当前位置:首页>文档>数学(全解全析)_2数学总复习_赠送:2024中考模拟题数学_押题预测_2024年中考押题预测卷(山东青岛卷)-数学(含考试版、全解全析、参考答案、答题卡)

数学(全解全析)_2数学总复习_赠送:2024中考模拟题数学_押题预测_2024年中考押题预测卷(山东青岛卷)-数学(含考试版、全解全析、参考答案、答题卡)

  • 2026-02-12 13:26:55 2026-02-05 23:00:16

文档预览

数学(全解全析)_2数学总复习_赠送:2024中考模拟题数学_押题预测_2024年中考押题预测卷(山东青岛卷)-数学(含考试版、全解全析、参考答案、答题卡)
数学(全解全析)_2数学总复习_赠送:2024中考模拟题数学_押题预测_2024年中考押题预测卷(山东青岛卷)-数学(含考试版、全解全析、参考答案、答题卡)
数学(全解全析)_2数学总复习_赠送:2024中考模拟题数学_押题预测_2024年中考押题预测卷(山东青岛卷)-数学(含考试版、全解全析、参考答案、答题卡)
数学(全解全析)_2数学总复习_赠送:2024中考模拟题数学_押题预测_2024年中考押题预测卷(山东青岛卷)-数学(含考试版、全解全析、参考答案、答题卡)
数学(全解全析)_2数学总复习_赠送:2024中考模拟题数学_押题预测_2024年中考押题预测卷(山东青岛卷)-数学(含考试版、全解全析、参考答案、答题卡)
数学(全解全析)_2数学总复习_赠送:2024中考模拟题数学_押题预测_2024年中考押题预测卷(山东青岛卷)-数学(含考试版、全解全析、参考答案、答题卡)
数学(全解全析)_2数学总复习_赠送:2024中考模拟题数学_押题预测_2024年中考押题预测卷(山东青岛卷)-数学(含考试版、全解全析、参考答案、答题卡)
数学(全解全析)_2数学总复习_赠送:2024中考模拟题数学_押题预测_2024年中考押题预测卷(山东青岛卷)-数学(含考试版、全解全析、参考答案、答题卡)
数学(全解全析)_2数学总复习_赠送:2024中考模拟题数学_押题预测_2024年中考押题预测卷(山东青岛卷)-数学(含考试版、全解全析、参考答案、答题卡)
数学(全解全析)_2数学总复习_赠送:2024中考模拟题数学_押题预测_2024年中考押题预测卷(山东青岛卷)-数学(含考试版、全解全析、参考答案、答题卡)
数学(全解全析)_2数学总复习_赠送:2024中考模拟题数学_押题预测_2024年中考押题预测卷(山东青岛卷)-数学(含考试版、全解全析、参考答案、答题卡)
数学(全解全析)_2数学总复习_赠送:2024中考模拟题数学_押题预测_2024年中考押题预测卷(山东青岛卷)-数学(含考试版、全解全析、参考答案、答题卡)
数学(全解全析)_2数学总复习_赠送:2024中考模拟题数学_押题预测_2024年中考押题预测卷(山东青岛卷)-数学(含考试版、全解全析、参考答案、答题卡)
数学(全解全析)_2数学总复习_赠送:2024中考模拟题数学_押题预测_2024年中考押题预测卷(山东青岛卷)-数学(含考试版、全解全析、参考答案、答题卡)
数学(全解全析)_2数学总复习_赠送:2024中考模拟题数学_押题预测_2024年中考押题预测卷(山东青岛卷)-数学(含考试版、全解全析、参考答案、答题卡)
数学(全解全析)_2数学总复习_赠送:2024中考模拟题数学_押题预测_2024年中考押题预测卷(山东青岛卷)-数学(含考试版、全解全析、参考答案、答题卡)
数学(全解全析)_2数学总复习_赠送:2024中考模拟题数学_押题预测_2024年中考押题预测卷(山东青岛卷)-数学(含考试版、全解全析、参考答案、答题卡)
数学(全解全析)_2数学总复习_赠送:2024中考模拟题数学_押题预测_2024年中考押题预测卷(山东青岛卷)-数学(含考试版、全解全析、参考答案、答题卡)
数学(全解全析)_2数学总复习_赠送:2024中考模拟题数学_押题预测_2024年中考押题预测卷(山东青岛卷)-数学(含考试版、全解全析、参考答案、答题卡)
数学(全解全析)_2数学总复习_赠送:2024中考模拟题数学_押题预测_2024年中考押题预测卷(山东青岛卷)-数学(含考试版、全解全析、参考答案、答题卡)
数学(全解全析)_2数学总复习_赠送:2024中考模拟题数学_押题预测_2024年中考押题预测卷(山东青岛卷)-数学(含考试版、全解全析、参考答案、答题卡)
数学(全解全析)_2数学总复习_赠送:2024中考模拟题数学_押题预测_2024年中考押题预测卷(山东青岛卷)-数学(含考试版、全解全析、参考答案、答题卡)
数学(全解全析)_2数学总复习_赠送:2024中考模拟题数学_押题预测_2024年中考押题预测卷(山东青岛卷)-数学(含考试版、全解全析、参考答案、答题卡)
数学(全解全析)_2数学总复习_赠送:2024中考模拟题数学_押题预测_2024年中考押题预测卷(山东青岛卷)-数学(含考试版、全解全析、参考答案、答题卡)
数学(全解全析)_2数学总复习_赠送:2024中考模拟题数学_押题预测_2024年中考押题预测卷(山东青岛卷)-数学(含考试版、全解全析、参考答案、答题卡)
数学(全解全析)_2数学总复习_赠送:2024中考模拟题数学_押题预测_2024年中考押题预测卷(山东青岛卷)-数学(含考试版、全解全析、参考答案、答题卡)
数学(全解全析)_2数学总复习_赠送:2024中考模拟题数学_押题预测_2024年中考押题预测卷(山东青岛卷)-数学(含考试版、全解全析、参考答案、答题卡)
数学(全解全析)_2数学总复习_赠送:2024中考模拟题数学_押题预测_2024年中考押题预测卷(山东青岛卷)-数学(含考试版、全解全析、参考答案、答题卡)
数学(全解全析)_2数学总复习_赠送:2024中考模拟题数学_押题预测_2024年中考押题预测卷(山东青岛卷)-数学(含考试版、全解全析、参考答案、答题卡)
数学(全解全析)_2数学总复习_赠送:2024中考模拟题数学_押题预测_2024年中考押题预测卷(山东青岛卷)-数学(含考试版、全解全析、参考答案、答题卡)
数学(全解全析)_2数学总复习_赠送:2024中考模拟题数学_押题预测_2024年中考押题预测卷(山东青岛卷)-数学(含考试版、全解全析、参考答案、答题卡)
数学(全解全析)_2数学总复习_赠送:2024中考模拟题数学_押题预测_2024年中考押题预测卷(山东青岛卷)-数学(含考试版、全解全析、参考答案、答题卡)

文档信息

文档格式
docx
文档大小
1.992 MB
文档页数
32 页
上传时间
2026-02-05 23:00:16

文档内容

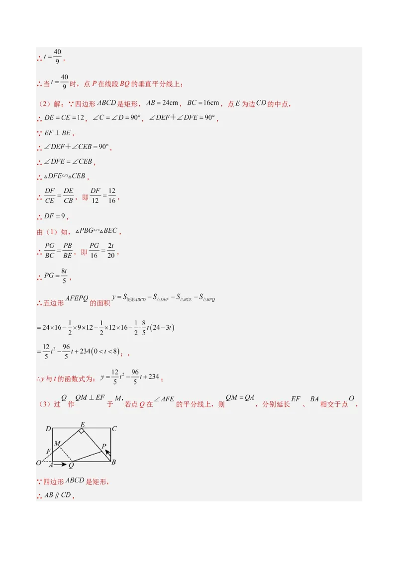
2024 年中考押题预测卷 数学·全解全析 第Ⅰ卷 一、选择题(本大题共10个小题,每小题3分,共30分.在每个小题给出的四个选项中,只有一项符合 题目要求,请选出并在答题卡上将该项涂黑) 1.与 的和等于0的数是( ) A. B.0 C.2024 D. 【答案】C 【分析】本题主要考查相反数,熟练掌握相反数的定义是解题的关键.根据相反数的定义即可得到答案. 【详解】解: , 故选C. 2.古代中国建筑之魂——传统的榫卯结构,榫卯是中国古代建筑、家具及其它木制器械的主要结构方式, 是在两个木构件上所采用的一种凹凸结合的连接方式.如图所示是榫卯结构中的一个部件,它的主视图是 ( ) A. B. C. D. 【答案】C 【分析】本题考查了简单组合体的三视图,利用三视图的定义是解题关键. 根据三视图的定义求解即可. 【详解】解:从正面看整体是一个长方形,但是长方形上方有一部分没有封闭,故A、B不符合题意,而 从正面看立体图形中的小长方形的棱是能看见的,故不能是虚线,故D不符合题意, 故选:C.3.中国的探月、登月计划受到世人的关注,中国人何时在月球上留下第一行脚印,在这里插上鲜艳的五 星红旗?月球与地球之间的平均距离约为 万公里, 万用科学记数法表示为( ) A. B. C. D. 【答案】B 【分析】本题考查科学记数法的定义,科学记数法的表示形式为 的形式,其中 ,n为整 数.确定n的值时,要看把原数变成a时,小数点移动了多少位,n的绝对值与小数点移动的位数相同. 据此作答即可. 【详解】38.4万 , 故选:B. 4.垃圾分类功在当代,利在千秋,下列垃圾分类指引标志图形中,是轴对称图形又是中心对称图形的是 ( ) A. 厨余垃圾 B. 可回收物 C. 其他垃圾 D. 有害垃圾 【答案】D 【分析】本题主要考查了中心对称图形与轴对称图形,轴对称图形的关键是寻找对称轴,图形两部分折叠 后可重合,中心对称图形是要寻找对称中心,旋转 后两部分重合.根据轴对称图形与中心对称图形的 概念求解. 【详解】解:因为图A是轴对称图形,不是中心对称图形,所以此选项不符合题意; 因为图B既不是轴对称图形,也不是中心对称图形,所以此选项不符合题意; 因为图C既不是轴对称图形,也不是中心对称图形,所以此选项不符合题意; 因为图D既是轴对称图形,也是中心对称图形,所以此选项符合题意. 故选:D. 5.