当前位置:首页>文档>数学-2024届高三1月大联考考后强化卷(新课标II卷)(全解全析)_2024届高三1月大联考考后强化卷(新课标II卷)_2024届高三1月大联考考后强化卷(新课标II卷)数学

数学-2024届高三1月大联考考后强化卷(新课标II卷)(全解全析)_2024届高三1月大联考考后强化卷(新课标II卷)_2024届高三1月大联考考后强化卷(新课标II卷)数学

  • 2026-04-17 11:16:09 2026-02-09 03:33:06

文档预览

数学-2024届高三1月大联考考后强化卷(新课标II卷)(全解全析)_2024届高三1月大联考考后强化卷(新课标II卷)_2024届高三1月大联考考后强化卷(新课标II卷)数学
数学-2024届高三1月大联考考后强化卷(新课标II卷)(全解全析)_2024届高三1月大联考考后强化卷(新课标II卷)_2024届高三1月大联考考后强化卷(新课标II卷)数学
数学-2024届高三1月大联考考后强化卷(新课标II卷)(全解全析)_2024届高三1月大联考考后强化卷(新课标II卷)_2024届高三1月大联考考后强化卷(新课标II卷)数学
数学-2024届高三1月大联考考后强化卷(新课标II卷)(全解全析)_2024届高三1月大联考考后强化卷(新课标II卷)_2024届高三1月大联考考后强化卷(新课标II卷)数学
数学-2024届高三1月大联考考后强化卷(新课标II卷)(全解全析)_2024届高三1月大联考考后强化卷(新课标II卷)_2024届高三1月大联考考后强化卷(新课标II卷)数学
数学-2024届高三1月大联考考后强化卷(新课标II卷)(全解全析)_2024届高三1月大联考考后强化卷(新课标II卷)_2024届高三1月大联考考后强化卷(新课标II卷)数学
数学-2024届高三1月大联考考后强化卷(新课标II卷)(全解全析)_2024届高三1月大联考考后强化卷(新课标II卷)_2024届高三1月大联考考后强化卷(新课标II卷)数学
数学-2024届高三1月大联考考后强化卷(新课标II卷)(全解全析)_2024届高三1月大联考考后强化卷(新课标II卷)_2024届高三1月大联考考后强化卷(新课标II卷)数学
数学-2024届高三1月大联考考后强化卷(新课标II卷)(全解全析)_2024届高三1月大联考考后强化卷(新课标II卷)_2024届高三1月大联考考后强化卷(新课标II卷)数学
数学-2024届高三1月大联考考后强化卷(新课标II卷)(全解全析)_2024届高三1月大联考考后强化卷(新课标II卷)_2024届高三1月大联考考后强化卷(新课标II卷)数学
数学-2024届高三1月大联考考后强化卷(新课标II卷)(全解全析)_2024届高三1月大联考考后强化卷(新课标II卷)_2024届高三1月大联考考后强化卷(新课标II卷)数学
数学-2024届高三1月大联考考后强化卷(新课标II卷)(全解全析)_2024届高三1月大联考考后强化卷(新课标II卷)_2024届高三1月大联考考后强化卷(新课标II卷)数学
数学-2024届高三1月大联考考后强化卷(新课标II卷)(全解全析)_2024届高三1月大联考考后强化卷(新课标II卷)_2024届高三1月大联考考后强化卷(新课标II卷)数学
数学-2024届高三1月大联考考后强化卷(新课标II卷)(全解全析)_2024届高三1月大联考考后强化卷(新课标II卷)_2024届高三1月大联考考后强化卷(新课标II卷)数学
数学-2024届高三1月大联考考后强化卷(新课标II卷)(全解全析)_2024届高三1月大联考考后强化卷(新课标II卷)_2024届高三1月大联考考后强化卷(新课标II卷)数学
数学-2024届高三1月大联考考后强化卷(新课标II卷)(全解全析)_2024届高三1月大联考考后强化卷(新课标II卷)_2024届高三1月大联考考后强化卷(新课标II卷)数学

文档信息

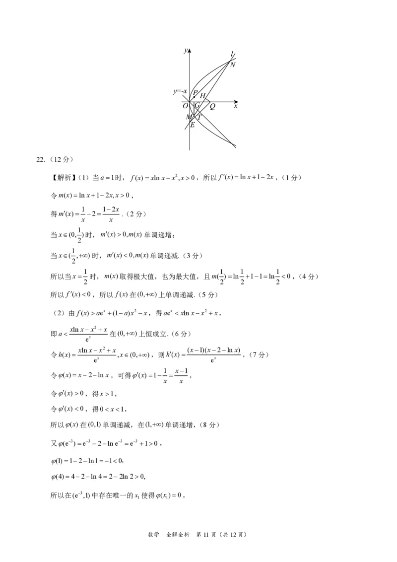
文档格式
pdf
文档大小
0.902 MB
文档页数
12 页
上传时间
2026-02-09 03:33:06

文档内容

