当前位置:首页>文档>精品解析:2022年山东省威海市中考生物真题(原卷版)_中考真题_8.生物中考真题2015-2024年_2022年全国中考生物114份14

精品解析:2022年山东省威海市中考生物真题(原卷版)_中考真题_8.生物中考真题2015-2024年_2022年全国中考生物114份14

  • 2026-04-02 23:10:08 2026-02-09 01:33:41

文档预览

精品解析:2022年山东省威海市中考生物真题(原卷版)_中考真题_8.生物中考真题2015-2024年_2022年全国中考生物114份14
精品解析:2022年山东省威海市中考生物真题(原卷版)_中考真题_8.生物中考真题2015-2024年_2022年全国中考生物114份14
精品解析:2022年山东省威海市中考生物真题(原卷版)_中考真题_8.生物中考真题2015-2024年_2022年全国中考生物114份14
精品解析:2022年山东省威海市中考生物真题(原卷版)_中考真题_8.生物中考真题2015-2024年_2022年全国中考生物114份14
精品解析:2022年山东省威海市中考生物真题(原卷版)_中考真题_8.生物中考真题2015-2024年_2022年全国中考生物114份14
精品解析:2022年山东省威海市中考生物真题(原卷版)_中考真题_8.生物中考真题2015-2024年_2022年全国中考生物114份14
精品解析:2022年山东省威海市中考生物真题(原卷版)_中考真题_8.生物中考真题2015-2024年_2022年全国中考生物114份14
精品解析:2022年山东省威海市中考生物真题(原卷版)_中考真题_8.生物中考真题2015-2024年_2022年全国中考生物114份14
精品解析:2022年山东省威海市中考生物真题(原卷版)_中考真题_8.生物中考真题2015-2024年_2022年全国中考生物114份14
精品解析:2022年山东省威海市中考生物真题(原卷版)_中考真题_8.生物中考真题2015-2024年_2022年全国中考生物114份14
精品解析:2022年山东省威海市中考生物真题(原卷版)_中考真题_8.生物中考真题2015-2024年_2022年全国中考生物114份14
精品解析:2022年山东省威海市中考生物真题(原卷版)_中考真题_8.生物中考真题2015-2024年_2022年全国中考生物114份14
精品解析:2022年山东省威海市中考生物真题(原卷版)_中考真题_8.生物中考真题2015-2024年_2022年全国中考生物114份14
精品解析:2022年山东省威海市中考生物真题(原卷版)_中考真题_8.生物中考真题2015-2024年_2022年全国中考生物114份14

文档信息

文档格式
docx
文档大小
0.825 MB
文档页数
10 页
上传时间
2026-02-09 01:33:41

文档内容

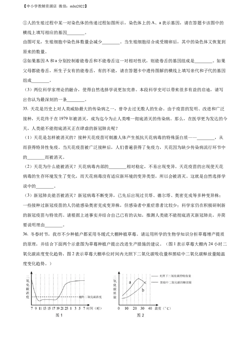