如图,一块直角三角板和直尺拼接,其中 ,则 的度数为( )A. B. C. D. 【答案】A 【分析】本题主要考查了平行线的性质,对顶角相等,三角形外角的性质,先由对顶角相等得到 ,再由三角形外角的性质得到 ,则由平行线的性质可得 . 【详解】解:∵ , ∴ , ∵ , ∴ , ∵ , ∴ , 故选:A. 6.如图,已知 , , ,将 先向左平移 个单位,再绕原点 顺时针旋转 得 到 ,则点 的对应点 的坐标是( ) A. B. C. D. 【答案】C【分析】 先根据平移的性质求出平移后 点的坐标,再利用旋转的性质求出点 关于原点对称的点的坐标即可. 【详解】解: , 将 先向左平移 个单位后 点坐标为 , 点 关于原点对称的点 , 故选:C. 【点睛】本题考查了图形的平移和旋转,解题关键是掌握绕原点旋转180°的图形的坐标特点,即对应点的 横纵坐标都互为相反数. 7.如图, 内接于 , 为 的直径,直线 与 相切于点C,过点O作 ,交 于点E.若 ,则 的度数为( ) A. B. C. D. 【答案】B 【分析】本题考查了切线的性质,等边三角形的性质与判定,直角三角形的两个锐角互补,连接 ,根 据 为 的直径,得出 ,进而可得 , 是等边三角形,则 , 根据平行线的性质可得 ,根据切线的性质可得 ,进而即可求解. 【详解】解:如图所示,连接 , ∵ 为 的直径, ∴ , ∵ ∴ , 又∵∴ 是等边三角形,则 , ∵ , ∴ , ∵直线 与 相切于点C, ∴ , ∴ , 故选:B. 8.已知关于 的分式方程 的解是非负数,则 的取值范围是( ) A. B. C. 且 D. 且 【答案】D 【分析】本题考查分式方程的解,解一元一次不等式,根据解分式方程的方法可以求得 的取值范围,即 可求解.解答本题的关键是明确解分式方程的方法. 【详解】解: , 方程两边同乘以 ,得 , 移项及合并同类项,得 , ∵分式方程 的解是非负数, , ∴ , 解得, 且 , 故选:D. 9.二次函数 的部分图象如图所示,其对称轴为直线 ,且与x轴的一个交点坐 标为 .以下结论:① ;② ;③ ;④若点 、点 、点 在该函数图象上,则 .其中正确结论有( )A.1个 B.2个 C.3个 D.4个 【答案】C 【分析】本题考查二次函数图象与系数的关系,二次函数图象上点的坐标特征及二次函数的图象和性质, 熟知二次函数的图象和性质是解题的关键. 根据所给函数图象可得出 , , 的正负,再结合抛物线的对称性和增减性依次对四个结论进行判断即可. 【详解】解:由所给函数图象可知, , , , 所以 . 故①正确. 因为抛物线的对称轴为直线 ,且与 轴的一个交点坐标为 , 所以抛物线与 轴的另一个交点坐标为 , 将其代入二次函数解析式得, . 故②正确. 因为抛物线的对称轴为直线 , 所以 , 则 . 由函数图象可知, 当 时,函数值大于零, 所以 , 则 . 故③正确. 因为抛物线开口向上, 所以抛物线上的点,离对称轴越近,其函数值越小.又因为 , 且 , 所以 . 故④错误. 故选:C. 10.如图,在四边形 中, , , ,动点 , 同时从 点出发,点 以每秒 个单位长度沿折线 向终点 运动;点 以每秒 个单位长度沿线段 向终 点 运动,当其中一点运动至终点时,另一点随之停止运动 设运动时间为 秒, 的面积为 个平 方单位,则 随 变化的函数图象大致为( ) A. B. C. D. 【答案】D 【分析】 分当 时,点 在 上和当 时,点 在 上,根据三角形的面积公式即可得到结论. 【详解】 解:过 作 于 ,当 时,点 在 上,∵ , ∴ ∴ , ∴ , ∴ , 当 时,点 在 上,过点 作 于点 , ∵ , ∴ ∴ , ∴ , ∵ , , ∴ ∴ ∵ , ∴四边形 是矩形, ∴ ,综上所述,当 时的函数图象是开口向上的抛物线的一部分,当 时,函数图象是直线的一 部分, 故选:D. 【点睛】 本题考查了动点问题的函数图象,二次函数的图象,一次函数的图象,矩形的性质,勾股定理,30度直角 三角形的性质,熟练掌握各定理是解题的关键. 第Ⅱ卷 二、填空题(本大题共6个小题,每小题3分,共18分) 11.在函数 中,自变量x的取值范围是 . 【答案】 且 【分析】本题考查由自变量的取值范围,分式、二次根式有意义的条件,根据二次根式中被开方数大于等 于0,分母不为0,即可求解. 【详解】解: 中, , , 解得 , , 故答案为: 且 . 12.已知 , ,则多项式 的值为 . 【答案】 【分析】本题考查整式、因式分解的知识,解题的关键是对多项式 变形为 ,再把 、 的值,代入,即可. 【详解】∵ , ∴当 , 时, , 故答案为: . 13.定义新运算: ,若关于 的方程 有两个实数根,则实数 的取值范围为 . 【答案】【分析】本题考查了根的判别式:一元二次方程 的根与 有如下关系:当 时,方程有两个不相等的实数根;当 时,方程有两个相等的实数根;当 时,方程无实数根. 根据新定义得到 ,然后根据根的判别式的意义得到 ,再解不 等式即可. 【详解】解:∵ , ∴ , 整理得 , ∴ , 解得 . 故答案为: . 14.如图, , 是反比例函数 图象上的两点,连接 , ,过点 作 轴于点 ,交 于点 ,若 , 的面积为2,点 的坐标为 ,则 的值为 . 【答案】5 【分析】本题考查反比例函数中 的几何意义以及反比例函数图象上点的特征.先根据 , 的面积为2,求得 的面积,再根据反比例函数中系数 的几何意义求出 值,进而得出反比 例函数解析式,将点 坐标代入解析式即可求解 值. 【详解】解: , 的面积为2, 的面积为3, 的面积为5,, 是双曲线 上的两点, 轴于点 , ,则 , , 将点 代入 中,得 , , 故答案为:5. 15.如图,矩形 内接于 , 分别以 为直径向外作半圆,若 ,则 阴影部分的面积为 . 【答案】12 【分析】本题考查求不规则图形的面积,连接 ,勾股定理求出 的长,利用四个半圆的面积加上矩 形的面积减去 的面积,求解即可. 【详解】解:连接 , ∵矩形 内接于 , ∴ , , ∴ 为 的直径, , ∴阴影部分的面积 ;故答案为:12. 16.如图,在边长为2的正方形 中,点E在正方形内部且 .连接 ,以 、 为边 构造 ,连接 ,则线段 的最小值为 . 【答案】 【分析】先证明 ,得出 ,推导出点F的运动轨迹为半圆,再根据两点之间线段 最短,推导出 最小值. 【详解】连接 和 , 四边形 是正方形, , , 四边形 是平行四边形, , , , , , 在 和 中, , 点F在以 为直径的圆上运动,圆心O为 的中点, 如图所示, ,即 , 当且仅当C、F、O三点共线时, 最小, , 在 中, , , , , 故答案为: . 【点睛】本题考查了线段的最小值问题,正方形的性质,平行四边形的性质,圆周角定理及其推论,三角 形全等的证明,正确作出辅助线,推导出F的运动轨迹是解题的关键. 三、作图题(本大题共4分.请用直尺、圆规作图,不写作法,但要保留作图痕迹) 17.如图,点A、B是直线MN外同侧的两点,请用尺规在直线MN上求作一点P,使得 . (保留作图痕迹,不写作法) 【答案】见解析 【分析】要使点P在MN上,且有∠APM=∠BPN.根据轴对称的性质和对顶角相等的性质可知,作点A关于直线MN的对称点A′,连接A′B交直线l于点P即可. 【详解】解:如图所示: 以 为圆心,以任意长度为半径交 于点 ,分别以 为圆心 长度为半径在 下方作弧,两 弧交于点 ,连接 ,交 于点 ,则点P即为所求. 【点睛】本题考查了作垂线,作轴对称图形,掌握轴对称的性质和对顶角相等的性质是解题的关键. 四、解答题(本大题共9个小题,共68分.解答应写出文字说明,证明过程或演算步骤) 18.(1)先化简,再求代数式 的值,其中 (2)解下列不等式组 【答案】(1) , ;(2) 【分析】本题考查分式的化简求值,特殊角的三角函数值的混合运算和解不等式组. (1)先根据分式的混合运算法则,进行化简,再根据特殊角的三角函数值求出 的值,再代入化简后的式 子计算即可.掌握分式的混合运算法则,熟记特殊角的三角函数值,是解题的关键. (2)根据解不等式组直接求解即可. 【详解】解:(1) ; .. ∴带入原式: (2) 解不等式 ,得 , 解不等式 ,得 , ∴解集为 19.“一字一世界,一书一天堂.”读书能丰富人的精神世界,启智润心,要让读书成为一种习惯,成为一 种有品质的生活方式.为了解成年人的阅读情况,某社区进行了家庭成年人阅读情况调查,社区工作人员随 机抽取了40户家庭进行问卷调查,将调查结果分为A、 之内、B、 、C、 、D、 以上四个等级,下面是部分统计结果. 阅读时间在1.0~2.0h范围内的数据如下: 1.3,1.5,1.2,1.7,1.3,1.1,1.5,1.4,1.3,1.8, 1.7,1.2,1.3,1.0,1.3,1.4,1.5,1.6,1.2,1.9 等级 阅读时间/h 频数 A 16 B a C b D 4 合计 40请结合以上信息解答下列问题: (1) ______, ______; (2)B组数据的众数是______,中位数是______; (3)统计图中C组对应扇形的圆心角为______度; (4)该社区宣传工作人员有2男1女,要从中随机选2人参加阅读宣传活动,请用画树状图法或列表法求恰 好选中“1男1女”的概率. 