2024 届高三 1 月大联考考后强化卷(新课标 II 卷) 数学·全解全析 1 2 3 4 5 6 7 8 9 10 11 12 B A D C D B C B AC ABD ACD ACD 一、选择题:本题共8小题,每小题5分,共40分。在每小题给出的四个选项中,只有一项是符合题目要 求的。 1.B【解析】由题意,知A{x|0 x2},B{0,1},所以A  B{0,1}.故选B. i i(43i) 3 4 4 2.A【解析】因为(43i)zi,所以z    i,所以 z的虚部为 .故 43i (43i)(43i) 25 25 25 选 A. 3.D【解析】因为a2 3,b(2,0),所以|a| 3,|b|2, 设a与b的夹角为,[0,π],因为|ab| (ab)2  a2 2abb2  32|a||b|cos4, 3 5π 所以32 32cos41,解得cos ,所以 ,故选D. 2 6 1 4.C【解析】设该建筑的母线长为x,高为h,则由其侧面积为8π 229m2,可得 π8x8π 229,解得 2 x2 229m,所以h x2 42 30m.故选C. π 2 2 5.D【解析】因为cos( ) 2cos2,所以 cos sin 2(cos2sin2), 4 2 2 1 所以 (cossin)(cossin)(cossin), 2 π 又(0, ),所以cos0,sin0,所以cossin0, 2 1 1 3 所以cossin ,两边同时平方,得1sin2 ,所以sin2 . 2 4 4 故选D. 6.B 【解析】设双曲线C的半焦距为c,如图,延长QF 与双曲线C交于点P,因为FP∥F P,根据对 2 1 2 称性知|FP||F P|,设|FP||F P|2t ,则|F P|5t,|FQ|10t,可得|F P||FP|3t 2a,即 1 2 1 2 2 2 2 1 2 26 10 t a,所以|PQ|12t8a,则|QF ||QF |2a a,|FP||FP| a, 3 1 2 3 1 2 3 即|PQ|2 |FP|2|QF |2,可知FPQFPF 90, 1 1 1 1 2 10 4 c 29 在△PFF 中,由勾股定理得|F P|2 |FP|2|FF |2,即( a)2 ( a)2 4c2,解得e  . 1 2 2 1 1 2 3 3 a 3 故选B. 数学 全解全析 第1页(共12页) {#{QQABQYAAggCgAhAAABgCAQ3oCAEQkACCACoOBBAMsAAAgBNABCA=}#}7.C【解析】由 yex ,得 yex,设切点为(x ,ex0),所以直线l的斜率为ex0 ,所以直线l的方程为 0 yex0 ex0(xx ),代入点(0,0),则ex0 ex0(x ),解得x 1,即斜率为e, 0 0 0 由AB∥l ,得eb 1eb,结合图形知b0. 令 f(x)ex ex1,x0,则 f(x)ex e,所以 f(x)在(0,1)上单调递减,在(1,)上单调递增. 因为 f(1)10, f(2)e2 2e10,所以1b2. 故选C. 8.B【解析】依题意,甲、乙随机选择一条线路去研学的试验有32个基本事件,事件A含有的基本事件数 5 4 是2215,则P(A) ,事件AB含有的基本事件数为224,则P(AB) , 9 9 P(AB) 4 所以P(B|A)  .故选B. P(A) 5 二、选择题:本题共4小题,每小题5分,共20分。在每小题给出的选项中,有多项符合题目要求,全部 选对的得5分,部分选对的得2分,有选错的得0分。 3 1 1 3 π 9.AC【解析】 f(x)sin2x cos2x sin2x sin2x cos2xsin(2x ). 2 2 2 2 3 2π 对于A, f(x)的最小正周期为 π,故A正确; 2 π π π 对于B,当x 时,2x 0,所以直线x 不是 f(x)的图象的对称轴,故B错误; 6 3 6 π π kπ π 对于C,由 f(x)0,得sin(2x )0,所以2x kπ(kZ),所以x  (kZ),故C正确; 3 3 2 6 数学 全解全析 第2页(共12页) {#{QQABQYAAggCgAhAAABgCAQ3oCAEQkACCACoOBBAMsAAAgBNABCA=}#}π π π 5π π 对于D,由 2kπ2x  2kπ(kZ),得 kπx kπ(kZ),所以函数 f(x)的单调 2 3 2 12 12 5π π 递增区间为[ kπ, kπ](kZ),故D错误. 12 12 故选AC. 150ab150 a0.7 10.ABD【解析】由题知 ,解得 ,所以y0.7x45,当x100时,y115,故A 50ab80 b45 正确;yx450.3x,由x150知yx0,即yx,故当原始成绩低于150分时,折算成绩均高 于原始成绩,即除 150 分不变外,其余成绩折算后均提高,所以将原始成绩和折算成绩分别从小到大 依次排序后,它们的中位数的序号相同,故B,D 均正确;D(y)D(0.7x45)0.49D(x)D(x),故 折算成绩的方差必小于原始成绩的方差,故C错误.