【中小学教辅资源店 微信:mlxt2022】 威海市 2022 年初中学业考试 生物学 一、选择题 1. “人是铁,饭是钢,一顿不吃饿得慌。”这句俗语能反映出生物的特征是( ) 的 A. 生物能生长和繁殖 B. 生物 生活需要营养 C. 生物具有遗传和变异的特性 D. 生物能对外界刺激作出反应 2. 民间素有“惊蛰雨雷,小麦成堆”的农谚。我市今年春旱严重,由此对农作物产生影响的非生物因素是 ( ) A. 水分 B. 阳光 C. 空气 D. 温度 3. 制作人的口腔上皮细胞模型时,应出现在模型中的细胞结构是( ) A. 细胞壁 B. 液泡 C. 叶绿体 D. 细胞核 4. 下列细胞中,可以独立完成营养、呼吸、排泄、运动等各种复杂生命活动的是( ) A. 草履虫 B. 人的肌肉细胞 C. 玉米的根毛细胞 D. 洋葱鳞片叶内表皮细胞 5. 下图为造血干细胞产生血细胞的示意图。这一过程能够产生不同类型的血细胞,主要是因为( ) A. 细胞生长 B. 细胞分裂 C. 细胞分化 D. 细胞癌变 6. 茶叶由茶树的嫩叶加工而成。从植物体的结构层次看,茶叶属于( ) A. 细胞 B. 组织 C. 器官 D. 系统 7. 贯众是一种比较常见的植物,有根、茎、叶的分化,用孢子繁殖。贯众所属的植物类群是( ) A. 苔藓植物 B. 蕨类植物 C. 裸子植物 D. 被子植物 的 8. 下列有关柳树生长 叙述,正确的是( ) A. 根的生长依靠成熟区 B. 枝条是由芽发育而成的 C. 需要的营养物质全部来自土壤 D. 茎逐年加粗是木质部细胞分裂的结果【中小学教辅资源店 微信:mlxt2022】 9. 将一个透明塑料袋套在一株盆栽植物上,并将下口紧扎于茎的基部。一小时后,塑料袋内壁出现很多水 珠。这些水珠主要来自( ) A. 叶的光合作用 B. 叶的呼吸作用 C. 叶的蒸腾作用 D. 土壤中水分的蒸发 10. 图为雌蕊结构示意图,其中能发育成果实的是( ) A. ② B. ③ C. ④ D. ⑤ 11. 有人说:“包括人类在内的其他生物是攀扶着植物的茎蔓才站在这个星球上的。”下列关于对这句话 理解的叙述,最准确的是( ) A. 植物是地球上出现最早的生物类群 B. 植物是地球上数量最多的生物类群 的 C. 植物制造 有机物能满足自身生长、发育、繁殖的需要 的 D. 植物制造 有机物能为生物圈中其他生物提供基本的食物来源 12. 图为女性生殖系统部分结构示意图。下列叙述错误的是( ) A. ①产生卵细胞 B. ②是受精卵形成的场所 C. ③是胚胎发育的场所 D. 女性的主要生殖器官是③ 13. 测量胸围差时,受测者要尽力吸气,此时( ) A. 膈顶下降,肺扩张 B. 膈顶下降,肺收缩 C. 膈顶上升,肺扩张 D. 膈顶上升,肺收缩【中小学教辅资源店 微信:mlxt2022】 14. 某人尿液中出现了红细胞,他发生病变的部位最可能是( ) A. 肾小球 B. 肾小囊 C. 肾小管 D. 肾小管周围的毛细血管 15. 下图为人体内三种类型的血管及血流方向示意图。下列有关叙述正确的是( ) A. ①内流的一定是静脉血 B. ②能将血液从全身各部分送回心脏 C. ③的管壁只由一层上皮细胞构成 D. 与①相比,②的管壁较薄,弹性小 16. 人体血液循环中,体循环的起点是( ) A. 左心房 B. 右心房 C. 左心室 D. 右心室 17. 排汗和排尿是人体排泄的两种方式,汗液与尿液都含有的成分是( ) A. 水、无机盐、二氧化碳 B. 水、尿素、二氧化碳 C. 水、无机盐、葡萄糖 D. 水、无机盐、尿素 18. 图为人的眼球结构示意图。图中含有许多对光线敏感的细胞,能感受光的刺激的结构是( ) A. ① B. ② C. ③ D. ④ 19. 人体神经系统结构和功能的基本单位是( ) A. 神经 B. 神经元 C. 反射弧 D. 神经纤维 20. 眨眼反射是人生来就有的反射。下列有关叙述错误的是( ) A. 属于条件反射 B. 其结构基础是反射弧 的 C. 