当前位置:首页>文档>物理-吉林省2026届高三九校11月联合模拟考_251128吉林省2026届高三九校11月联合模拟考(全科)

物理-吉林省2026届高三九校11月联合模拟考_251128吉林省2026届高三九校11月联合模拟考(全科)

  • 2026-04-21 17:26:35 2026-02-08 22:05:29

文档预览

物理-吉林省2026届高三九校11月联合模拟考_251128吉林省2026届高三九校11月联合模拟考(全科)
物理-吉林省2026届高三九校11月联合模拟考_251128吉林省2026届高三九校11月联合模拟考(全科)
物理-吉林省2026届高三九校11月联合模拟考_251128吉林省2026届高三九校11月联合模拟考(全科)
物理-吉林省2026届高三九校11月联合模拟考_251128吉林省2026届高三九校11月联合模拟考(全科)
物理-吉林省2026届高三九校11月联合模拟考_251128吉林省2026届高三九校11月联合模拟考(全科)
物理-吉林省2026届高三九校11月联合模拟考_251128吉林省2026届高三九校11月联合模拟考(全科)
物理-吉林省2026届高三九校11月联合模拟考_251128吉林省2026届高三九校11月联合模拟考(全科)
物理-吉林省2026届高三九校11月联合模拟考_251128吉林省2026届高三九校11月联合模拟考(全科)
物理-吉林省2026届高三九校11月联合模拟考_251128吉林省2026届高三九校11月联合模拟考(全科)
物理-吉林省2026届高三九校11月联合模拟考_251128吉林省2026届高三九校11月联合模拟考(全科)
物理-吉林省2026届高三九校11月联合模拟考_251128吉林省2026届高三九校11月联合模拟考(全科)
物理-吉林省2026届高三九校11月联合模拟考_251128吉林省2026届高三九校11月联合模拟考(全科)
物理-吉林省2026届高三九校11月联合模拟考_251128吉林省2026届高三九校11月联合模拟考(全科)
物理-吉林省2026届高三九校11月联合模拟考_251128吉林省2026届高三九校11月联合模拟考(全科)
物理-吉林省2026届高三九校11月联合模拟考_251128吉林省2026届高三九校11月联合模拟考(全科)
物理-吉林省2026届高三九校11月联合模拟考_251128吉林省2026届高三九校11月联合模拟考(全科)
物理-吉林省2026届高三九校11月联合模拟考_251128吉林省2026届高三九校11月联合模拟考(全科)
物理-吉林省2026届高三九校11月联合模拟考_251128吉林省2026届高三九校11月联合模拟考(全科)
物理-吉林省2026届高三九校11月联合模拟考_251128吉林省2026届高三九校11月联合模拟考(全科)
物理-吉林省2026届高三九校11月联合模拟考_251128吉林省2026届高三九校11月联合模拟考(全科)
物理-吉林省2026届高三九校11月联合模拟考_251128吉林省2026届高三九校11月联合模拟考(全科)
物理-吉林省2026届高三九校11月联合模拟考_251128吉林省2026届高三九校11月联合模拟考(全科)
物理-吉林省2026届高三九校11月联合模拟考_251128吉林省2026届高三九校11月联合模拟考(全科)
物理-吉林省2026届高三九校11月联合模拟考_251128吉林省2026届高三九校11月联合模拟考(全科)

文档信息

文档格式
pdf
文档大小
1.151 MB
文档页数
20 页
上传时间
2026-02-08 22:05:29

文档内容

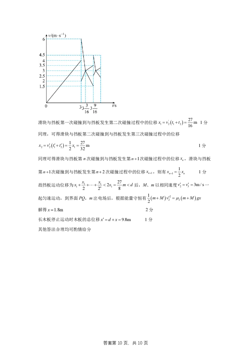