故选ABD. 11.ACD【解析】ax y22a0可化为a(x2)(y2)0,即直线l过定点P(2,2),所以A正确; 因为直线l与圆C总有两个公共点,可得点P(2,2)在圆C内部,所以(24)2  (21)2 r2,解得r  5 , 所以B不正确; 当r 3时,圆C的方程为(x4)2 (y1)2 9,所以圆心C(4,1),又P(2,2),则|CP| 5,可得|MN| 的最小值为2 r2|CP|2 4,最大值即为6,所以C正确;     当r =5时,圆C的方程为(x4)2 (y1)2 25,则CM CN |CM ||CN|cosMCN  25cosMCN, 当直线l过圆心C(4,1)时,cosMCN 1,所以cosMCN 的最小值为1,所以C  M  C  N  的最小值为 25,故D正确. 故选ACD. 12.ACD【解析】如图,以D为坐标原点,  D  A  ,  D  C  ,  D  D  的方向分别为x轴、y轴、z轴的正方向建立空间 1 1 1 直角坐标系,则C (0,1,1),F(1, ,1),D(0,0,0),E(1, ,0), 1 2 2 数学 全解全析 第3页(共12页) {#{QQABQYAAggCgAhAAABgCAQ3oCAEQkACCACoOBBAMsAAAgBNABCA=}#} 1   1 所以CF (1, ,0),DC (0,1,1),DE(1, ,0). 1 2 1 2 1 1 0   4 3 对于A,|cosCF,DE|| | ,所以A正确; 1 5 5 5  4 4 1   对于B,d   D  C  1 2 ( |D | C C  1    F  C  1 | F| )2  2( 2 5 )2  3 5 5 ,所以B错误; 1 4             对于C,MN  AN AM  AB BN  AM  AB BCAC (1)AB ()AD(1)AA , 1 1 1 1 1 1 因为MN //平面ABCD,所以10,即1,所以C正确;     对于D,由题意,知AM AC ,BN BC(,[0,1]),A(1,0,0),B (1,1,1),C(0,1,0), 1 1 1 1 设M(x,y ,z ),N(x ,y ,z ), 1 1 1 2 2 2 则(x 1,y ,z )(1,1,1),(x 1,y 1,z 1)(1,0,1), 1 1 1 2 2 2 解得M(1,,),N(1,1,1), 所以|MN| (11)2 (1)2 (1)2 1 2 1  22 32 422  2( )2 3( )2  , 2 3 6 1 2 1 6 所以当 , 时,|MN|   ,所以D正确. 2 3 min 6 6 故选ACD. 三、填空题:本题共4小题,每小题5分,共20分。 13.10【解析】(x2y)5的通项为T Crx5r(2y)r Cr (2)rx5ryr, r1 5 5 当r1时,T C1 (2)x4y10x4y. 2 5 故答案为:10. 5 5 14.( , )【解析】∵ f(1a) f(43a)0,∴ f(1a)f(43a). 4 3 ∵ f(x)f(x),∴ f(1a) f(3a4). 11a1  5 5 ∴13a41,解得 a ,  4 3 1a3a4 5 5 ∴a的取值范围是( , ). 4 3 数学 全解全析 第4页(共12页) {#{QQABQYAAggCgAhAAABgCAQ3oCAEQkACCACoOBBAMsAAAgBNABCA=}#}5 5 故答案为:( , ). 4 3 15.55【解析】由题意,得a 1,a 3,a 6,a 10,a a b 2,a a b 3, 1 2 3 4 2 1 1 3 2 2 因为{b }为等差数列,且公差为b b 1,首项为2,所以b n1, n 2 1 n 故a a b n1, n1 n n 因此a a b 2, 2 1 1 a a b 3, 3 2 2  , a a b 10, 10 9 9 累加可得a a 2345678910, 10 1 所以a 1234567891055, 10 故答案为:55. 