当前位置:首页>文档>数学02(人教B版2019)(答案及评分标准)(1)_1多考区联考_0914黄金卷:2024-2025学年高二上学期入学摸底考试数学试卷21套(含答题卡)

数学02(人教B版2019)(答案及评分标准)(1)_1多考区联考_0914黄金卷:2024-2025学年高二上学期入学摸底考试数学试卷21套(含答题卡)

  • 2026-04-16 10:41:36 2026-02-09 09:26:44

文档预览

数学02(人教B版2019)(答案及评分标准)(1)_1多考区联考_0914黄金卷:2024-2025学年高二上学期入学摸底考试数学试卷21套(含答题卡)
数学02(人教B版2019)(答案及评分标准)(1)_1多考区联考_0914黄金卷:2024-2025学年高二上学期入学摸底考试数学试卷21套(含答题卡)
数学02(人教B版2019)(答案及评分标准)(1)_1多考区联考_0914黄金卷:2024-2025学年高二上学期入学摸底考试数学试卷21套(含答题卡)
数学02(人教B版2019)(答案及评分标准)(1)_1多考区联考_0914黄金卷:2024-2025学年高二上学期入学摸底考试数学试卷21套(含答题卡)
数学02(人教B版2019)(答案及评分标准)(1)_1多考区联考_0914黄金卷:2024-2025学年高二上学期入学摸底考试数学试卷21套(含答题卡)
数学02(人教B版2019)(答案及评分标准)(1)_1多考区联考_0914黄金卷:2024-2025学年高二上学期入学摸底考试数学试卷21套(含答题卡)
数学02(人教B版2019)(答案及评分标准)(1)_1多考区联考_0914黄金卷:2024-2025学年高二上学期入学摸底考试数学试卷21套(含答题卡)
数学02(人教B版2019)(答案及评分标准)(1)_1多考区联考_0914黄金卷:2024-2025学年高二上学期入学摸底考试数学试卷21套(含答题卡)
数学02(人教B版2019)(答案及评分标准)(1)_1多考区联考_0914黄金卷:2024-2025学年高二上学期入学摸底考试数学试卷21套(含答题卡)
数学02(人教B版2019)(答案及评分标准)(1)_1多考区联考_0914黄金卷:2024-2025学年高二上学期入学摸底考试数学试卷21套(含答题卡)
数学02(人教B版2019)(答案及评分标准)(1)_1多考区联考_0914黄金卷:2024-2025学年高二上学期入学摸底考试数学试卷21套(含答题卡)
数学02(人教B版2019)(答案及评分标准)(1)_1多考区联考_0914黄金卷:2024-2025学年高二上学期入学摸底考试数学试卷21套(含答题卡)