【答案】(1)12 , 8 (2)1.3 , 1.3 (3)72 (4) 【分析】本题主要考查频数分布表,扇形统计图以及求概率: (1)在阅读时间在1.0~2.0h范围内的数据中可以得出 的频数a, 的频数b; (2)根据众数和中位数的定义求解即可; (3)先计算C组所占百分比,再乘以 即可得到圆心角的度数; (4)运用列表得出所有等可能的结果数和选中“1男1女”的结果数,再根据概率公式求解即可 【详解】(1)解:阅读时间在 范围内的数据中 有1.3,1.2,1.3,1.1,1.4,1.3, 1.2,1.3,1.0,1.3,1.4,1.2,共12个, 故 ; 内的数据为1.5,1.7,1.5,1.8,1.7,1.5,1.6,1.9,共8个, 故 ; 故答案为:12;8 (2)解:在 中的数据按大小顺序排列为:1.0,1.1,1.2,1.2,1.2,1.3,1.3,1.3,1.3, 1.3,1.4,1.4, 其中,1.3出现次数最多,故众数是1.3; 按大小顺序排列,最中间两个数据是1.3,1.3, 所以,中位数是故答案为:1.3,1.3 (3)解: , 故答案为: ; (4)解:列表如下: 男 男 女 男 (男,男) (女,男) 男 (男,男) (女,男) 女 (男,女) (男,女) 由上表可知,所有等可能的结果共有6种,其中恰好抽到1男1女的结果有4种, 所以恰好选中“1男1女”的概率是 . 20.如图①,在我国古建筑的大门上常常悬挂着巨大的匾额,图②中的线段 就是悬挂在墙壁 上的 某块匾额的截面示意图.已知 米, ,从水平地面点D处看点C的仰角 ,从 点E处看点B的仰角 ,且 米. (1)求点C到墙壁 的距离; (2)求匾额悬挂的高度 的长.(参考数据: ) 【答案】(1)点C到墙壁 的距离为 米 (2)匾额悬挂的高度是4米 【分析】本题主要考查了解直角三角形的实际应用,矩形的性质与判定; (1)过C作 于F, 直接解 求出 的长即可得到答案; (2)过C作 于H,则四边形 是矩形,可得 .解 得到米;求出 ,解直角三角形得到 ,再解 ,得到 ,则 ,可得 , 米,. 【详解】(1)解:如图所示,过C作 于F, 在 中, 米, ∴ 米; 答:点C到墙壁 的距离为 米; (2)解:过C作 于H, ∴ , 则四边形 是矩形, ∴ . 在 中, 米, , ∴ 米 在 中, , ∴ , ∴ , 在 中, , ∴ , ∴ , ∴ , ∴ 米, 答:匾额悬挂的高度是4米.21.如图, 是 的外接圆, 为 的直径,点 为弧 中点,连接 ,作 的平分线 交 于点 ,连接 . (1)求证: ; (2)若过C点的切线与 的延长线交于点F,已知 ,求弧 、线段 围成的阴影部分面 积; 【答案】(1)见详解 (2)1 【分析】(1)先根据圆周角定理得到 ,则 ,然后证明 得 到 ; (2)连接 、 ,如图,根据垂径定理得到 ,则利用 和 都为等腰直角三角形, 所以 ,再根据切线的性质得到 ,接着证明 为等腰直角三角形得到 ,然后根据扇形的面积公式,利用弧 、线段 、 围成的阴影部分面积 进行计算.本题考查了切线的性质:圆的切线垂直于经过切点的半径.也考查了垂径定理、圆周角定理和扇形的面积 公式. 【详解】(1)证明: 为 的直径, , 点 为弧 中点, , , 平分 , , , , , ; (2)解:连接 、 ,如图, 点 为弧 中点, , ∴ 和 都为等腰直角三角形, , , , 为 的切线, , ,, ∴ 为等腰直角三角形, , 弧 、线段 、 围成的阴影部分面积 . 22.如图,在平面直角坐标系中,反比例函数 的图象与一次函数 的图象交于A,B两点, 其中A点坐标为 . (1)求反比例函数与一次函数的解析式及B点坐标; (2)根据图象直接写出不等式 的解集; (3)若点C在y轴上,且满足 的面积为10,求点C的坐标. 【答案】(1) , , (2) 或 (3) 或 【分析】本题考查待定系数法求解析式,反比例函数与一次函数的交点问题,三角形的面积. (1)采用待定系数法,把点 代入函数 和 ,即可求出m和k的值,从而得到反比 例函数和一次函数的解析式.解两个函数构成的方程组,即可得到交点坐标,从而解答; (2)根据图象,不等式的的解集就是反比例函数的图象位于一次函数图象上方时横坐标x的取值范围;(3)先求出一次函数 图象与y轴的交点 ,过点 作 轴于点E,过点 作 轴于点F,得到 , ,设C点的坐标为 ,则 ,根据 即可得到方程,求解即可. 【详解】(1)解:∵点 在反比例函数 和一次函数 的图象上; ∴ , , 解得: , , ∴反比例函数的解析式为 , 一次函数的解析式为 ; 解方程组 ,得 , , 经检验, , 均是方程组的解, ∴反比例函数与一次函数图象的另一交点B的坐标为 ; (2)由图象可知,不等式 的解集是 或 ; (3)设 与y轴的交点为M, 令 ,则 ,∴点M的坐标为 , 过点 作 轴于点E,过点 作 轴于点F, ∴ , 设C点的坐标为 , ∴ ∵ ∴ , ∴ , 解得 或 , ∴点C的坐标为 或 . 23.某运动品牌店欲购进一批单价为20元/套的球服,如果按每套40元销售,那么一个月内可售出200套, 根据销售经验,提高销售单价会导致销售量的减少,即每套售价每提高1元,每个月的销售量相应减少5 套.设销售单价为 元/套,销售量y套. (1)y与x之间的函数表达式是__________; (2)设销售总利润为w(元),求w与x的函数关系式,并求出当销售单价为多少元/套时,才能在一个月内 获得最大利润?最大利润是多少? (3)若该店要求一个月内获利不低于2500元,则销售单价x的取值范围为__________; 【答案】(1) (2)当销售单价为50元/套时,获得最大利润,最大利润为4500元 (3) 【分析】本题考查了一次函数和二次函数的实际应用:(1)每套售价每提高1元,每个月的销售量相应减少5套,销售量 计算即可; (2)根据“总利润 单件利润 销售量”得到关系式,将关系式化为顶点式,即可得到最大利润; (3)将 代入(2)中的关系式,计算分析即可得到答案. 【详解】(1)解:由题意可得, , 故答案为: ; (2)解:销售单价为 元/套,则利润为 元/套, 总利润 , 当 时,w有最大值4500, 当销售单价为50元/套时,获得最大利润,最大利润为4500元; (3)解:将 代入 中, 解得: , , , 时,获利不低于2500元, 故答案为: . 24.为倡导“全民健身,健康向上”的生活方式,我市教育系统特举办教职工气排球比赛.比赛采取小组 循环,每场比赛实行三局两胜制,取实力最强的两支队伍参加决赛,从C组的比分胜负表中知道二中胜4 场负1场. 教职工气排球比赛比分胜负表(1)根据表中数据可知,一中共获胜___________场,“四中VS五中”的比赛获胜可能性最大的是 ___________; (2)若 处的比分是21∶10和21∶8,并且参加决赛的队伍是二中和五中,则 处的比分可以是___________和 ___________;(两局结束比赛,根据自己的理解填写比分); (3)若 处的比分是10∶21和8∶21, 处的比分是21∶18,15∶21,15∶12,那么实力最强的是哪两支队伍,请 说明理由. 【答案】(1)2,五中 (2) (答案不唯一) (3)二中和六中,理由见解析 【分析】(1)根据从C组的比分胜负表中知道二中胜4场负1场,可知表格中比分第一个数字是纵向表格 的单位,第二个数字是横向表格中的单位,据此可得一中获胜场次, (2)根据表格数据分析二中和五中,各自获得的总比分,列出二元一次方程组即可求解. (3)根据题意,求得六中的总分数,发现分数高于二中,由(2)可知二中分数比五中高,即可求解. 【详解】(1)根据表格可知,一中VS二中:输,一中VS三中:赢,一中VS四中:赢,一中VS五中: 输,一中VS三中:输,即获胜2场, 同理可得四中与一中、二中、三中、六中比赛中,4场皆输,五中与一中、二中、三中、六中比赛中,胜2 场负2场, “四中VS五中”的比赛获胜可能性最大的是五中 故答案为:2,五中(2)若 处的比分是21∶10和21∶8, 则二中获得的总分数为: 五中获得的总分数为: 设 出的比分为 , ,则 处的比分为 , 根据表格已知数据,三中胜1负3,六中胜2负2,而参加决赛的没有三中和六中,则三中和六中的比赛中 三中获胜,三中和六中成绩都为胜2负3,则 , 由表格可知,六中的总分是: , 三中的总分为: , 决赛队伍没有六中, ,即 三中和六中的比赛中三中获胜, 处的比分可以是: (答案不唯一,只要满足 即可) (3) 处的比分是21∶18,15∶21,15∶12, 则六中的总分是: ,且六中与三中比 赛中六中获胜,则成绩为胜3负2, 由(2)可知二中的总积分为226, 一中的总分数为 , 从总分数来看,六中和二中的总分数最高,故最强的支队伍是二中和六中. 【点睛】本题考查了数据统计,逻辑推理,不等式的应用,仔细分析题中数据是解题的关键. 25.