2026 届高三九校联合模拟考试 物理科试题 本试卷分客观题和主观题两部分,共15题,共100分。考试时间为75 分钟。考试结束后,只交答题卡。 第Ⅰ卷 客观题 一、选择题(本题共10小题,共46分。在每小题给出的四个选项中, 第1-7小题只有一项符合题目要求,每小题4分。第8-10小题有多项符 合题目要求,每小题6分,全部选对的得6分,选对但不全的得3分, 有选错的得0分) 1.“物理”二字最早出现在中文中,是取“格物致理”四字的简称,即考察 事物的形态和变化,总结研究它们的规律的意思。我们要在学习物理知 识之外,还要了解物理学家是如何发现物理规律的,领悟并掌握处理物 理问题的思想与方法。下列关于四幅图的相关叙述不正确的是( ) A.图甲中遮光条越窄,通过光电门的平均速度越接近瞬时速度,这是极 限思想 B.图乙实验中一个弹簧测力计拉动结点和两个弹簧测力计共同拉动结点 作用效果相同,这是理想模型的思想 C.利用图丙装置探究小车的加速度与拉力的关系时,运用控制变量法和 比较法来控制两小车有相同的运动时间,从而可以得到两小车的加速度 大小关系 D.伽利略对自由落体运动的研究,通过抽象思维、数学推导和科学实验 相结合,使用了合理外推的方法 2026届高三九校联合模拟考试物理科试卷 第1页(共10页)2.2024年6月,中国无人机成功飞越了“世界之巅”。如图甲,某次无人 机从地面静止开始竖直向上飞行,图乙为它运动的 2026届高三九校联合模拟考试物理科试卷 第2页(共10页) v − t 图像,图像中的 ab段和cd 段均为直线。下列说法正确的是( ) A.空气对无人机的作用力和无人机对空气的作用力是一对平衡力 B.无人机在 t3 ~ t4 过程中处于失重状态 C.无人机在t ~t 过程中受到的合外力越来越大 1 2 D.无人机在t t 过程中机械能先增大后减小 1˜˜4 3.高铁是我国的一张亮丽名片,高铁技术处于世界领先水平。高铁组是 由长度相同的动车和拖车编组而成,提供动力的车厢叫动车,不提供动 力的车厢叫拖车。某和谐号动车组由8节车厢组成,其中第1、第3和第 5节车厢为动车,其余为拖车。假设动车组各车厢质量均为m,每节动车 的额定功率均为 P ,动车组在水平直轨道上运行过程中阻力与车重成正比 (比例系数为 k )。下列说法正确的是( ) A.开启两节动车和三节动车全开启行驶时的最大行驶速度之比为2:3 B.动力全开启匀加速出站时第1、2节车厢间与第4、5节车厢间的作用 力之比为1:2C.和谐号匀加速出站时第1节车厢和第3节车厢通过启动时与车头前端 齐平的电线杆的时间之比为2:1 D.和谐号进站时,关闭发动机后仅在运动阻力作用下滑行的距离与关闭 发动机时的速度成正比 4.如图所示,在趣味运动会的“聚力建高塔”活动中,两长度相等的细绳 一端系在同一个物块上,两名同学分别握住绳的另一端,保持手在同一 水平面以相同速率v相向运动,使物块以速度v 匀速竖直下落,某时刻绳 0 与竖直方向的夹角为。下列说法正确的是( ) v A.该时刻手的速率v= 0 sin2 B.该过程中细绳对物块的拉力变大 C.该时刻手的速率 2026届高三九校联合模拟考试物理科试卷 第3页(共10页) v v 0 ta n  = D.该过程中细绳对物块的拉力不变 5.如图所示,在建造房屋过程中,工人通过绕过光滑定滑轮的轻绳移动 重物。若斜面体上表面光滑,则在重物缓慢下降的过程中,斜面体始终 保持静止,则( ) A.绳中拉力先减小后增大 B.重物受到的支持力一直减小 C.斜面受到地面的支持力保持不变 D.斜面受到地面的摩擦力一直增大6.一带负电粒子在电场中的P点由静止释放后沿直线运动,该过程粒子 速度的平方 2026届高三九校联合模拟考试物理科试卷 第4页(共10页) v 2 随位移 x 变化情况如图所示,粒子运动过程仅受电场力作 用,则此电场的电场线分布可能为( ) A. B. C. D. 7.