不需要大脑皮层 参与 D. 是人体对外界刺激发生的反应 21. 下列有关人体内生长激素的叙述,正确的是( ) A. 由甲状腺分泌 B. 由导管输送入血液 C. 幼年时分泌不足会患侏儒症 D. 幼年时分泌越多越好 22. 图为“复方消化酶胶囊说明书”的一部分。下列有关该药的叙述,错误的是( )【中小学教辅资源店 微信:mlxt2022】 A. 为复方制剂 B. 为非处方药 C. 是治疗胃炎的特效药 D. 有助于蛋白质、淀粉、脂肪的消化 23. 幽门螺旋菌是寄生在人体胃内的一种细菌。下列有关该细菌的叙述,正确的是( ) A. 用孢子繁殖 B. 是多细胞生物 C. 自己制造有机物 D. 没有成形的细胞核 24. 下列生物中,与海葵亲缘关系最近的是( ) A. 向日葵 B. 水螅 C. 涡虫 D. 乌贼 25. 下列不属于鸟类适于飞行特点的是( ) A. 身体呈流线型 B. 卵外有卵壳保护 C. 骨骼轻、薄、坚固 D. 龙骨突上附着发达的胸肌 26. 人体动作的产生需运动器官协调配合,经过一定的过程。下列排列顺序正确的是( ) ①骨受到牵动②骨绕关节活动③骨骼肌受到神经传来的刺激④骨骼肌收缩 A. ①②③④ B. ②①③④ C. ③④①② D. ④①②③ 27. 下列几种动物行为中,属于学习行为的是( ) A. 孔雀开屏 B. 蜘蛛结网 C. 蜜蜂采蜜 D. 老马识途 28. 动物与人类的关系十分密切。下列有关叙述错误的是( ) A. 蟾蜍捕食农业害虫 B. 蜜蜂为农作物传粉 C. 蛔虫与人体争夺营养 D. 蚯蚓危害农作物的根系 29. 下列成语和诗句与动物繁殖行为的对应关系,正确的是( ) A. 蜻蜓点水——求偶 B. 破茧成蝶——孵卵 C. 须臾十来往,犹恐巢中饥——育雏 D. 风吹绿水皱,蛙鸣翠荷惊——产卵 30. 海驴岛是我市境内的一个小海岛。每年春夏之际,都会有国家二级保护动物黄嘴白鹭在岛上筑巢、产 卵和育雏。下列保护黄嘴白鹭的措施中,最有效的是( ) A. 在海驴岛及周边建立自然保护区 B. 将黄嘴白鹭移入濒危动物繁育中心【中小学教辅资源店 微信:mlxt2022】 C. 将黄嘴白鹭的精子收入濒危物种的种质库 D. 将黄嘴白鹭移入邻近的西霞口野生动物园 二、简答题 31. 随着地球上人口增多而资源减少,人类开始了开辟新的生活空间的探索。继上世纪大型全封闭人工生 态系统“生物圈Ⅱ号”的实验失败之后,本世纪又有人提出了“火星移民计划”,准备在火星上构建人工 生态系统,并实现自给自足。作为中学生的我们,可以通过设计并制作密闭的生态瓶,体会如何构建新生 活空间。 (1)制作生态瓶通常选择绿色植物作为________,用泥沙或土壤中的细菌和真菌作为分解者,所选动物 与植物之间要具有________关系,从而使各种生物相互依存、相互制约。 (2)生态瓶制作完成后,应放置在________的地方,并提供适宜的温度,使生态瓶内进行________循环 和________流动,从而将各种成分联系成为一个统一的整体。 (3)生态瓶与人类想要开辟的大型新生活空间都属于人工生态系统,有着相同的________和运行机制, 因此通过生态瓶探索出的规律可应用于大型新生活空间的构建。但由于两者的“尺度”不同,构建时考虑 的重点也不相同,如构建生态瓶会重点考虑如何维持瓶中食物链的稳定,而构建大型新生活空间则需考虑 如何维持更为错综复杂的________的稳定,通过小小的生态瓶探索出的规律远远不能满足构建大型新生活 空间的需要。 32. 我们经常会食用鸡蛋为身体提供所需的蛋白质。