如图①,在平面直角坐标系中,抛物线 与 轴交于 两点(点 在点 的左侧),与 轴交于点 ,连接 . (1)请你直接写出 两点的坐标,并求直线 的表达式.(2)如图②,点 为直线 上方抛物线上一动点,设点 的横坐标为 ,以点 为圆心的圆与直线 相切, 当 的半径最大时,求 的值. (3)设点 是抛物线对称轴上任意一点,点 是抛物线 上任意一点.是否存在这样的点 ,使 以 为顶点的四边形是平行四边形?若存在,请直接写出点 的坐标,若不存在,请说明理由. 【答案】(1) , , (2) (3)存在, 或 或 【分析】本题考查了二次函数综合,切线的性质,解直角三角形; (1)分别令 为 ,解方程得出 的坐标,进而待定系数求得直线 的解析式,即可求解; (2)过点 作 轴的垂线交直线 于点 ,设 , ,得出 的关系式, 进而过点 作直线 垂线交直线 于点 ,则 ,得出 的关系式,进而根据二 次函数的性质,即可求解; (3)设 , ,又 , ,分 , , 为对角线时,根据中点坐标公 式,即可求解. 【详解】(1)解:当 时, 解得: ∴ , 当 时, ∴ 设直线 的解析式为 ,将 , 代入得解得: ∴直线 的解析式为 (2)如图所示,过点 作 轴的垂线交直线 于点 , ∴设 , ∵ 在直线 的上方, ∴ ∵ , ∴ ∴ 是等腰直角三角形, 过点 作直线 垂线交直线 于点 ,则 ∴ ∵ 是 的切线, ∴ 即为 的半径, ∴当 时, 取得最大值,此时 取得最大值(3)解:∵ ,抛物线的对称轴为直线 , 点 是抛物线对称轴上任意一点,点 是抛物线 上任意一点. 设 , ,又 , ①当 为对角线时, ,解得: ,则 ,则 ; ②当 为对角线时, ,解得: ,则 ,则 ; ③当 为对角线时, ,解得: ,则 ,则 ; 综上所述 或 或 26.已知:如图,在矩形 中, ,点E为边 的中点,连接 , 交 于点F.点P从点B出发,沿 方向匀速运动,速度为2cm/s;同时,点Q从点A出发,沿 方 问匀速运动,速度为3cm/s,当一个点停止运动时,另一个点也停止运动.设运动时间为 . 解答下列问题: (1)当t为何值时,点P在线段 的垂直平分线上? (2)连接 ,设五边形 的面积为 ,求y与t的函数关系式; (3)在运动过程中,是否存在某一时刻 ,使点Q在 的平分线上?若存在,求出t的值;若不存在, 请说明理由.【答案】(1) (2) (3)存在,t的值是 . 【分析】(1)在 中,根据勾股定理,得 ,过P作 于 ,证明 , 根据相似三角形的性质即可求解; (2)根据相似三角形的性质求出 、 的长,由面积的和差即可得出S与t的关系式; (3)过Q作 于 ,若点 在 的平分线上,则 ,分别延长 、 相交于点 , 根据相似三角形的性质求出 ,从而得到 ,解 【详解】(1)解:∵ , ,点 为边 的中点, ∴ , 在Rt△ECB中,根据勾股定理,得 , 过 作 于 , 若点 在线段 的垂直平分线上, 则 , , ∵ , ∵ , ∴ , ∴ , ∴ ,即 ,∴ , ∴当 时,点P在线段BQ的垂直平分线上; (2)解:∵四边形 是矩形, , ,点 为边 的中点, ∴ , , , ∵ , ∴ , ∴ , ∴ , ∴ ,即 , ∴ , 由(1)知, , ∴ ,即 , ∴ , ∴五边形 的面积 ;, ∴y与t的函数式为: ; (3)过 作 于 若点Q在 的平分线上,则 ,分别延长 、 相交于点 , ∵四边形 是矩形, ∴ ,∴ , ∴ , ∴ , ∴ , ∵ , , ∴ , ∴ ,即 , ∴ , ∴ , 解得: . 答:存在,t的值是 . 【点睛】本题考查了矩形的性质、相似三角形的判定与性质、面积的计算等知识;解题关键是用速度时间 表示线段长,根据题意列出方程或比例式.
基本 文件 流程 错误 SQL 调试
  1. 请求信息 : 2026-03-10 13:12:04 HTTP/1.1 GET : https://www.yeyulingfeng.com/wendang/134656.html
  2. 运行时间 : 0.383643s [ 吞吐率:2.61req/s ] 内存消耗:5,646.08kb 文件加载:144
  3. 缓存信息 : 0 reads,0 writes
  4. 会话信息 : SESSION_ID=16ca69b4a6ff9ceadddef624eb983720
  1. /yingpanguazai/ssd/ssd1/www/wwww.yeyulingfeng.com/public/index.php ( 0.79 KB )
  2. /yingpanguazai/ssd/ssd1/www/wwww.yeyulingfeng.com/vendor/autoload.php ( 0.17 KB )
  3. /yingpanguazai/ssd/ssd1/www/wwww.yeyulingfeng.com/vendor/composer/autoload_real.php ( 2.49 KB )
  4. /yingpanguazai/ssd/ssd1/www/wwww.yeyulingfeng.com/vendor/composer/platform_check.php ( 0.90 KB )
  5. /yingpanguazai/ssd/ssd1/www/wwww.yeyulingfeng.com/vendor/composer/ClassLoader.php ( 14.03 KB )
  6. /yingpanguazai/ssd/ssd1/www/wwww.yeyulingfeng.com/vendor/composer/autoload_static.php ( 6.05 KB )
  7. /yingpanguazai/ssd/ssd1/www/wwww.yeyulingfeng.com/vendor/topthink/think-helper/src/helper.php ( 8.34 KB )
  8. /yingpanguazai/ssd/ssd1/www/wwww.yeyulingfeng.com/vendor/topthink/think-validate/src/helper.php ( 2.19 KB )
  9. /yingpanguazai/ssd/ssd1/www/wwww.yeyulingfeng.com/vendor/ralouphie/getallheaders/src/getallheaders.php ( 1.60 KB )
  10. /yingpanguazai/ssd/ssd1/www/wwww.yeyulingfeng.com/vendor/topthink/think-orm/src/helper.php ( 1.47 KB )
  11. /yingpanguazai/ssd/ssd1/www/wwww.yeyulingfeng.com/vendor/topthink/think-orm/stubs/load_stubs.php ( 0.16 KB )
  12. /yingpanguazai/ssd/ssd1/www/wwww.yeyulingfeng.com/vendor/topthink/framework/src/think/Exception.php ( 1.69 KB )
  13. /yingpanguazai/ssd/ssd1/www/wwww.yeyulingfeng.com/vendor/topthink/think-container/src/Facade.php ( 2.71 KB )
  14. /yingpanguazai/ssd/ssd1/www/wwww.yeyulingfeng.com/vendor/symfony/deprecation-contracts/function.php ( 0.99 KB )
  15. /yingpanguazai/ssd/ssd1/www/wwww.yeyulingfeng.com/vendor/symfony/polyfill-mbstring/bootstrap.php ( 8.26 KB )
  16. /yingpanguazai/ssd/ssd1/www/wwww.yeyulingfeng.com/vendor/symfony/polyfill-mbstring/bootstrap80.php ( 9.78 KB )
  17. /yingpanguazai/ssd/ssd1/www/wwww.yeyulingfeng.com/vendor/symfony/var-dumper/Resources/functions/dump.php ( 1.49 KB )
  18. /yingpanguazai/ssd/ssd1/www/wwww.yeyulingfeng.com/vendor/topthink/think-dumper/src/helper.php ( 0.18 KB )
  19. /yingpanguazai/ssd/ssd1/www/wwww.yeyulingfeng.com/vendor/symfony/var-dumper/VarDumper.php ( 4.30 KB )