图为环卫工人用高压水枪冲洗马路情景:射向地面的水看成横截面积 为S的水柱,以速度大小为v(方向与地面成53°角)喷到水平地面,随 即以与地面成37°角被溅起,溅起时的速率为 v 2 ,设水对地面作用力与地 面成θ角,则θ的正切值为( ) A. 1 5 2 5 B. 5 11 5 C. D. 2 28.如图甲所示为在某时刻,沿 2026届高三九校联合模拟考试物理科试卷 第5页(共10页) x 轴正方向传播的简谐波的波动图像,该 时刻刚好传播到平衡位置 x = 8 m 的 P 位置, Q 点位于x=14m处,以y轴 正方向为位移、速度和加速度的正方向,图乙为 x = 0 处质点的速度随时 间变化的图像。下列说法正确的是( ) A.t=1s时, x = 0 处质点的加速度达到最大值 B.该简谐波沿 x 轴正方向传播的速度为 2 .0 m / s C.图甲所示时刻 P 位置的质点振动方向沿 y 轴负方向 D.从图甲所示时刻开始再经过 4 s , Q 位置的质点第一次达到波峰位置 9.宇航员飞到一个被稠密气体包围的某行星上进行科学探索。他站在该 行星表面,从静止释放一个质量为m的物体,由于运动时气体阻力(阻力 与速度有关)的作用,其加速度随下落位移变化的关系图象如图所示。已 知该星球半径为R,万有引力常量为G。下列说法正确的是( ) A.该行星的平均密度为 4 3 a G 0 R  B.卫星在距该行星表面高h处的圆轨道上运行 4 (R+h)3 的周期为 R a 0 C.该行星的第一宇宙速度为 a R 0 ma x D.物体下落过程中的最大动能为 0 0 210.如图所示,倾角=37 的传送带以v =1m/s的速度沿顺时针方向匀 0 速转动,将质量为1kg的物块B轻放在传送带下端,同时质量也为1kg的 物块A从传送带上端以 2026届高三九校联合模拟考试物理科试卷 第6页(共10页) v 1 = 2 m / s 的初速度沿传送带下滑,结果两物块恰 好没有在传送带上相碰,物块与传送带间的动摩擦因数均为0.8,不计物 块大小,重力加速度 g 取 1 0 m / s 2 ,sin37 =0.6,cos37 =0.8。则 ( ) A. A 、 B 两物块刚在传送带上运动时 加速度相同 B.两物块在传送带上运动到刚好相遇 所用时间为 5 s C.传送带上下端间的距离为12.5m D.在运动过程中 A 、 B 两物块与传送带因摩擦产生的总热量为 8 0 J 第Ⅱ卷 主观题 二、实验题(本题共2小题,11题6分,12题8分,共14分) 11.如图为验证动量守恒定律的实验装置,实验中选取两个半径相同、质 量不等的小球,按下面步骤进行实验: A.用天平测出两个小球的质量分别为 m 1 和 m 2 ; B.安装实验装置,将斜槽AB固定在桌边,使槽 的末端切线水平,再将一斜面BC连接在斜槽末 端; C.先不放小球m ,让小球m 从斜槽顶端A处由静止释放,标记小球在 2 1 斜面上的落点位置P; D.将小球m 放在斜槽末端B处,仍让小球m 从斜槽顶端A处由静止释 2 1放,两球发生碰撞,分别标记小球 2026届高三九校联合模拟考试物理科试卷 第7页(共10页) m 1 、 m 2 在斜面上的落点位置; E.用毫米刻度尺测出各落点位置到斜槽末端B的距离,图中M、P、N 点是实验过程中记下的小球在斜面上的三个落点位置,M、P、N三点到 B点的距离分别为 s M 、 s P 、 s N 。 依据上述实验步骤,请回答下面问题: (1)两小球的质量 m 1 、 m 2 应满足 m 1 m 2 (填“  ”“ = ”或“  ”)。 (2)用实验中测得的数据来表示,只要满足关系式 ,就能说明两球碰 撞前后动量是守恒的。 (3)如果两个小球的碰撞是弹性碰撞,图中P、M分别是小球 m 1 碰前碰后 的落点位置,实验测得 B M = 9 cm, B P = 1 6 cm,则小球 m 2 的落点位置 BN = cm。 12.小恺同学思考发现如图所示组合器材,既可以进行“探究加速度与 力、质量的关系”的实验,也同时可用于“探究物体所受合力做功与动能变 化的关系”实验。于是他采用如图所示实验装置进行探究。实验中,小恺 研究了小车的加速度与力、质量的关系,也探究了砂和砂桶的运动过程 所受合力做功是否等于其动能增量。忽略细线与滑轮间的摩擦阻力。 ( (1)本实验 (填“需要”或者“不需要”)满足 m 远小于M 的条件。 (2)实验过程中 (填“需要”或者“不需要”)平衡小车 M 所受的摩 擦力。(3)小恺同学实验前测出砂和砂桶的总质量m,重力加速度为 2026届高三九校联合模拟考试物理科试卷 第8页(共10页) g 。接通 打点计时器的电源,静止释放砂和砂桶,带着小车开始做加速运动,读 出运动过程中力传感器的读数 T ,通过纸带得出起始点 O (初速度为零的 点)到某点 A 的位移 L ,并通过纸带算出 A 点的速度v。对 m 研究,所需 验证的动能定理的表达式为 (请用题干中提到的物理量字母表示)。 (4)通过纸带测出了起始点O到不同点 A 、 B 、 C 、 D 的位移及 A、B、C、D的速度,并做出了 v 2 − L 图中所示的实线。 (5)在让小车质量不变的情况下逐渐增加砂的质量多次做实验,得到如 v 2 − L 图中虚线 (填“甲”或者“乙”)所示的图线。 三、解答题(其中13题10分,14题12分,15题18分) 13.将一只篮球在空中水平向右抛出,落地后又反弹,篮球的抛出点高 度、两次落点的位置、第一次反弹后的高度等数据如图所示,已知该篮 球质量为0.6kg,不计空气阻力,加速度g=10m/s2,求该篮球: (1)从抛出到第一次落地的时间t; (2)第一次反弹后的速度v大小; (3)第一次落地时所受摩擦力的冲量I。14.如图(a),竖直平面内,一长度大于4 m的水平轨道OP与光滑半圆 形轨道PNM在P点平滑连接,固定在水平地面上。可视为质点的A、B 两小物块靠在一起,静置于轨道左端。现用一水平向右推力F作用在A 上,使A、B向右运动。以x表示A离开初始位置的位移,F随x变化的 图像如图(b)所示。已知A、B质量均为0.2 kg,A与水平轨道间的动 摩擦因数为0.25,B与水平轨道间的摩擦不计,重力加速度大小取 10m/s2。 (1)求A离开初始位置向右运动1 m的过程中,推力F做的功; (2)求A的位移为1 m时,A、B间的作用力大小; (3)要保证B能到达M点,求半圆形轨道半径应满足的条件。 2026届高三九校联合模拟考试物理科试卷 第9页(共10页)15.如图所示,界面PQ的左侧有匀强电场,电场强度大 2026届高三九校联合模拟考试物理科试卷 第10页(共10页) E = 1 0 0 0 N / C , 方向水平向右。质量m=3kg、电荷量q=+0.01C的小滑块(大小忽略不 计)放在一两端有固定弹性挡板(挡板厚度不计)的木板上,它与木板 间的动摩擦因数 1 0 .2  = ,木板的质量为M =1kg,木板与水平地面间的 动摩擦因数  2 = 0 .2 5 ,板长 L = 6 m ,木板的右端距电场边界PQ的距离 d =8m,重力加速度g取10m/s2,滑块与挡板间发生的碰撞为弹性碰 撞,且时间极短,可忽略不计,碰撞过程中滑块的电荷量不变。求: (1)滑块与挡板第一次碰撞前滑块的速度。 (2)滑块与挡板第二次碰撞后滑块的速度。 (3)木板停止运动时木板的总位移。