那么,鸡蛋中的蛋白质进入人体后经历了怎样的过程 才能“变成”构成人体的蛋白质呢? (1)鸡蛋中的蛋白质是大分子有机物,需要在消化系统内被彻底分解成小分子的________才能被吸收利 用。 (2)蛋白质的分解主要依靠消化液中消化酶的作用。蛋白质被消化酶消化的起始器官是[ ]________, 主要器官是[ ]________。【中小学教辅资源店 微信:mlxt2022】 (3)食物颗粒越小,与消化液混合越充分,越有助于被消化。在人体消化系统中,能让鸡蛋变成小颗粒 和与消化液充分混合的器官有_________(填数字)。 (4)蛋白质被消化成小分子物质后,主要在[ ]______被吸收,然后运送到全身各处。在细胞中,这些 小分子物质重新组合形成新的蛋白质。 33. 2022年5月23日,中国科学院生物多样性委员会发布了2022版《中国生物物种名录》,下面是其中 的部分动物,请据图回答下列问题。 (1)图中动物具有共同的特征,都属于________动物。 (2)如果将①和③归为A类,②和④归为B类,A类在发育上区别于B类的特征是________,B类在形 态结构上区别于A类的特征是________。与A类将精子和卵细胞产在水中不同,B类将受精卵产在陆地上, 卵表面有坚韧的卵壳保护,因此,B类的生殖和发育可以摆脱_________,这是B类能够终生生活在陆地 上的重要原因。 (3)若将上述动物另分两类,你的分类依据是________。与此分类依据相比,将上述动物分为A、B两类 的分类依据更为科学,因为它更能体现生物之间的________关系。 34. 达尔文的自然选择学说是伟大的科学理论,被恩格斯誉为19世纪自然科学的三大发现之一。在自然选 择学说中,遗传和变异是自然选择的基础,而达尔文对于生物的性状如何遗传的解释还不尽如人意。达尔 文去世后,孟德尔的遗传研究成果被重新发现。他提出的性状遗传规律,恰好弥补了自然选择学说的不足。 (1)达尔文认为,生物的特征是由“泛子”决定的,“泛子”可以通过生殖过程传递给子代,从而使子 代表现出亲代的特征。达尔文想要通过“泛子”解释的是________。 A. 生物的性状是如何遗传的 B. 生物的性状是如何变异的 (2)孟德尔对生物性状如何遗传的解释。【中小学教辅资源店 微信:mlxt2022】 ①人的生殖过程中某一对染色体的传递过程如图所示,染色体上的A、a表示基因,请在答题卡该图中的 横线上填写相应的基因________。 由图可见,生殖细胞中染色体数量会减少________。当生殖细胞结合成受精卵后,其中的染色体又恢复到 原来的数量。 ②如果基因A和a分别控制着能卷舌和不能卷舌这一对相对性状,则能卷舌的基因组成是________。如果 父母都能卷舌,所生子女有的能卷舌,有的不能,请在答题卡中遗传图解的横线上填写亲代和子代的基因 组成________。 (3)两位科学家理论的融合,使得自然选择学说更加完善。本段科学史可以带来很多有益的启迪,请写 出你认为最深刻的一条________。 35. 天花是历史上对人类威胁最大的传染病之一,曾夺去过无数人的生命。由于疫苗的发明、改进和广泛 接种,天花终于在1979年被消灭,成为迄今为止人类唯一彻底消灭的传染病。那么,在医学更为发达的今 天,人类能不能彻底消灭正在肆虐的新冠肺炎呢? (1)天花是怎样被消灭的?接种天花疫苗可刺激人体产生抵抗天花病毒的特殊蛋白质——________,从 而获得特异性免疫。