  20. /yingpanguazai/ssd/ssd1/www/wwww.yeyulingfeng.com/vendor/guzzlehttp/guzzle/src/functions_include.php ( 0.16 KB )
  21. /yingpanguazai/ssd/ssd1/www/wwww.yeyulingfeng.com/vendor/guzzlehttp/guzzle/src/functions.php ( 5.54 KB )
  22. /yingpanguazai/ssd/ssd1/www/wwww.yeyulingfeng.com/vendor/topthink/framework/src/think/App.php ( 15.30 KB )
  23. /yingpanguazai/ssd/ssd1/www/wwww.yeyulingfeng.com/vendor/topthink/think-container/src/Container.php ( 15.76 KB )
  24. /yingpanguazai/ssd/ssd1/www/wwww.yeyulingfeng.com/vendor/psr/container/src/ContainerInterface.php ( 1.02 KB )
  25. /yingpanguazai/ssd/ssd1/www/wwww.yeyulingfeng.com/app/provider.php ( 0.19 KB )
  26. /yingpanguazai/ssd/ssd1/www/wwww.yeyulingfeng.com/vendor/topthink/framework/src/think/Http.php ( 6.04 KB )
  27. /yingpanguazai/ssd/ssd1/www/wwww.yeyulingfeng.com/vendor/topthink/think-helper/src/helper/Str.php ( 7.29 KB )
  28. /yingpanguazai/ssd/ssd1/www/wwww.yeyulingfeng.com/vendor/topthink/framework/src/think/Env.php ( 4.68 KB )
  29. /yingpanguazai/ssd/ssd1/www/wwww.yeyulingfeng.com/app/common.php ( 0.03 KB )
  30. /yingpanguazai/ssd/ssd1/www/wwww.yeyulingfeng.com/vendor/topthink/framework/src/helper.php ( 18.78 KB )
  31. /yingpanguazai/ssd/ssd1/www/wwww.yeyulingfeng.com/vendor/topthink/framework/src/think/Config.php ( 5.54 KB )
  32. /yingpanguazai/ssd/ssd1/www/wwww.yeyulingfeng.com/config/alipay.php ( 3.59 KB )
  33. /yingpanguazai/ssd/ssd1/www/wwww.yeyulingfeng.com/vendor/topthink/framework/src/think/facade/Env.php ( 1.67 KB )
  34. /yingpanguazai/ssd/ssd1/www/wwww.yeyulingfeng.com/config/app.php ( 0.95 KB )
  35. /yingpanguazai/ssd/ssd1/www/wwww.yeyulingfeng.com/config/cache.php ( 0.78 KB )
  36. /yingpanguazai/ssd/ssd1/www/wwww.yeyulingfeng.com/config/console.php ( 0.23 KB )
  37. /yingpanguazai/ssd/ssd1/www/wwww.yeyulingfeng.com/config/cookie.php ( 0.56 KB )
  38. /yingpanguazai/ssd/ssd1/www/wwww.yeyulingfeng.com/config/database.php ( 2.48 KB )
  39. /yingpanguazai/ssd/ssd1/www/wwww.yeyulingfeng.com/config/filesystem.php ( 0.61 KB )
  40. /yingpanguazai/ssd/ssd1/www/wwww.yeyulingfeng.com/config/lang.php ( 0.91 KB )
  41. /yingpanguazai/ssd/ssd1/www/wwww.yeyulingfeng.com/config/log.php ( 1.35 KB )
  42. /yingpanguazai/ssd/ssd1/www/wwww.yeyulingfeng.com/config/middleware.php ( 0.19 KB )
  43. /yingpanguazai/ssd/ssd1/www/wwww.yeyulingfeng.com/config/route.php ( 1.89 KB )
  44. /yingpanguazai/ssd/ssd1/www/wwww.yeyulingfeng.com/config/session.php ( 0.57 KB )
  45. /yingpanguazai/ssd/ssd1/www/wwww.yeyulingfeng.com/config/trace.php ( 0.34 KB )
  46. /yingpanguazai/ssd/ssd1/www/wwww.yeyulingfeng.com/config/view.php ( 0.82 KB )
  47. /yingpanguazai/ssd/ssd1/www/wwww.yeyulingfeng.com/app/event.php ( 0.25 KB )
  48. /yingpanguazai/ssd/ssd1/www/wwww.yeyulingfeng.com/vendor/topthink/framework/src/think/Event.php ( 7.67 KB )
  49. /yingpanguazai/ssd/ssd1/www/wwww.yeyulingfeng.com/app/service.php ( 0.13 KB )
  50. /yingpanguazai/ssd/ssd1/www/wwww.yeyulingfeng.com/app/AppService.php ( 0.26 KB )
  51. /yingpanguazai/ssd/ssd1/www/wwww.yeyulingfeng.com/vendor/topthink/framework/src/think/Service.php ( 1.64 KB )
  52. /yingpanguazai/ssd/ssd1/www/wwww.yeyulingfeng.com/vendor/topthink/framework/src/think/Lang.php ( 7.35 KB )
  53. /yingpanguazai/ssd/ssd1/www/wwww.yeyulingfeng.com/vendor/topthink/framework/src/lang/zh-cn.php ( 13.70 KB )
  54. /yingpanguazai/ssd/ssd1/www/wwww.yeyulingfeng.com/vendor/topthink/framework/src/think/initializer/Error.php ( 3.31 KB )
  55. /yingpanguazai/ssd/ssd1/www/wwww.yeyulingfeng.com/vendor/topthink/framework/src/think/initializer/RegisterService.php ( 1.33 KB )
  56. /yingpanguazai/ssd/ssd1/www/wwww.yeyulingfeng.com/vendor/services.php ( 0.14 KB )
  57. /yingpanguazai/ssd/ssd1/www/wwww.yeyulingfeng.com/vendor/topthink/framework/src/think/service/PaginatorService.php ( 1.52 KB )