2026届高三九校联合模拟考试物理科试题参考答案 题号 1 2 3 4 5 6 7 8 9 10 答案 B B A C D D C BD ACD AD 1.B 【详解】A.遮光条越窄,该时间内通过的距离越短,可近似将平均速度视为瞬时速度, 这运用了极限思想,A正确 B.一个弹力的效果与两个弹力的效果相同,这是等效替代的思想,B错误; C.探究小车的加速度与拉力的关系时,运用控制变量法和比较法来控制两小车有相同的 运动时间,可得到两小车的加速度大小关系,C正确; D.伽利略对自由落体运动的研究,通过抽象思维、数学推导和科学实验相结合,使用了 合理外推的方法,D正确。 本题选择错误的,故选B。 2.B 【详解】A.空气对无人机的作用力和无人机对空气的作用力是一对相互作用力,故A错 误; B.由乙图可知,无人机在t ~t 过程中减速上升,其加速度方向竖直向下,处于失重状 3 4 态,故B正确; C.根据v-t图像中图线的斜率表示加速度,由乙图可知,无人机在t ~t 过程中加速度恒 1 2 定,根据牛顿第二定律F =ma 合 可知无人机受到的合外力保持不变,故C错误; D.无人机在t t 过程中空气对无人机的作用力一直做正功,机械能一直增大,故D错 1˜˜4 误。 故选B。 3.A 【详解】A.开启两节动车时2P=8kvmg 1 动力全开时3P=8kv mg 2 v 2 可得最大行驶速度比为 1 = ,故A正确; v 3 2 B.动力全开匀加速出站时对整车受力分析知3F−8kmg =8ma 答案第1页,共10页对第1节车厢有F−F −kmg =ma 1 对后4节车厢有F +F−4kmg =4ma 2 解得F :F =5:4,故B错误; 1 2 C.由各节车厢的长度相同,从静止开始匀加速运动,且启动时电线杆恰与车头前端齐 平,由匀变速直线运动的规律可知,第1节车厢和第3节车厢通过电线杆的时间之比 ( ) t :t =1: 3− 2 ,故C错误; 1 3 1 D.和谐号进站时,从关闭发动机到停下来由阻力做功改变其动能,由8kmgs= 8mv2 2 1 得s= v2 2kg 故滑行的距离与关闭发动机时的速度平方成正比,故D错误。 故选A。 4.C 【详解】AC.将v和v 分别沿绳和垂直于绳方向分解,如图所示 0 则沿绳方向的分速度相等,即v cos=vsin 0 v 解得v= 0 ,故A错误,C正确 tan BD.设细绳对物块的拉力大小为T ,根据物块受力平衡有2Tcos=mg mg 解得T = 2cos 物块向下匀速运动过程中减小,则cos增大,T 减小,故BD错误。 故选C。 5.D 【详解】AB.对重物受力分析,如图所示 答案第2页,共10页重物缓慢下降的过程中,重物所受重力大小方向不变,支持力的方向不变,而绳拉力的方 向不断变化,根据图解法可知,重物所受支持力N不断增大,绳拉力F不断减小,故AB 错误; C.设连接重物的绳与水平面的夹角为,对重物和斜面整体,在竖直方向有 (M +m)g =Fsin+F N 重物缓慢下降的过程中,不断减小,sin减小,所以F 不断增大,故C错误; N D.设斜面体的倾角为,对斜面体分析,重物所受支持力等于重物对斜面体的压力,水平 方向有 Nsin= f 则摩擦力逐渐增大,故D正确; 故选D。 6.D 【详解】将粒子的v2−x图像与匀变速直线运动的v2−x图像比对,根据匀变速直线运动 v2 =2ax,可得v2−x图像的斜率恒定。由图中斜率变化可知,粒子的加速度逐渐减小,可 知粒子向着场强减小的方向运动,即向着电场线较稀疏的方向运动,又带负电粒子受电场 力方向与电场线方向相反,所以D答案符合题意。 故选D。 7.C 【详解】选取质量为Δm的水为研究对象,设水与地面的作用时间为Δt,取向右为正方 v 向,水平方向根据动量定理得−Ftcos=m cos37−mvcos53 2 v 取竖直向上为正方向,竖直方向根据动量定理得Ftsin=m sin37−(−mvsin53) 2 11 解得tan= 2 故选C。 