ②相比之下,南昌市耕地面积减幅最小,赣州市耕地面积减幅最大。 ③面对耕地面积的减少,我们应该采取相应的保护措施。 (答到其中两个结论即可)(2分) (2)①D(1分) ②B(1分) (3)示例:绿色赣鄱物华天宝,红色老区人杰地灵。(2分) (围绕江西特色进行宣传,言之成理即可) 27.(50分) 评分等级: (一)基础等级(40分) 1.一类卷(34 -40分):符合题意,感情真挚,思想健康,中心明确,内容充实,语言流畅, 条理清楚,书写规范整洁,标点正确。 2.二类卷(28 -33分):符合题意,感情真挚,思想健康,中心明确,内容较充实,语言较 通顺,结构完整,书写整洁。 3.三类卷(21 - 27分):基本符合题意,中心较明确,内容较充实,语句较通顺,层次较 清楚,书写较整洁。 4.四类卷(20分以下):中心不够明确,内容贫乏,语句零乱,结构松散,卷面混乱。 (二)发展等级(10分) 1.深刻(透过现象深入本质,观点具有启发作用) 2.丰富(材料丰富,形象丰满) 3.有文采(词语生动,句式灵活,善于运用修辞手法,文句有意蕴) 4.有创新(见解新颖,材料新鲜,构思精巧,想像奇特,有个性) 说明:(1)评卷时从基础等级和发展等级两个方面给分。发展等级选取四点中最突出的一 点评分,该给多少分就给多少分,直至满分10分。 (2)要考虑考场作文的实际,优秀的可给满分。 (3)同一作文,由三人完成评阅工作。三人给分差距超过5分的作文,要重新评阅给分,如 还达不到要求,应交学科评卷小组裁定。