  58. /yingpanguazai/ssd/ssd1/www/wwww.yeyulingfeng.com/vendor/topthink/framework/src/think/service/ValidateService.php ( 0.99 KB )
  59. /yingpanguazai/ssd/ssd1/www/wwww.yeyulingfeng.com/vendor/topthink/framework/src/think/service/ModelService.php ( 2.04 KB )
  60. /yingpanguazai/ssd/ssd1/www/wwww.yeyulingfeng.com/vendor/topthink/think-trace/src/Service.php ( 0.77 KB )
  61. /yingpanguazai/ssd/ssd1/www/wwww.yeyulingfeng.com/vendor/topthink/framework/src/think/Middleware.php ( 6.72 KB )
  62. /yingpanguazai/ssd/ssd1/www/wwww.yeyulingfeng.com/vendor/topthink/framework/src/think/initializer/BootService.php ( 0.77 KB )
  63. /yingpanguazai/ssd/ssd1/www/wwww.yeyulingfeng.com/vendor/topthink/think-orm/src/Paginator.php ( 11.86 KB )
  64. /yingpanguazai/ssd/ssd1/www/wwww.yeyulingfeng.com/vendor/topthink/think-validate/src/Validate.php ( 63.20 KB )
  65. /yingpanguazai/ssd/ssd1/www/wwww.yeyulingfeng.com/vendor/topthink/think-orm/src/Model.php ( 23.55 KB )
  66. /yingpanguazai/ssd/ssd1/www/wwww.yeyulingfeng.com/vendor/topthink/think-orm/src/model/concern/Attribute.php ( 21.05 KB )
  67. /yingpanguazai/ssd/ssd1/www/wwww.yeyulingfeng.com/vendor/topthink/think-orm/src/model/concern/AutoWriteData.php ( 4.21 KB )
  68. /yingpanguazai/ssd/ssd1/www/wwww.yeyulingfeng.com/vendor/topthink/think-orm/src/model/concern/Conversion.php ( 6.44 KB )
  69. /yingpanguazai/ssd/ssd1/www/wwww.yeyulingfeng.com/vendor/topthink/think-orm/src/model/concern/DbConnect.php ( 5.16 KB )
  70. /yingpanguazai/ssd/ssd1/www/wwww.yeyulingfeng.com/vendor/topthink/think-orm/src/model/concern/ModelEvent.php ( 2.33 KB )
  71. /yingpanguazai/ssd/ssd1/www/wwww.yeyulingfeng.com/vendor/topthink/think-orm/src/model/concern/RelationShip.php ( 28.29 KB )
  72. /yingpanguazai/ssd/ssd1/www/wwww.yeyulingfeng.com/vendor/topthink/think-helper/src/contract/Arrayable.php ( 0.09 KB )
  73. /yingpanguazai/ssd/ssd1/www/wwww.yeyulingfeng.com/vendor/topthink/think-helper/src/contract/Jsonable.php ( 0.13 KB )
  74. /yingpanguazai/ssd/ssd1/www/wwww.yeyulingfeng.com/vendor/topthink/think-orm/src/model/contract/Modelable.php ( 0.09 KB )
  75. /yingpanguazai/ssd/ssd1/www/wwww.yeyulingfeng.com/vendor/topthink/framework/src/think/Db.php ( 2.88 KB )
  76. /yingpanguazai/ssd/ssd1/www/wwww.yeyulingfeng.com/vendor/topthink/think-orm/src/DbManager.php ( 8.52 KB )
  77. /yingpanguazai/ssd/ssd1/www/wwww.yeyulingfeng.com/vendor/topthink/framework/src/think/Log.php ( 6.28 KB )
  78. /yingpanguazai/ssd/ssd1/www/wwww.yeyulingfeng.com/vendor/topthink/framework/src/think/Manager.php ( 3.92 KB )
  79. /yingpanguazai/ssd/ssd1/www/wwww.yeyulingfeng.com/vendor/psr/log/src/LoggerTrait.php ( 2.69 KB )
  80. /yingpanguazai/ssd/ssd1/www/wwww.yeyulingfeng.com/vendor/psr/log/src/LoggerInterface.php ( 2.71 KB )
  81. /yingpanguazai/ssd/ssd1/www/wwww.yeyulingfeng.com/vendor/topthink/framework/src/think/Cache.php ( 4.92 KB )
  82. /yingpanguazai/ssd/ssd1/www/wwww.yeyulingfeng.com/vendor/psr/simple-cache/src/CacheInterface.php ( 4.71 KB )
  83. /yingpanguazai/ssd/ssd1/www/wwww.yeyulingfeng.com/vendor/topthink/think-helper/src/helper/Arr.php ( 16.63 KB )
  84. /yingpanguazai/ssd/ssd1/www/wwww.yeyulingfeng.com/vendor/topthink/framework/src/think/cache/driver/File.php ( 7.84 KB )
  85. /yingpanguazai/ssd/ssd1/www/wwww.yeyulingfeng.com/vendor/topthink/framework/src/think/cache/Driver.php ( 9.03 KB )
  86. /yingpanguazai/ssd/ssd1/www/wwww.yeyulingfeng.com/vendor/topthink/framework/src/think/contract/CacheHandlerInterface.php ( 1.99 KB )
  87. /yingpanguazai/ssd/ssd1/www/wwww.yeyulingfeng.com/app/Request.php ( 0.09 KB )
  88. /yingpanguazai/ssd/ssd1/www/wwww.yeyulingfeng.com/vendor/topthink/framework/src/think/Request.php ( 55.78 KB )
  89. /yingpanguazai/ssd/ssd1/www/wwww.yeyulingfeng.com/app/middleware.php ( 0.25 KB )
  90. /yingpanguazai/ssd/ssd1/www/wwww.yeyulingfeng.com/vendor/topthink/framework/src/think/Pipeline.php ( 2.61 KB )