文档信息

文档格式
docx
文档大小
0.578 MB
文档页数
8 页
上传时间
2026-02-09 09:26:44

文档内容

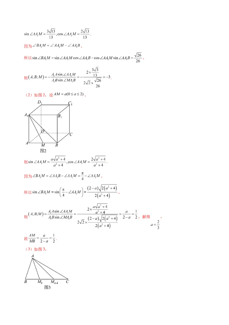
新高二开学摸底考试卷 02 数 学 (考试时间:120分钟 试卷满分:150分) 注意事项: 1.答卷前,考生务必将自己的姓名、考生号等填写在答题卡和试卷指定位置上。 2.回答选择题时,选出每小题答案后,用铅笔把答题卡对应题目的答案标号涂黑。如需改动,用 橡皮擦干净后,再选涂其他答案标号。回答非选择题时,将答案写在答题卡上。写在本试卷上无效。 3.考试范围:人教B版2019 4.考试结束后,将本试卷和答题卡一并交回。 一、单项选择题:本题共8小题,每小题5分,共40分.在每小题给出的四个选项中,只有一项是符 合题目要求的. 题号 1 2 3 4 5 6 7 8 答案 B B C A B D B B 二、多项选择题:本题共3小题,每小题6分,共18分.在每小题给出的选项中,有多项符合题目要 求.全部选对的得6分,部分选对的得部分分,有选错的得0分. 题号 9 10 11 答案 BD AC ABD 三、填空题:本题共3小题,每小题5分,共15分. 12. 13. 14 四、解答题:本题共5小题,其中第15题13分,第16,17题15分,第18,19题17分,共77分.解答 应写出文字说明、证明过程或演算步骤. 15.(本题满分13分)已知复数 ,其中i为虚数单位, . (1)若z为纯虚数,求 ; (2)若复数z在复平面内对应的点在第四象限,求实数a的取值范围. 【答案】(1) ; (2) . 【分析】(1)由已知求出 ,再由模的意义求出结果. (2)由给定条件列出不等式组,求解即可得范围. 【详解】(1)由z为纯虚数,得 ,解得 ,则 ,所以 . (2)由复数z在复平面内对应的点在第四象限,得 ,解得 , 所以实数a的取值范围是 . 16.(本题满分15分)已知函数 从条件①、条件②、条件③这三个条件中选择一个作为已知,使函数 存在且唯一. 条件①: ; 条件②: 在区间 单调,且 ; 条件③:函数 相邻两个零点间的距离为 . 选__________作为条件 (1)求 值; (2)求 在区间 上的最大值与最小值及对应的 的值. 【答案】(1) (2)当 时, ;当 时, 【分析】先化简 ,(1)若选条件,分别求解 ,舍掉不满足 存在且唯一,逐一检验即可得 解,(2)由(1)得到 解析式,求出相位范围即可求解. 【详解】(1) , 若选条件①, , ,即 ,无解,不合题意; 若选条件②,因为 , 所以 且 所以 过 图象的最高点, 过 图象的最低点, 又因为 在区间 单调,所以 解得 ,当 时, , 当 时, ,所以 在区间 不单调,不符合题意,所以 ; 若选条件③, 因为 相邻两个零点间的距离为 , 所以 ,即 ,又 ,解得 ,不合题意; 综上, ; (2)由(1)知 , 当 时, , 所以,当 时, ; 当 时, . 17.(本题满分15分)如图,在四棱锥 中,平面 平面 , 为等边三角形, , , 为 的中点. (1)证明: 平面 ; (2)求平面 与平面 夹角的余弦值. 【答案】(1)证明见解析 (2) 【分析】(1)取 的中点 ,连接 ,即可得到 ,根据面面垂直的性质得到 平 面 ,从而证明 平面 ,即可得到 ,再由 ,即可得证; (2)由(1)可得 平面 ,建立空间直角坐标系,利用空间向量法计算可得. 【详解】(1)取 的中点 ,连接 , 因为 为等边三角形,所以 ,又因为平面 平面 ,平面 平面 , 平面 ,所以 平面 , 因为 平面 ,所以 , 又 平面 ,所以 平面 , 因为 平面 ,所以 , 因为 是 的中点,所以 , 因为 平面 ,且 , 所以 平面 . (2)因为 ,由(1)知四边形 为矩形,则 , 又 平面 ,所以 平面 , 以 为坐标原点,分别以 所在直线为 轴, 轴, 轴建立空间直角坐标系, 则 , 取平面 的法向量为 , 设平面 的法向量为 , 则 ,即 ,令 ,则 , 所以 . , 所以平面 与平面 夹角的余弦值为 . 18.(本题满分17分)如图,有一块半径为2的半圆形钢板,计划裁剪成等腰梯形 的形状,它 的下底 是半圆的直径,上底 的端点在圆周上.记 .(提示:直径所对的圆周角是直角, 即图中 )(1)用 表示 的长; (2)若 ,求如图中阴影部分的面积 ; (3)记梯形 的周长为 ,将 表示成 的函数,并求出 的最大值. 【答案】(1) (2) (3) ; 【分析】(1)连接 ,过 作 ,由几何关系可得 ,由三角函数可表示出 的 长; (2)图中阴影部分的面积 等于 和扇形 的面积,分别求出即可得出答案. (3)根据给定条件,利用圆的性质,结合直角三角形的边角关系表示出 ,利用二倍角的余弦公式变 形函数,再利用换元法,结合二次函数求出最大值. 【详解】(1)连接 ,过 作 ,则 , 所以 . (2) . , , 所以 , (3) , 则 , 令 ,则 ,则 ,当 时, . 19.(本题满分17分)点A是直线PQ外一点,点M在直线PQ上(点M与P,Q两点均不重合), 我们称如下操作为“由A点对PQ施以视角运算”:若点M在线段PQ上,记 ;若点M在线段PQ外,记 . (1)若M在正方体 的棱AB的延长线上,且 ,由 对AB施以视角运算, 求 的值; (2)若M在正方体 的棱AB上,且 ,由 对AB施以视角运算,得到 ,求 的值; (3)若 是 边BC的 等分点,由A对BC施以视角运算,求 的值. 【答案】(1) (2) (3)1 【分析】(1)根据锐角三角函数的定义,结合和差角公式可得 ,即可代入公式 求解, (2)根据 的计算公式,代入即可求解, (3)由正弦定理可得 ,即可结合 对 施以视角运算,即可求证. 【详解】(1)如图1, 因为 ,所以 . 由正方体的定义可知 ,则 , 故 ,. 因为 , 所以 , 则 . (2)如图2,设 , 则 . 因为 , 所以 , 则 ,解得 , 故 . (3)如图3,因为 是 的 等分点, 所以 . 在 中,由正弦定理可得 , 则 . 在 中,同理可得 . 因为 ,所以 , 则 . 同理可得 . 故 【点睛】方法点睛:对于新定义问题的求解策略: 1、紧扣新定义,首先分析新定义的特点,把心定义所叙述的问题的本质弄清楚,应用到具体的解题过 程中; 2、用好定义的性质,解题时要善于从试题中发现可以使用的定义的性质的一些因素.