答案第3页,共10页8.BD 【详解】A.由乙图可知, 答案第4页,共10页 t = 1 s 时, x = 0 处质点的速度最大,此时质点对应的加速度为 0,A错误; B.由甲图得波长为 8 m ,由乙图得周期为4s,求得 v T 8 4 m /s 2 .0 m /s  = = = B正确; C.根据波的传播,先动的带动后动的,可得图甲所示时刻 P 位置的质点振动方向沿 y 轴正 方向,C错误; D.从图甲所示时刻开始Q位置的质点第一次达到波峰位置所用时间为 t = x v = 1 4 − 2 6 s = 4 s D正确。 故选BD。 9.ACD 【详解】A.开始下落时的加速度为a ,则 0 G M R m 2 = m a 0 该行星的平均密度为 M 3a = = 0 4 4GR R3 3 选项A正确; B.卫星在距该行星表面高h处的圆轨道上运行时 G ( R M m h ) 2 m 4 T 2 2 ( R h )  + = + 可得周期为 T 2 R ( R a 0 h ) 3  = + 选项B错误; C.在恒星表面飞行的卫星,根据万有引力提供向心力 Mm v2 G =m R2 R 可得第一宇宙速度答案第5页,共10页 v = a 0 R 选项C正确; D.根据 v 2 = 2 a x 可知a-x图像的面积等于 1 2 v 2 ,则 1 2 v 2m = 1 2 a 0 x 0 物体下落过程中的最大动能为 E km = 1 2 m v 2m = m a 02 x 0 选项D正确。 故选ACD。 10.AD 【详解】A.物块A向下减速运动 m A g c o s m A g s in m A a 1    − = 解得物块A加速度大小a =gcos−gsin=0.4m/s2 1 物块B向上加速运动m gcos−m gsin=m a B B B 2 解得物块B加速度大小a =gcos−gsin=0.4m/s2 2 所以A、B两物块刚在传送带上运动时加速度相同,A正确; v 1 B.物块B在传送带上加速的时间t = 0 = s=2.5s 0 a 0.4 2 物块B在2.5s以后相对于传送带静止,以v =1m/s的速度向上匀速运动。 0 v −0 2 物块A向下减速的时间t = 1 = s=5s 1 a 0.4 1 v −0 1−0 物块A向上加速到与传送带速度相同所用时间t = 0 = s=2.5s 2 a 0.4 1 两个物块在与传送带共速时恰好相遇,所用时间t =t +t =7.5s,B错误; 1 2 1 C.在7.5s内物块B的位移大小为x = a t 2+v (t−t )=6.25m 2 2 2 0 0 0 在7.5s内物块A的位移大小为 x 1 = v 1 + ( 2 − v 0 ) t = 3 .7 5 m 传送带上下端间的距离L=x +x =10m,C错误; 1 2D.物块A与传送带的相对位移大小x =v t+x =11.25m 3 0 1 物块B与传送带的相对位移大小 答案第6页,共10页 x 4 = v 0 t 0 − 1 2 a 2 t 0 2 = 1 .2 5 m 因摩擦产生的总热量 Q m A g c o s x 3 m B g c o s x 4     = + 解得Q=80J,D正确。 故选AD。 11.(1)> (2) m 1 s P = m 1 s M + m 2 s N (3)49 【详解】(1)为了防止入射球碰后反弹,一定要保证入射球的质量大于被碰球的质量。 (2)碰撞前,小球m 落在图中的 1 P 点,设其水平初速度为 v 1 ,小球 m 1 和m 发生碰撞后, 2 小球m 的速度增大,小球m 的速度减小,都做平抛运动,m 的落点在图中的 2 1 1 M 点,设其 水平初速度为 v 1 ' , m 2 的落点是图中的 N 点,设其水平初速度为 v 2 ,设斜面 B C 与水平面的 倾角为,根据平抛运动规律有 s M s in 1 2 g t 2  = , s M c o s v t1  =  gs (cos)2 解得 v= M 1 2sin gs (cos)2 gs (cos)2 同理可解得v = P ,v = N 1 2sin 2 2sin 所以只要满足mv =m v +mv 1 1 2 2 1 1 即m s =m s +m s ,则说明两球碰撞过程中动量守恒。 1 P 1 M 2 N 1 1 1 (3)如果满足小球的碰撞为弹性碰撞,则应满足 mv2 = mv '2+ m v2 2 1 1 2 1 1 2 2 2 代入上一问的速度表达式可得ms =ms +m s 1 P 1 M 2 N 联立m s =m s +m s 1 P 1 M 2 N 可得 s + s = s P M N 解得s =49cm N12. 不需要 需要 答案第7页,共10页 2 ( m g − T ) L = 1 2 m ( 2 v ) 2 甲 【详解】[1]实验中,根据力传感器的读数可以直接求出小车受到的拉力,不需要满足小车 的质量M远大于砂和砂桶的总质量m这一条件。 [2]尽管实验装置采用了力传感器,也需要平衡摩擦力,否则力传感器的示数不等于合力大 小。 [3]对m研究,根据动能定理有 2 ( m g − T ) L = 1 2 m ( 2 v ) 2 1 [4]对小车,根据动能定理有2TL= Mv2 2 4mg 4g v2 = L= L 解得 4m+M M 4+ m 逐渐增加砂的质量m,v2−L图像的斜率越大,故在让小车质量不变的情况下逐渐增加砂 的质量多次做实验,得到 v 2 − L 图中虚线“甲”所示的图线。 13.(1) 0 .8 s (2) 2 1 0 m / s (3) 0 .6 k g  m / s ,方向水平向左 【详解】(1)篮球从抛出到第一次落地做平抛运动,竖直方向有 h = 1 2 g t 2 2h 23.2 解得t= = s=0.8s 2分 g 10 (2)第一次反弹后篮球做斜上抛运动,竖直方向有 t  = 2 2 h g  = 2 2  1 1 0 .8 s = 1 .2 s 则反弹后篮球的竖直分速度大小为 v y = g  t 2 = 1 0  1 .2 2 m / s = 6 m / s 2分 水平方向有 x  = v  tx  x 2.4 解得反弹后篮球的水平分速度大小为v = = m/s=2m/s 1分 x t 1.2 则第一次反弹后的速度大小为v= v2+v2 =2 10m/s 1分 x y (3)篮球从抛出到第一次落地过程,水平方向有x=v t x x 2.4 解得水平分速度大小为v = = m/s=3m/s 2分 x t 0.8 第一次落地过程,由动量定理可得I =mv −mv =−0.6kgm/s f x x可知第一次落地时所受摩擦力的冲量大小为 答案第8页,共10页 0 .6 k g  m / s ,方向水平向左。2分 14.(1)1.5J (2)0.5N (3) r  0 .2 m 【详解】(1)求 ﹣0 1 m ,F做的功 W = F x = 1 .5  1 J = 1 .5 J 2分 (2)对AB整体,根据牛顿第二定律 F − f = 2 m a 其中 f =mg 2分 对B根据牛顿第二定律F =ma AB 联立解得 F A B = 0 .5 N 2分 (3)当A、B之间的弹力为零时,A、B分离,根据(2)分析可知此时F=0.5N 此时x=3m 1分 1 过程中,对A、B根据动能定理W −mgx= 2mv2 F 2 根据题图可得 W F = 1 .5 J + 0 .5 + 2 1 .5  2 J = 3 .5 J 2分 从P点到 M 点,根据动能定理 − m g  2 r m ax = 1 2 m v 2m in − 1 2 m v 2 1分 在M 点的最小速度满足 m g = m v r 2m in m ax 联立可得 r m ax = 0 .2 m 1分 即圆弧半径满足的条件 r  0 .2 m 。 