  91. /yingpanguazai/ssd/ssd1/www/wwww.yeyulingfeng.com/vendor/topthink/think-trace/src/TraceDebug.php ( 3.40 KB )
  92. /yingpanguazai/ssd/ssd1/www/wwww.yeyulingfeng.com/vendor/topthink/framework/src/think/middleware/SessionInit.php ( 1.94 KB )
  93. /yingpanguazai/ssd/ssd1/www/wwww.yeyulingfeng.com/vendor/topthink/framework/src/think/Session.php ( 1.80 KB )
  94. /yingpanguazai/ssd/ssd1/www/wwww.yeyulingfeng.com/vendor/topthink/framework/src/think/session/driver/File.php ( 6.27 KB )
  95. /yingpanguazai/ssd/ssd1/www/wwww.yeyulingfeng.com/vendor/topthink/framework/src/think/contract/SessionHandlerInterface.php ( 0.87 KB )
  96. /yingpanguazai/ssd/ssd1/www/wwww.yeyulingfeng.com/vendor/topthink/framework/src/think/session/Store.php ( 7.12 KB )
  97. /yingpanguazai/ssd/ssd1/www/wwww.yeyulingfeng.com/vendor/topthink/framework/src/think/Route.php ( 23.73 KB )
  98. /yingpanguazai/ssd/ssd1/www/wwww.yeyulingfeng.com/vendor/topthink/framework/src/think/route/RuleName.php ( 5.75 KB )
  99. /yingpanguazai/ssd/ssd1/www/wwww.yeyulingfeng.com/vendor/topthink/framework/src/think/route/Domain.php ( 2.53 KB )
  100. /yingpanguazai/ssd/ssd1/www/wwww.yeyulingfeng.com/vendor/topthink/framework/src/think/route/RuleGroup.php ( 22.43 KB )
  101. /yingpanguazai/ssd/ssd1/www/wwww.yeyulingfeng.com/vendor/topthink/framework/src/think/route/Rule.php ( 26.95 KB )
  102. /yingpanguazai/ssd/ssd1/www/wwww.yeyulingfeng.com/vendor/topthink/framework/src/think/route/RuleItem.php ( 9.78 KB )
  103. /yingpanguazai/ssd/ssd1/www/wwww.yeyulingfeng.com/route/app.php ( 3.82 KB )
  104. /yingpanguazai/ssd/ssd1/www/wwww.yeyulingfeng.com/vendor/topthink/framework/src/think/facade/Route.php ( 4.70 KB )
  105. /yingpanguazai/ssd/ssd1/www/wwww.yeyulingfeng.com/vendor/topthink/framework/src/think/route/dispatch/Controller.php ( 4.74 KB )
  106. /yingpanguazai/ssd/ssd1/www/wwww.yeyulingfeng.com/vendor/topthink/framework/src/think/route/Dispatch.php ( 10.44 KB )
  107. /yingpanguazai/ssd/ssd1/www/wwww.yeyulingfeng.com/app/controller/Index.php ( 9.68 KB )
  108. /yingpanguazai/ssd/ssd1/www/wwww.yeyulingfeng.com/app/BaseController.php ( 2.05 KB )
  109. /yingpanguazai/ssd/ssd1/www/wwww.yeyulingfeng.com/vendor/topthink/think-orm/src/facade/Db.php ( 0.93 KB )
  110. /yingpanguazai/ssd/ssd1/www/wwww.yeyulingfeng.com/vendor/topthink/think-orm/src/db/connector/Mysql.php ( 5.44 KB )
  111. /yingpanguazai/ssd/ssd1/www/wwww.yeyulingfeng.com/vendor/topthink/think-orm/src/db/PDOConnection.php ( 52.47 KB )
  112. /yingpanguazai/ssd/ssd1/www/wwww.yeyulingfeng.com/vendor/topthink/think-orm/src/db/Connection.php ( 8.39 KB )
  113. /yingpanguazai/ssd/ssd1/www/wwww.yeyulingfeng.com/vendor/topthink/think-orm/src/db/ConnectionInterface.php ( 4.57 KB )
  114. /yingpanguazai/ssd/ssd1/www/wwww.yeyulingfeng.com/vendor/topthink/think-orm/src/db/builder/Mysql.php ( 16.58 KB )
  115. /yingpanguazai/ssd/ssd1/www/wwww.yeyulingfeng.com/vendor/topthink/think-orm/src/db/Builder.php ( 24.06 KB )
  116. /yingpanguazai/ssd/ssd1/www/wwww.yeyulingfeng.com/vendor/topthink/think-orm/src/db/BaseBuilder.php ( 27.50 KB )
  117. /yingpanguazai/ssd/ssd1/www/wwww.yeyulingfeng.com/vendor/topthink/think-orm/src/db/Query.php ( 15.71 KB )
  118. /yingpanguazai/ssd/ssd1/www/wwww.yeyulingfeng.com/vendor/topthink/think-orm/src/db/BaseQuery.php ( 45.13 KB )
  119. /yingpanguazai/ssd/ssd1/www/wwww.yeyulingfeng.com/vendor/topthink/think-orm/src/db/concern/TimeFieldQuery.php ( 7.43 KB )
  120. /yingpanguazai/ssd/ssd1/www/wwww.yeyulingfeng.com/vendor/topthink/think-orm/src/db/concern/AggregateQuery.php ( 3.26 KB )
  121. /yingpanguazai/ssd/ssd1/www/wwww.yeyulingfeng.com/vendor/topthink/think-orm/src/db/concern/ModelRelationQuery.php ( 20.07 KB )
  122. /yingpanguazai/ssd/ssd1/www/wwww.yeyulingfeng.com/vendor/topthink/think-orm/src/db/concern/ParamsBind.php ( 3.66 KB )
  123. /yingpanguazai/ssd/ssd1/www/wwww.yeyulingfeng.com/vendor/topthink/think-orm/src/db/concern/ResultOperation.php ( 7.01 KB )