1 16. ; 3x y15 30【解析】设点B(x,y ),C(x ,y ),因为点B,C在椭圆E上, 2 1 1 2 2 x2 y2 所以 1  1 1①, a2 b2 x2 y2 2  2 1②, a2 b2 3 因为k k  , CB OM 4 y  y y  y 3 所以 2 1  1 2  ③, x x x x 4 2 1 1 2 x2 x2 y2 y2 x2 x2 y2  y2 y  y y  y b2 由①②,得 1  2  1  2 0,即 1 2  1 2 0,所以 2 1  1 2  , a2 a2 b2 b2 a2 b2 x x x x a2 2 1 1 2 b2 3 由③得  , a2 4 c2 1 c 1 所以  ,则e  . a2 4 a 2 因为BC∥AF , 2 所以k k ,A(0,b),F (c,0), BC AF2 2 b 所以k   3. BC c 设直线BC的方程为y 3xm, 数学 全解全析 第5页(共12页) {#{QQABQYAAggCgAhAAABgCAQ3oCAEQkACCACoOBBAMsAAAgBNABCA=}#}y 3xm  联立3x2 y2 ,整理,得15x2 8 3mx4m2 4b2 0,   1 4b2 b2 8 3m 4 3m m 所以x x  ,则M( , ), 1 2 15 15 5 4 3m m 57m2 所以|OM | ( )2 ( )2 3 19,即 919, 15 5 152 由题意m0,所以m15 3, 所以y 3x15 3,即直线l的方程为 3x y15 30. 1 故答案为: ; 3x y15 30. 2 四、解答题:本题共6小题,共70分。解答应写出文字说明、证明过程或演算步骤。 17.(10分) 【解析】(1)根据频率分布直方图可估计该校学生一周使用手机上网时间的平均数为 x 10.025230.100250.150270.1252 90.0752110.0252 5.8.(4分) (2)由频率分布直方图可得上网时间在(0,4]和(4,12]内的人数之比为0.25∶0.751∶3, 所以可得22列联表为 近视 不近视 合计 长时间使用手机 0.65n 0.10n 0.75n 不长时间使用手机 0.10n 0.15n 0.25n 合计 0.75n 0.25n n (7分) 若n为100,则22列联表为 近视 不近视 合计 长时间使用手机 65 10 75 不长时间使用手机 10 15 25 合计 75 25 100 (8分) 数学 全解全析 第6页(共12页) {#{QQABQYAAggCgAhAAABgCAQ3oCAEQkACCACoOBBAMsAAAgBNABCA=}#}零假设为H :该校学生一周使用手机上网时间与近视程度无关. 0 100(65151010)2 根据列联表中的数据,经计算,得到2  21.7810.828 x ,(9分) 75257525 0.001 根据小概率值0.001的独立性检验,我们推断H 不成立,即该校学生一周使用手机上网时间与近视 0 程度有关,此推断犯错误的概率不大于0.001.(10分) 18.(12分) 4S 【解析】(1)因为 a2cosBabcosA, tanB 1ac B B 所以4 sin cos =a2 B+ab A ,(1分) 2 B cos cos sin 即2ccosBacosBbcosA,(2分) 由正弦定理,得2sinCcosBsinAcosBsinBcosAsin(AB),(3分) 因为ABπC, 所以2sinCcosBsinC,(4分) 1 因为C(0,π),所以sinC 0,所以cosB ,(5分) 2 π 又B(0,π),所以B .(6分) 3 (2)由余弦定理,得b2 a2 c2 2accosB,即9a2 c2 ac,(7分) 所以9(ac)2 3ac,即ac 1[ a+c 2 ],(8分) = ( ) -9 3 1 3 因为S  acsinB ac,l=a+c , 2 4 +3 S 3ac 3[(ac)2 9] 所以   ,(9分) l 4(ac3) 12(ac3) S 3 所以  (ac3),(10分) l 12 (ac)2 又ac (当且仅当ac时取等号), 4 (ac)2 所以9(ac)2 3ac (当且仅当ac3时取等号), 4 所以ac6(当且仅当ac3时取等号),(11分) S 3 3 3 所以  (ac3) (63) (当且仅当ac3时取等号), l 12 12 4 S 3 即 的最大值为 .