1分 15.(1) 4 m / s (2) 2 .5 m / s (3) 9 .8 m 【详解】(1)滑块与挡板第一次碰撞前,设其速度为v ,根据动能定理得 1 1 EqL−mgL= mv2 2分 1 2 1 解得v =4m/s 1分 1 (2)滑块与挡板第一次碰撞过程,根据动量守恒有mv =mv +Mv 1 2 3 1 1 1 根据能量守恒有 mv2 = mv2+ Mv2 1分 2 1 2 2 2 3联立解得 答案第9页,共10页 v 2 = 2 m / s , v 3 = 6 m / s 1分 碰后对m分析,根据牛顿第二定律有 E q 1 m g m a 1  + = 16 解得a = m/s2 1 3 对M分析,根据牛顿第二定律有 1 m g 2 ( m g M g ) M a 2   + + = 解得a =16m/s2 1分 2 设经时间 t1 ,M、m共速,则有 v 2 + a t1 1 = v 3 − a 2 t1 3 解得t = s 1 16 故M、m共速的速度v =v =3m/s 1分 2 3 M、m共速后,对m分析,根据牛顿第二定律有 E q 1 m g m a 1  − =  4 解得a= m/s2 1 3 对M分析,根据牛顿第二定律有 2 ( m g M g ) 1 m g M a 2   + − =  解得a =4m/s2 1分 2 共速前后M与m的相对位移大小相等,则有 1 2 ( a 1 + a 2 ) 2 t1 = 1 2 ( a 1 + a 2  ) t 22 3 解得t = s 1分 2 8 滑块将与挡板发生第二次碰撞前,m的速度 v 2 = v 2 + a t1 2 = 3 .5 m / s M的速度 v 3 = v 3 − a 2 t 2 = 1 .5 m / s 1分 滑块与挡板第二次碰撞过程,根据动量守恒有 m v 2 + M v 3 = m v 2 + M v  3 1 1 1 1 根据能量守恒有 mv2+ Mv2 = mv2+ Mv2 1分 2 2 2 3 2 2 2 3 解得v=2.5m/s,v=4.5m/s 1分 2 3 即第二次碰撞后滑块的速度为2.5m/s。 (3)作出v-t图像如图所示滑块与挡板第一次碰撞到与挡板发生第二次碰撞过程中的位移 答案第10页,共10页 x 1 = v '2 ( t1 + t 2 ) = 2 1 7 6 m 1分 同理,可得滑块与挡板第二次碰撞到与挡板发生第三次碰撞过程中的位移 1 27 x =v(t+t)= x = m 1分 2 2 1 2 2 1 32 同理可得滑块与挡板第n次碰撞到与挡板发生第 n + 1 次碰撞过程中的位移 x n ,滑块与挡板 第n+1次碰撞到与挡板发生第 n + 2 次碰撞过程中的位移 x n + 1 ,则有 x n + 1 = 1 2 x n 1分 故挡板运动位移为 x 1 + x 12 + + x 2 1n  2 x 1 = 2 7 8 m  d 后,M、m以相同速度 v 2 = v 3 = 3 m / s 一 起匀速运动,到界面PQ,m出电场后,根据能量守恒有 1 2 ( m M ) v 22 2 ( m M ) g x  +  = + 解得x=1.8m 2分 长木板停止运动时木板的总位移 x  = d + x = 9 .8 m 1分 其他答法合理均可酌情给分