当天花疫苗被广泛接种后,人们普遍获得了免疫力,天花因为缺少传染病流行环节中 的________而被消灭。 (2)天花为什么能被消灭?天花病毒内部的________相对稳定,不易出现变异。天花疫苗的出现使天花 病毒的生存环境发生了变化,而天花病毒没有适应新环境的变异类型,所以会被消灭。这就是自然选择学 说中的________。 (3)新冠肺炎能否被消灭?新冠病毒不断变异,已先后出现过贝塔、德尔塔、奥密克戎等多种变异株; 一些接种过新冠疫苗的人仍能感染奥密克戎变异株,但感染者中重症患者比较少;科学家仍在积极研制新 的新冠疫苗与特效药。请根据上述事实并结合自己已有的认知,推测人类能不能彻底消灭新冠肺炎,并简 要说明理由________。 36. 冬春时节,我市不少种植户都采用冬暖式大棚种植草莓。请运用所学的生物学知识分析草莓增产提质 的原理,并结合下面两个示意图为草莓种植户提出改进生产措施的建议。(图1表示草莓大棚内24小时二 氧化碳浓度变化趋势,图2表示草莓大棚单位时间内光照下二氧化碳吸收量和黑暗中二氧化碳释放量随温 度变化趋势。)【中小学教辅资源店 微信:mlxt2022】 (1)草莓增产提质的关键是增加有机物的积累,为此,白天要提高草莓________作用的强度,以生产更 多的有机物;夜晚要________草莓呼吸作用强度,以减少有机物的消耗。 (2)生产上常采用提高二氧化碳浓度、控制环境温度等方法提高光合作用强度。根据图1,建议在 ________时左右打开大棚的通风口进行通风换气;根据图2中a曲线,建议白天大棚内温度控制在 ________℃左右。 (3)在低于5℃的环境下,草莓的生命活动会受到影响,需要在大棚上覆盖草苫。当夜间最低气温不低于 5℃时,根据图2中曲线b,建议夜晚________(要/不要)在大棚上覆盖草苫,请简要说明理由________。 37. 当太阳升起时,气孔慢慢张开;当夜幕降临时,大多数气孔缩小或闭合。白天,太阳既能提供光照, 也能提供热能使温度升高;夜晚没有光照,温度也会降低。光照和温度哪个因素对气孔开闭影响更大呢? (1)设计实验。将韭菜分成三等份,分别放入盛有等量清水的烧杯中,编号A、B、C。再将其分别放入 三个光照培养箱中,设置不同的光照和温度条件,其他条件相同且适宜。请将表格中三组实验设置的条件 补充完整。 光照 温度(℃) A组 有光 ________ B组 ________ 25 C组 有光 10 (2)统计数据。2小时后取出韭菜,撕取下表皮在显微镜下观察,气孔的开闭状态如下图所示。请根据 B、C两组数据统计的标准,统计A组的实验数据并填写到表格中的横线上。 大开 微开 闭合 A组 ________ ________ ________ B组 0 0 6 C组 0 5 1【中小学教辅资源店 微信:mlxt2022】 (3)得出结论。将B组和C组的实验结果分别与A组进行比较,得出的结论是:光照和温度两个因素中, 对气孔开闭影响更大的是________。 (4)改进完善。上述实验只观察和统计一个视野中气孔的开闭情况,实验结果具有一定的偶然性。请写 出一条提高本实验可靠性的改进意见________。 (5)科学推测。即使通过改进上述实验降低了偶然性,但由于只探究了一组温度条件下的情况,实验结 果仍难以保证具有普遍性。如果拉大温差,将温度设计为30℃和5℃,进一步探究“光照和温度哪个因素 对气孔开闭影响更大”的问题,能否得出与上述实验相同的结论?________。 A. 能 B. 不能 C. 不一定【中小学教辅资源店 微信:mlxt2022】