(12分) l 4 数学 全解全析 第7页(共12页) {#{QQABQYAAggCgAhAAABgCAQ3oCAEQkACCACoOBBAMsAAAgBNABCA=}#}19.(12分) 【解析】(1)如图,连接AB, 1 因为四边形AABB为正方形,所以AB  AB.(1分) 1 1 1 1 在直三棱柱ABC ABC 中,平面AABB平面ABC , 1 1 1 1 1 1 1 1 由AB⊥AC得AC  AB ,又平面AABB 平面ABC  AB , 1 1 1 1 1 1  1 1 1 1 1 所以AC 平面AABB,(3分) 1 1 1 1 又AB 平面AABB,所以AC  AB , 1 1 1 1 1 1 又AB AC  A,AB平面ABD,AC 平面ABD, 1  1 1 1 1 1 1 1 1 所以AB 平面ABD,(4分) 1 1 又BD平面ABD, 1 所以AB  BD.(5分) 1 (2)以A为原点,AB,AC,AA 所在直线分别为x轴、y轴、z轴建立如图所示的空间直角坐标系, 1 设AC 2a,则A(0,0,0),B( 3,0,0),C(0,2a,0),D(0,a, 3),    AB( 3,0,0),AC(0,2a,0),AD(0,a, 3).(6分) 设n(x,y,z)是平面ABD的一个法向量,  nAD0 ay 3z 0 则  ,即 ,得x0,令za,则y 3, nAB0  3x0 所以n(0, 3,a)为平面ABD的一个法向量,(7分)  |ACn| 2 3a 由题意,得   3,解得a1, |n| 3a2   所以BC ( 3,2,0),CD(0,1, 3). 数学 全解全析 第8页(共12页) {#{QQABQYAAggCgAhAAABgCAQ3oCAEQkACCACoOBBAMsAAAgBNABCA=}#}设i (p,q,r)为平面BCD的法向量,  iBC 0   3p2q0 则  ,即 , iCD0 q 3r 0 令q 3,则p2,r1,即i (2, 3,1)为平面BCD的一个法向量,(9分) 易知平面ABC的一个法向量为 j(0,0,1).(10分) 设平面ABC和平面BCD的夹角为, |i j| 1 2 则cos   ,(11分) |i|| j| 22 ( 3)2 12 1 4 14 所以sin 1cos2 , 4 14 所以平面ABC与平面BCD的夹角的正弦值为 .(12分) 4 20.(12分) 【解析】(1)当n为奇数时,由a a 2,得a a 2,(1分) n2 n n2 n 所以数列{a }的奇数项成等差数列,且公差为2,又a 1,所以a n.(2分) n 1 n a 当n为偶数时,由a 4a ,可得 n2 4,(3分) n2 n a n 所以数列{a }的偶数项成等比数列,且公比为4,又a 2,所以a 2n1.(4分) n 2 n n,n为奇数 所以数列{a }的通项公式为a  .(5分) n n 2n1,n为偶数 (2)当n为奇数时, S a a  a (a a  a )(a a  a )(6分) n 1 2  n 1 3  n 2 4  n1 n1 (n1) n1 (13 n)(28 2n2) 2  2(14 2 )  (n1)2  2n 2,(8分)   2 14 4 3 当n为偶数时, S a a  a (a a  a )(a a  a )(9分) n 1 2  n 1 3  n1 2 4  n n (1n1) n (13 n1)(28 2n1) 2  2(142)  n2  2n12.(10分)   2 14 4 3 数学 全解全析 第9页(共12页) {#{QQABQYAAggCgAhAAABgCAQ3oCAEQkACCACoOBBAMsAAAgBNABCA=}#}(n1)2 2n 2   ,n为奇数  4 3 综上,S  .(12分) n n2 2n12  ,n为偶数  4 3 21.(12分) 【解析】(1)因为抛物线C:y2 2px(p0)过点(1,p),所以p2 2p,又p0,所以p2,(2分) 所以抛物线C的方程为y2 4x.(3分)  y2 y2 y2 x 1 y2 y2 (2)设点M( 1 ,y ),N( 2 ,y ),联立 4 ,得G( 1 , 1 ),(4分) 4 1 4 2  4 4 yx 又因为点M关于点G的对称点为P, y2 y2 所以点P( 1 , 1  y ),(5分) 4 2 1 y2  1  y 2 1 y 由O,N,P三点共线,可得k k ,即  2 , ON OP y2 y2 1 2 4 4 化简得2(y  y ) y y 0.