  124. /yingpanguazai/ssd/ssd1/www/wwww.yeyulingfeng.com/vendor/topthink/think-orm/src/db/concern/WhereQuery.php ( 19.37 KB )
  125. /yingpanguazai/ssd/ssd1/www/wwww.yeyulingfeng.com/vendor/topthink/think-orm/src/db/concern/JoinAndViewQuery.php ( 7.11 KB )
  126. /yingpanguazai/ssd/ssd1/www/wwww.yeyulingfeng.com/vendor/topthink/think-orm/src/db/concern/TableFieldInfo.php ( 2.63 KB )
  127. /yingpanguazai/ssd/ssd1/www/wwww.yeyulingfeng.com/vendor/topthink/think-orm/src/db/concern/Transaction.php ( 2.77 KB )
  128. /yingpanguazai/ssd/ssd1/www/wwww.yeyulingfeng.com/vendor/topthink/framework/src/think/log/driver/File.php ( 5.96 KB )
  129. /yingpanguazai/ssd/ssd1/www/wwww.yeyulingfeng.com/vendor/topthink/framework/src/think/contract/LogHandlerInterface.php ( 0.86 KB )
  130. /yingpanguazai/ssd/ssd1/www/wwww.yeyulingfeng.com/vendor/topthink/framework/src/think/log/Channel.php ( 3.89 KB )
  131. /yingpanguazai/ssd/ssd1/www/wwww.yeyulingfeng.com/vendor/topthink/framework/src/think/event/LogRecord.php ( 1.02 KB )
  132. /yingpanguazai/ssd/ssd1/www/wwww.yeyulingfeng.com/vendor/topthink/think-helper/src/Collection.php ( 16.47 KB )
  133. /yingpanguazai/ssd/ssd1/www/wwww.yeyulingfeng.com/vendor/topthink/framework/src/think/facade/View.php ( 1.70 KB )
  134. /yingpanguazai/ssd/ssd1/www/wwww.yeyulingfeng.com/vendor/topthink/framework/src/think/View.php ( 4.39 KB )
  135. /yingpanguazai/ssd/ssd1/www/wwww.yeyulingfeng.com/vendor/topthink/framework/src/think/Response.php ( 8.81 KB )
  136. /yingpanguazai/ssd/ssd1/www/wwww.yeyulingfeng.com/vendor/topthink/framework/src/think/response/View.php ( 3.29 KB )
  137. /yingpanguazai/ssd/ssd1/www/wwww.yeyulingfeng.com/vendor/topthink/framework/src/think/Cookie.php ( 6.06 KB )
  138. /yingpanguazai/ssd/ssd1/www/wwww.yeyulingfeng.com/vendor/topthink/think-view/src/Think.php ( 8.38 KB )
  139. /yingpanguazai/ssd/ssd1/www/wwww.yeyulingfeng.com/vendor/topthink/framework/src/think/contract/TemplateHandlerInterface.php ( 1.60 KB )
  140. /yingpanguazai/ssd/ssd1/www/wwww.yeyulingfeng.com/vendor/topthink/think-template/src/Template.php ( 46.61 KB )
  141. /yingpanguazai/ssd/ssd1/www/wwww.yeyulingfeng.com/vendor/topthink/think-template/src/template/driver/File.php ( 2.41 KB )
  142. /yingpanguazai/ssd/ssd1/www/wwww.yeyulingfeng.com/vendor/topthink/think-template/src/template/contract/DriverInterface.php ( 0.86 KB )
  143. /yingpanguazai/ssd/ssd1/www/wwww.yeyulingfeng.com/runtime/temp/10a0c909b6afa23b5a52a2e2d58c3c0f.php ( 21.72 KB )
  144. /yingpanguazai/ssd/ssd1/www/wwww.yeyulingfeng.com/vendor/topthink/think-trace/src/Html.php ( 4.42 KB )
  1. CONNECT:[ UseTime:0.000472s ] mysql:host=127.0.0.1;port=3306;dbname=wenku;charset=utf8mb4
  2. SHOW FULL COLUMNS FROM `fenlei` [ RunTime:0.000610s ]
  3. SELECT * FROM `fenlei` WHERE `fid` = 0 [ RunTime:0.003847s ]
  4. SELECT * FROM `fenlei` WHERE `fid` = 63 [ RunTime:0.001690s ]
  5. SHOW FULL COLUMNS FROM `set` [ RunTime:0.000495s ]
  6. SELECT * FROM `set` [ RunTime:0.007274s ]
  7. SHOW FULL COLUMNS FROM `wendang` [ RunTime:0.000687s ]
  8. SELECT * FROM `wendang` WHERE `id` = 134656 LIMIT 1 [ RunTime:0.013417s ]
  9. UPDATE `wendang` SET `liulancishu` = 7 WHERE `id` = 134656 [ RunTime:0.004395s ]
  10. UPDATE `wendang` SET `lasttime` = 1773119524 WHERE `id` = 134656 [ RunTime:0.006627s ]
  11. SELECT * FROM `wendang` WHERE `id` < 134656 ORDER BY `id` DESC LIMIT 1 [ RunTime:0.001977s ]
  12. SELECT * FROM `wendang` WHERE `id` > 134656 ORDER BY `id` ASC LIMIT 1 [ RunTime:0.002306s ]
  13. SELECT * FROM `wendang` WHERE `id` <> 134656 ORDER BY `id` DESC LIMIT 10 [ RunTime:0.043043s ]
  14. SELECT * FROM `wendang` WHERE `id` <> 134656 ORDER BY `id` DESC LIMIT 10,10 [ RunTime:0.057300s ]
  15. SELECT * FROM `wendang` WHERE `id` <> 134656 ORDER BY `id` DESC LIMIT 20,10 [ RunTime:0.086765s ]
0.387854s