(6分) 1 2 1 2 设直线l的方程为xmyn, xmyn 联立 ,消去x,得y2 4my4n0,(7分) y2 4x 则(4m)2 4(4n)0,即m2 n0, 根据根与系数的关系,得y  y 4m,y y 4n,(8分) 1 2 1 2 代入2(y  y ) y y 0,得8m4n0,所以n2m,(9分) 1 2 1 2 所以直线l的方程为xmy2m,即xm(y2), 所以直线l过定点E(0,2),(10分) 因为QH l, 所以点H在以EQ为直径的圆上,圆心为(1,1),半径为 2 ,(11分) 所以存在定点T(1,1),使得|HT |为定值,该定值为 2 .(12分) 数学 全解全析 第10页(共12页) {#{QQABQYAAggCgAhAAABgCAQ3oCAEQkACCACoOBBAMsAAAgBNABCA=}#}22.(12分) 【解析】(1)当a1时, f(x)xln xx2,x0,所以 f(x)ln x12x,(1分) 令m(x)ln x12x,x0, 1 12x 得m(x) 2 .(2分) x x 1 当x(0, )时,m(x)0,m(x)单调递增; 2 1 当x( ,)时,m(x)0,m(x)单调递减.(3分) 2 1 1 1 1 所以当x 时,m(x)取得极大值,也为最大值,且m( )ln 11ln 0,(4分) 2 2 2 2 所以 f(x)0,所以 f(x)在(0,)上单调递减.(5分) (2)由 f(x)aex (1a)x2 x,得aex xln xx2 x, xln xx2 x 即a 在(0,)上恒成立.(6分) ex xln xx2 x (x1)(x2ln x) 令h(x) ,x(0,),则h(x) ,(7分) ex ex 1 x1 令(x)x2ln x,可得(x)1  , x x 令(x)0,得x1, 令(x)0,得0 x1, 所以(x)在(0,1)单调递减,在(1,)单调递增,(8分) 又(e3)e3 2lne3 e3 10, (1)12ln110, (4)42ln422ln20, 所以在(e3,1)中存在唯一的x 使得(x )0, 1 1 数学 全解全析 第11页(共12页) {#{QQABQYAAggCgAhAAABgCAQ3oCAEQkACCACoOBBAMsAAAgBNABCA=}#}在(1,4)中存在唯一的x 使得(x )0, 2 2 即有x 2ln x 0,x 2ln x 0.(9分) 1 1 2 2 因为(x)在(0,1)单调递减,在(1,)单调递增, 所以当0 xx 时,(x)0,当x  x1时,(x)0, 1 1 当1 xx 时,(x)0,当x x 时,(x)0. 2 2 (x1)(x2ln x) (x1)(x) 又h(x)  ,x0, ex ex 所以当0 xx 时,h(x)0,当x  x1时,h(x)0, 1 1 当1 xx 时,h(x)0,当x x 时,h(x)0, 2 2 所以h(x)在(0,x )上单调递减,在(x ,1)上单调递增, 1 1 在(1,x )上单调递减,在(x ,)上单调递增,(10分) 2 2 xln x x2 x 所以x(0,1)时,h(x)的极小值为h(x) 1 1 1 1, 1 ex1 x ln x x2 x x(1,)时,h(x)的极小值为h(x ) 2 2 2 2. 2 ex2 因为x 2ln x 0,x 2ln x 0, 1 1 2 2 所以x ln x 2,x ln x 2,所以ex1lnx1 e2,ex2lnx2 e2, 1 1 2 2 ex1 ex2 x x 即  e2,所以 1  2 e2. x x ex 1 ex 2 1 2 代入ln x x 2和ln x  x 2, 1 1 2 2 x (x 2)x2 x x 则有h(x) 1 1 1 1  1  e2, 1 ex1 ex1 同理可得h(x )e2,(11分) 2 所以h(x )h(x ), 1 2 1 所以h(x) e2  , min e2 1 1 所以a ,即实数a的取值范围为(, ).(12分) e2 e2 数学 全解全析 第12页(共12页) {#{QQABQYAAggCgAhAAABgCAQ3oCAEQkACCACoOBBAMsAAAgBNABCA=}#}